• 文献检索
  • 文档翻译
  • 深度研究
  • 学术资讯
  • Suppr Zotero 插件Zotero 插件
  • 邀请有礼
  • 套餐&价格
  • 历史记录
应用&插件
Suppr Zotero 插件Zotero 插件浏览器插件Mac 客户端Windows 客户端微信小程序
定价
高级版会员购买积分包购买API积分包
服务
文献检索文档翻译深度研究API 文档MCP 服务
关于我们
关于 Suppr公司介绍联系我们用户协议隐私条款
关注我们

Suppr 超能文献

核心技术专利:CN118964589B侵权必究
粤ICP备2023148730 号-1Suppr @ 2026

文献检索

告别复杂PubMed语法,用中文像聊天一样搜索,搜遍4000万医学文献。AI智能推荐,让科研检索更轻松。

立即免费搜索

文件翻译

保留排版,准确专业,支持PDF/Word/PPT等文件格式,支持 12+语言互译。

免费翻译文档

深度研究

AI帮你快速写综述,25分钟生成高质量综述,智能提取关键信息,辅助科研写作。

立即免费体验

铜死亡基因的综合分析及在乳腺癌中的铜死亡亚型鉴定。

Comprehensive Analysis of Cuproptosis Genes and Identification of Cuproptosis Subtypes in Breast Cancer.

机构信息

Clinical College, Wuhan University of Science and Technology, Wuhan 430000, China.

Tianyou Hospital of Wuhan University of Science and Technology, Wuhan 430000, China.

出版信息

Comb Chem High Throughput Screen. 2023;26(8):1578-1593. doi: 10.2174/1386207326666230120112904.

DOI:10.2174/1386207326666230120112904
PMID:36683372
原文链接:https://pmc.ncbi.nlm.nih.gov/articles/PMC10249130/
Abstract

BACKGROUND

Copper-induced death (cuproptosis) is copper-dependent regulated cell death, which is different from known death mechanisms and is dependent on mitochondrial respiration. However, its effect on breast cancer (BRCA) is unclear.

OBJECTIVE

The objective of this study is to explore the important clinical significance of cuproptosis genes and to provide a new idea for guiding the personalized immunotherapy strategy of BRCA patients.

MATERIALS AND METHODS

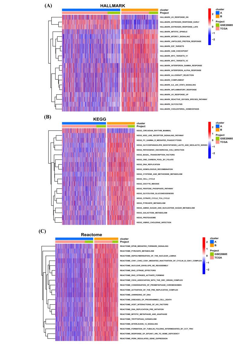
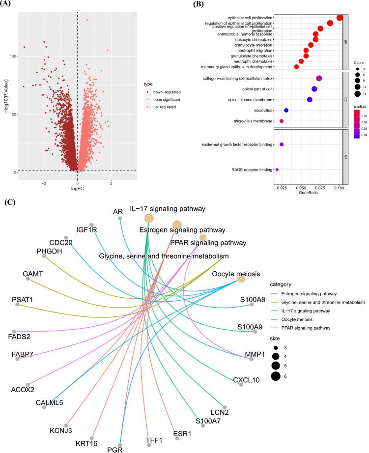
We collected cuproptosis genes from published work. The gene alteration, differential expression, and prognostic value of cuproptosis genes were explored in BRCA based on TCGA database. We identified two subtypes (clusters A and B) by performing unsupervised clustering. The difference between two clusters was deeply explored, including clinical features, differential expressed genes (DEGs), pathways, and immune cell infiltration. Based on the DEGs between two clusters, a cuproptosis score was constructed and its predictive capability for overall survival of BRCA patients was validated.

RESULTS AND DISCUSSION

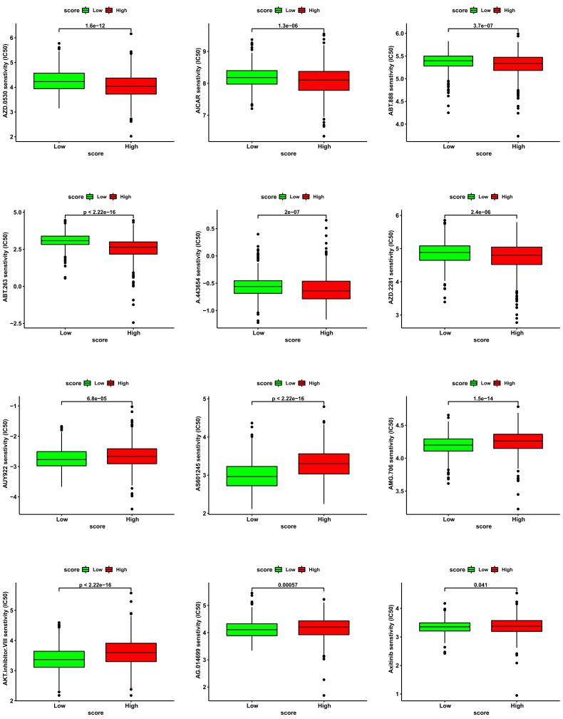
Patients with high cuproptosis score have worse survival status, with an increased infiltration level of most immune cells. Further analysis suggested that BRCA patients with high cuproptosis score may be sensitive to immune checkpoint inhibitor (ICI) treatment.

