Suppr超能文献

IAP0971的临床前评估,IAP0971是一种新型免疫细胞因子,可特异性结合PD1并融合IL15/IL15R复合物。

Preclinical evaluation of IAP0971, a novel immunocytokine that binds specifically to PD1 and fuses IL15/IL15R complex.

作者信息

Chen Jihong, Shen Ziyou, Jiang Xiaoling, Huang Zhenzhen, Wu Chongbing, Jiang Dongcheng, Yin Liusong

机构信息

SunHo (China) BioPharmaceutical Co., Ltd, No.5 Xingjian Road, Economic and Technological Development Zone, Nanjing 210008, Jiangsu Province, China.

出版信息

Antib Ther. 2022 Nov 17;6(1):38-48. doi: 10.1093/abt/tbac031. eCollection 2023 Jan.

Abstract

BACKGROUND

Currently, cytokine therapy for cancer has demonstrated efficacy in certain diseases but is generally accompanied by severe toxicity. The field of antibody-cytokine fusion proteins (immunocytokines) arose to target these effector molecules to the tumor microenvironment to expand the therapeutic window of cytokine therapy. Therefore, we have developed a novel immunocytokine that binds specifically to programmed death 1 (PD1) and fuses IL15/IL15Rα complex (referred to as IAP0971) for cancer immunotherapy.

METHODS

We report here the making of IAP0971, a novel immunocytokine that binds specifically to PD1 and fuses IL15/IL15Rα complex, and preclinical characterization including pharmacology, pharmacodynamics, pharmacokinetics and toxicology, and discuss its potential as a novel agent for treating patients with advanced malignant tumors.

RESULTS

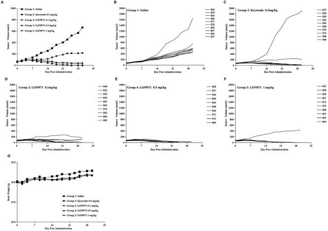
IAP0971 bound to human IL2/15Rβ proteins specifically and blocked PD1/PDL1 signaling transduction pathway. IAP0971 promoted the proliferation of CD8 + T cells and natural killer T (NKT) cells, and further activated NK cells to kill tumor cells validated by assays. In an hPD1 knock-in mouse model, IAP0971 showed potent anti-tumor activity. Preclinical studies in non-human primates following single or repeated dosing of IAP0971 showed favorable pharmacokinetics and well-tolerated toxicology profile.

CONCLUSION

IAP0971 has demonstrated a favorable safety profile and potent anti-tumor activities . A Phase I/IIa clinical trial to evaluate the safety, tolerability and preliminary efficacy of IAP0971 in patients with advanced malignant tumors is on-going (NCT05396391).

摘要

背景

目前,癌症的细胞因子疗法在某些疾病中已显示出疗效,但通常伴有严重毒性。抗体-细胞因子融合蛋白(免疫细胞因子)领域的出现是为了将这些效应分子靶向肿瘤微环境,以扩大细胞因子疗法的治疗窗口。因此,我们开发了一种新型免疫细胞因子,它能特异性结合程序性死亡1(PD1)并融合IL15/IL15Rα复合物(称为IAP0971)用于癌症免疫治疗。

方法

我们在此报告IAP0971的制备,这是一种新型免疫细胞因子,能特异性结合PD1并融合IL15/IL15Rα复合物,以及临床前特征,包括药理学、药效学、药代动力学和毒理学,并讨论其作为治疗晚期恶性肿瘤患者的新型药物的潜力。

结果

IAP0971特异性结合人IL2/15Rβ蛋白并阻断PD1/PDL1信号转导通路。IAP0971促进CD8 + T细胞和自然杀伤T(NKT)细胞的增殖,并进一步激活NK细胞以杀死经检测验证的肿瘤细胞。在hPD1基因敲入小鼠模型中,IAP0971显示出强大的抗肿瘤活性。在非人灵长类动物中对IAP0971进行单次或重复给药后的临床前研究显示出良好的药代动力学和耐受性良好的毒理学特征。

结论

IAP0971已显示出良好的安全性和强大的抗肿瘤活性。一项评估IAP0971在晚期恶性肿瘤患者中的安全性、耐受性和初步疗效的I/IIa期临床试验正在进行中(NCT05396391)。

https://cdn.ncbi.nlm.nih.gov/pmc/blobs/dbcb/9847340/bdbd09e6e71d/tbac031f1.jpg

文献AI研究员

20分钟写一篇综述,助力文献阅读效率提升50倍。

立即体验

用中文搜PubMed

大模型驱动的PubMed中文搜索引擎

马上搜索

文档翻译

学术文献翻译模型,支持多种主流文档格式。

立即体验