Guangxi Medical University, Nanning 530021, China.
The First Affiliated Hospital of Guangxi University of Chinese Medicine, Nanning 530023, China.
Mediators Inflamm. 2023 Jan 12;2023:6051946. doi: 10.1155/2023/6051946. eCollection 2023.
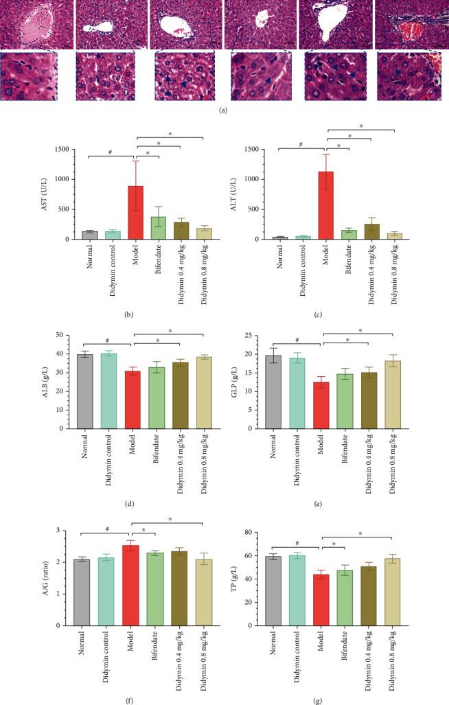
Based on the multiomics analysis, this study is aimed at investigating the underlying mechanism of didymin against acute liver injury (ALI). The mice were administrated with didymin for 2 weeks, followed by injection with lipopolysaccharide (LPS) plus D-galactosamine (D-Gal) to induce ALI. The pathological examination revealed that didymin significantly ameliorated LPS/D-Gal-induced hepatic damage. Also, it markedly reduced proinflammatory cytokines release by inhibiting the TLR4/NF-B pathway activation, alleviating inflammatory injury. A transcriptome analysis proved 2680 differently expressed genes (DEGs) between the model and didymin groups and suggested that the PI3K/Akt and metabolic pathways might be the most relevant targets. Meanwhile, the metabolome analysis revealed 67 differently expressed metabolites (DEMs) between the didymin and model groups that were mainly clustered into the glycerophospholipid metabolism, which was consistent with the transcriptome study. Importantly, a comprehensive analysis of both the omics indicated a strong correlation between the DEGs and DEMs, and an in-depth study demonstrated that didymin alleviated metabolic disorder and hepatocyte injury likely by inhibiting the glycerophospholipid metabolism pathway through the regulation of PLA2G4B, LPCAT3, and CEPT1 expression. In conclusion, this study demonstrates that didymin can ameliorate LPS/D-Gal-induced ALI by inhibiting the glycerophospholipid metabolism and PI3K/Akt and TLR4/NF-B pathways.
基于多组学分析,本研究旨在探讨双嘧达莫(didymin)防治急性肝损伤(ALI)的作用机制。首先给予小鼠双嘧达莫灌胃 2 周,再用脂多糖(LPS)联合半乳糖胺(D-Gal)诱导 ALI。病理检查结果显示,双嘧达莫可显著改善 LPS/D-Gal 诱导的肝损伤,其作用机制可能与抑制 TLR4/NF-B 通路激活、减少促炎细胞因子释放、减轻炎症损伤有关。转录组分析发现模型组与双嘧达莫组间存在 2680 个差异表达基因(DEGs),提示 PI3K/Akt 代谢途径可能为双嘧达莫的主要作用靶点。代谢组分析发现模型组与双嘧达莫组间存在 67 个差异表达代谢物(DEMs),主要涉及甘油磷脂代谢途径,与转录组分析结果一致。重要的是,综合组学分析表明 DEGs 和 DEMs 之间具有较强相关性,深入研究发现双嘧达莫可能通过调节 PLA2G4B、LPCAT3 和 CEPT1 表达,抑制甘油磷脂代谢,从而改善代谢紊乱和肝细胞损伤,缓解 ALI。综上,本研究表明双嘧达莫可通过抑制甘油磷脂代谢和 PI3K/Akt、TLR4/NF-B 通路改善 LPS/D-Gal 诱导的 ALI。