CONCLUSION

Our findings may improve our understanding of cuproptosis in BRCA and may distinguish patients suitable for ICI treatment.

摘要

背景

铜诱导的死亡(cuproptosis)是一种依赖铜的调控细胞死亡,与已知的死亡机制不同,依赖于线粒体呼吸。然而,其对乳腺癌(BRCA)的影响尚不清楚。

目的

本研究旨在探讨 cuproptosis 基因的重要临床意义,为指导 BRCA 患者的个性化免疫治疗策略提供新的思路。

材料和方法

我们从已发表的研究中收集了 cuproptosis 基因。基于 TCGA 数据库,探讨了 cuproptosis 基因在 BRCA 中的基因改变、差异表达和预后价值。我们通过无监督聚类方法识别了两个亚组(簇 A 和 B)。深入探讨了两个亚组之间的差异,包括临床特征、差异表达基因(DEGs)、通路和免疫细胞浸润。基于两个亚组之间的 DEGs,构建了 cuproptosis 评分,并验证了其对 BRCA 患者总生存的预测能力。

结果和讨论

高 cuproptosis 评分的患者生存状态较差,大多数免疫细胞的浸润水平增加。进一步分析表明,高 cuproptosis 评分的 BRCA 患者可能对免疫检查点抑制剂(ICI)治疗敏感。

结论

我们的发现可能提高对 BRCA 中 cuproptosis 的认识,并区分适合 ICI 治疗的患者。

https://cdn.ncbi.nlm.nih.gov/pmc/blobs/d44c/10249130/701203fad461/CCHTS-26-1578_F13.jpg
https://cdn.ncbi.nlm.nih.gov/pmc/blobs/d44c/10249130/70cd5604a3b6/CCHTS-26-1578_F1.jpg
https://cdn.ncbi.nlm.nih.gov/pmc/blobs/d44c/10249130/24f59e8e688d/CCHTS-26-1578_F2.jpg
https://cdn.ncbi.nlm.nih.gov/pmc/blobs/d44c/10249130/84e19fee47f8/CCHTS-26-1578_F3.jpg
https://cdn.ncbi.nlm.nih.gov/pmc/blobs/d44c/10249130/07f7cbea3d42/CCHTS-26-1578_F4.jpg
https://cdn.ncbi.nlm.nih.gov/pmc/blobs/d44c/10249130/dc045a5980b2/CCHTS-26-1578_F5.jpg
https://cdn.ncbi.nlm.nih.gov/pmc/blobs/d44c/10249130/2a8e91f3e120/CCHTS-26-1578_F6.jpg
https://cdn.ncbi.nlm.nih.gov/pmc/blobs/d44c/10249130/8eb7fd3e1c4c/CCHTS-26-1578_F7.jpg
https://cdn.ncbi.nlm.nih.gov/pmc/blobs/d44c/10249130/45ca756a7f6a/CCHTS-26-1578_F8.jpg
https://cdn.ncbi.nlm.nih.gov/pmc/blobs/d44c/10249130/dfd50982087c/CCHTS-26-1578_F9.jpg
https://cdn.ncbi.nlm.nih.gov/pmc/blobs/d44c/10249130/0b9a80516dbb/CCHTS-26-1578_F10.jpg
https://cdn.ncbi.nlm.nih.gov/pmc/blobs/d44c/10249130/0cf6f4cc5d84/CCHTS-26-1578_F11.jpg
https://cdn.ncbi.nlm.nih.gov/pmc/blobs/d44c/10249130/a3bbb1dc3239/CCHTS-26-1578_F12.jpg
https://cdn.ncbi.nlm.nih.gov/pmc/blobs/d44c/10249130/701203fad461/CCHTS-26-1578_F13.jpg
https://cdn.ncbi.nlm.nih.gov/pmc/blobs/d44c/10249130/70cd5604a3b6/CCHTS-26-1578_F1.jpg
https://cdn.ncbi.nlm.nih.gov/pmc/blobs/d44c/10249130/24f59e8e688d/CCHTS-26-1578_F2.jpg
https://cdn.ncbi.nlm.nih.gov/pmc/blobs/d44c/10249130/84e19fee47f8/CCHTS-26-1578_F3.jpg
https://cdn.ncbi.nlm.nih.gov/pmc/blobs/d44c/10249130/07f7cbea3d42/CCHTS-26-1578_F4.jpg
https://cdn.ncbi.nlm.nih.gov/pmc/blobs/d44c/10249130/dc045a5980b2/CCHTS-26-1578_F5.jpg
https://cdn.ncbi.nlm.nih.gov/pmc/blobs/d44c/10249130/2a8e91f3e120/CCHTS-26-1578_F6.jpg
https://cdn.ncbi.nlm.nih.gov/pmc/blobs/d44c/10249130/8eb7fd3e1c4c/CCHTS-26-1578_F7.jpg
https://cdn.ncbi.nlm.nih.gov/pmc/blobs/d44c/10249130/45ca756a7f6a/CCHTS-26-1578_F8.jpg
https://cdn.ncbi.nlm.nih.gov/pmc/blobs/d44c/10249130/dfd50982087c/CCHTS-26-1578_F9.jpg
https://cdn.ncbi.nlm.nih.gov/pmc/blobs/d44c/10249130/0b9a80516dbb/CCHTS-26-1578_F10.jpg
https://cdn.ncbi.nlm.nih.gov/pmc/blobs/d44c/10249130/0cf6f4cc5d84/CCHTS-26-1578_F11.jpg
https://cdn.ncbi.nlm.nih.gov/pmc/blobs/d44c/10249130/a3bbb1dc3239/CCHTS-26-1578_F12.jpg
https://cdn.ncbi.nlm.nih.gov/pmc/blobs/d44c/10249130/701203fad461/CCHTS-26-1578_F13.jpg

