Suppr超能文献

有机-无机杂化[NH(CH)]ZnBr晶体的晶体结构、相变及核磁共振

Crystal structures, phase transitions, and nuclear magnetic resonance of organic-inorganic hybrid [NH(CH)]ZnBr crystals.

作者信息

Lim Ae Ran

机构信息

Graduate School of Carbon Convergence Engineering, Jeonju University Jeonju 55069 Korea.

Department of Science Education, Jeonju University Jeonju 55069 Korea

出版信息

RSC Adv. 2023 Jan 4;13(2):1078-1084. doi: 10.1039/d2ra06697a. eCollection 2023 Jan 3.

Abstract

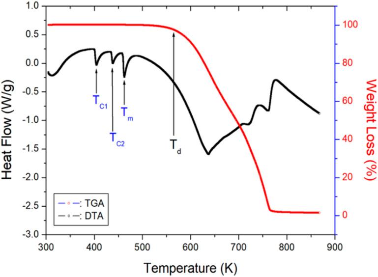
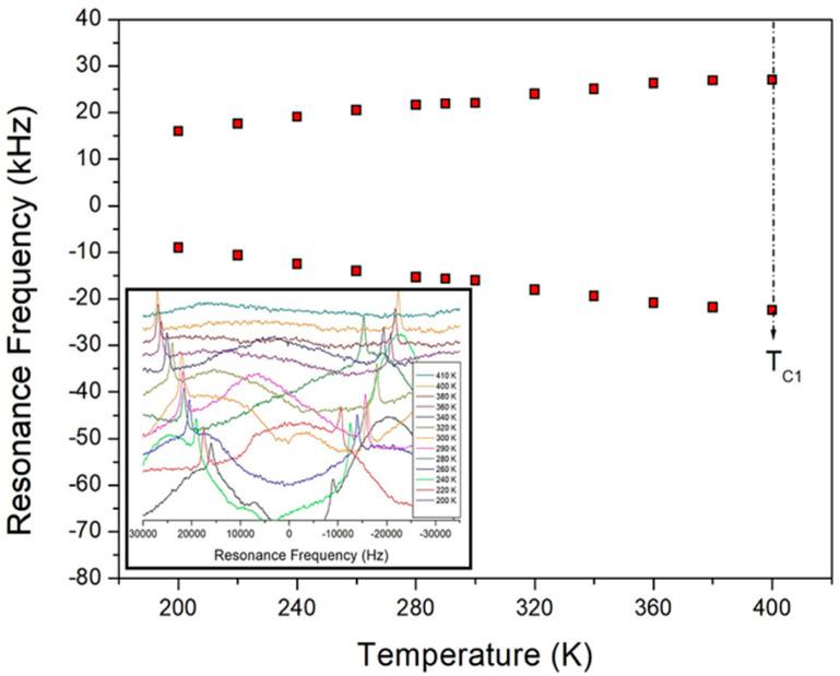
Organic-inorganic hybrid [NH(CH)]ZnBr crystals were grown slow evaporation, and their monoclinic structure was determined using single-crystal X-ray diffraction (XRD). The two phase transition temperatures at 401 K ( ) and 436 K ( ) were defined using differential scanning calorimetry and powder XRD. In the nuclear magnetic resonance spectra, a small change was observed in the H chemical shifts for NH, C chemical shifts for CH, and N resonance frequency for NH near . H spin-lattice relaxation times and C for NH and CH, respectively, rapidly decreased near , suggesting that energy was easily transferred. NH in the [NH(CH)] cation was significantly influenced by the surrounding environments of H and N, indicating a change in the N-H⋯Br hydrogen bond with the coordination geometry of the ZnBr anion. These fundamental properties open efficient avenues for the development of organic-inorganic hybrids, thus qualifying them for practical applications.

摘要

通过缓慢蒸发法生长出有机-无机杂化的[NH(CH)]ZnBr晶体,并用单晶X射线衍射(XRD)确定了它们的单斜结构。利用差示扫描量热法和粉末XRD确定了在401 K( )和436 K( )时的两个相变温度。在核磁共振谱中,在 附近观察到NH的H化学位移、CH的C化学位移以及NH的N共振频率有微小变化。NH和CH的H自旋-晶格弛豫时间 分别在 附近迅速降低,表明能量易于转移。[NH(CH)]阳离子中的NH受到H和N周围环境的显著影响,表明与ZnBr阴离子配位几何结构的N-H⋯Br氢键发生了变化。这些基本性质为有机-无机杂化物的开发开辟了有效途径,从而使其具备实际应用的条件。

https://cdn.ncbi.nlm.nih.gov/pmc/blobs/28b5/9811984/c7e627df0f4c/d2ra06697a-f1.jpg

文献AI研究员

20分钟写一篇综述,助力文献阅读效率提升50倍。

立即体验

用中文搜PubMed

大模型驱动的PubMed中文搜索引擎

马上搜索

文档翻译

学术文献翻译模型,支持多种主流文档格式。

立即体验