相似文献

1
Comprehensive Analysis of Cuproptosis Genes and Identification of Cuproptosis Subtypes in Breast Cancer.铜死亡基因的综合分析及在乳腺癌中的铜死亡亚型鉴定。
Comb Chem High Throughput Screen. 2023;26(8):1578-1593. doi: 10.2174/1386207326666230120112904.
2
Prognostic and Immunological Significance of the Molecular Subtypes and Risk Signatures Based on Cuproptosis in Hepatocellular Carcinoma.基于铜死亡的肝细胞癌分子亚型和风险特征的预后和免疫意义。
Mediators Inflamm. 2023 Apr 20;2023:3951940. doi: 10.1155/2023/3951940. eCollection 2023.
3
Systemic treatments for metastatic cutaneous melanoma.转移性皮肤黑色素瘤的全身治疗
Cochrane Database Syst Rev. 2018 Feb 6;2(2):CD011123. doi: 10.1002/14651858.CD011123.pub2.
4
Cuproptosis: a novel therapeutic mechanism in lung cancer.铜死亡:肺癌中的一种新型治疗机制。
Cancer Cell Int. 2025 Jun 24;25(1):231. doi: 10.1186/s12935-025-03864-1.
5
Molecular subtypes of lung adenocarcinoma patients for prognosis and therapeutic response prediction with machine learning on 13 programmed cell death patterns.基于 13 种程序性细胞死亡模式的机器学习对肺腺癌患者预后和治疗反应预测的分子亚型。
J Cancer Res Clin Oncol. 2023 Oct;149(13):11351-11368. doi: 10.1007/s00432-023-05000-w. Epub 2023 Jun 28.
6
A novel copper-induced cell death-related lncRNA prognostic signature associated with immune infiltration and clinical value in gastric cancer.一种新型铜诱导细胞死亡相关 lncRNA 预后标志物与胃癌免疫浸润和临床价值相关。
J Cancer Res Clin Oncol. 2023 Sep;149(12):10543-10559. doi: 10.1007/s00432-023-04916-7. Epub 2023 Jun 8.
7
Integrated proteomics and transcriptomics analysis reveals key regulatory genes between ER-positive/PR-positive and ER-positive/PR-negative breast cancer.整合蛋白质组学和转录组学分析揭示雌激素受体阳性/孕激素受体阳性与雌激素受体阳性/孕激素受体阴性乳腺癌之间的关键调控基因。
BMC Cancer. 2025 Jul 1;25(1):1048. doi: 10.1186/s12885-025-14451-y.
8
Identification of a 5-Gene Cuproptosis Signature Predicting the Prognosis for Colon Adenocarcinoma Based on WGCNA.基于 WGCNA 的 5 基因铜死亡特征识别预测结肠腺癌预后
Technol Cancer Res Treat. 2024 Jan-Dec;23:15330338241250285. doi: 10.1177/15330338241250285.
9
High expression of cuproptosis-related gene FDX1 in relation to good prognosis and immune cells infiltration in colon adenocarcinoma (COAD).铜死亡相关基因 FDX1 在结肠腺癌(COAD)中高表达与预后良好和免疫细胞浸润有关。
J Cancer Res Clin Oncol. 2023 Jan;149(1):15-24. doi: 10.1007/s00432-022-04382-7. Epub 2022 Sep 29.
10
Machine learning- and WGCNA-mediated double analysis based on genes associated with disulfidptosis, cuproptosis and ferroptosis for the construction and validation of the prognostic model for breast cancer.基于与二硫键凋亡、铜死亡和铁死亡相关基因的机器学习和 WGCNA 双重分析构建和验证乳腺癌预后模型。
J Cancer Res Clin Oncol. 2023 Dec;149(18):16511-16523. doi: 10.1007/s00432-023-05378-7. Epub 2023 Sep 15.

引用本文的文献

1
Harnessing cuproptosis: a new avenue for targeted cancer therapies.利用铜死亡:靶向癌症治疗的新途径。
Apoptosis. 2025 Sep 12. doi: 10.1007/s10495-025-02174-1.
2
Elucidating the evolving role of cuproptosis in breast cancer progression.阐明铜死亡在乳腺癌进展中的不断演变的作用。
Int J Biol Sci. 2024 Sep 9;20(12):4872-4887. doi: 10.7150/ijbs.98806. eCollection 2024.

本文引用的文献

1
Comprehensive analysis of cuproptosis-related genes and tumor microenvironment infiltration characterization in breast cancer.乳腺癌中铜死亡相关基因的综合分析及肿瘤微环境浸润特征分析。
Front Immunol. 2022 Oct 20;13:978909. doi: 10.3389/fimmu.2022.978909. eCollection 2022.
2
A Newly Established Cuproptosis-Associated Long Non-Coding RNA Signature for Predicting Prognosis and Indicating Immune Microenvironment Features in Soft Tissue Sarcoma.一种新建立的与铜死亡相关的长链非编码RNA特征用于预测软组织肉瘤的预后并指示免疫微环境特征
J Oncol. 2022 Jul 6;2022:8489387. doi: 10.1155/2022/8489387. eCollection 2022.
3
A Novel Necroptosis-Associated lncRNA Signature Can Impact the Immune Status and Predict the Outcome of Breast Cancer.
一种新型的坏死性相关 lncRNA 特征可以影响乳腺癌的免疫状态并预测其预后。
J Immunol Res. 2022 May 5;2022:3143511. doi: 10.1155/2022/3143511. eCollection 2022.
4
Copper induces cell death by targeting lipoylated TCA cycle proteins.铜通过靶向脂酰化 TCA 循环蛋白诱导细胞死亡。
Science. 2022 Mar 18;375(6586):1254-1261. doi: 10.1126/science.abf0529. Epub 2022 Mar 17.
5
Copper-induced cell death.铜诱导的细胞死亡。
Science. 2022 Mar 18;375(6586):1231-1232. doi: 10.1126/science.abo3959. Epub 2022 Mar 17.
6
Copper-induced tumor cell death mechanisms and antitumor theragnostic applications of copper complexes.铜诱导的肿瘤细胞死亡机制及铜配合物的抗肿瘤诊断与治疗应用。
Nanomedicine (Lond). 2022 Feb;17(5):303-324. doi: 10.2217/nnm-2021-0374. Epub 2022 Jan 21.
7
Comprehensive Analysis of mA Regulators Characterized by the Immune Cell Infiltration in Head and Neck Squamous Cell Carcinoma to Aid Immunotherapy and Chemotherapy.基于免疫细胞浸润特征对头颈鳞状细胞癌中mA调节因子进行综合分析以辅助免疫治疗和化疗
Front Oncol. 2021 Nov 29;11:764798. doi: 10.3389/fonc.2021.764798. eCollection 2021.
8
Effects of Molecular Iodine/Chemotherapy in the Immune Component of Breast Cancer Tumoral Microenvironment.分子碘/化疗对乳腺癌肿瘤微环境免疫成分的影响。
Biomolecules. 2021 Oct 12;11(10):1501. doi: 10.3390/biom11101501.
9
Epigenetic regulation of triple negative breast cancer (TNBC) by TGF-β signaling.TGF-β 信号对三阴性乳腺癌(TNBC)的表观遗传调控。
Sci Rep. 2021 Jul 29;11(1):15410. doi: 10.1038/s41598-021-94514-9.
10
Guidelines for clinical evaluation of anti-cancer drugs.抗肿瘤药物临床评价指导原则。
Cancer Sci. 2021 Jul;112(7):2563-2577. doi: 10.1111/cas.14967. Epub 2021 Jun 8.