Suppr超能文献

食用高脂饮食会改变青春期小鼠肝脏中的转录节律。

Consumption of a high-fat diet alters transcriptional rhythmicity in liver from pubertal mice.

作者信息

Yan Lin, Sundaram Sneha, Rust Bret M, Palmer Daniel G, Johnson LuAnn K, Zeng Huawei

机构信息

United States Department of Agriculture, Agricultural Research Service, Grand Forks Human Nutrition Research Center, Grand Forks, ND, United States.

出版信息

Front Nutr. 2023 Jan 4;9:1068350. doi: 10.3389/fnut.2022.1068350. eCollection 2022.

Abstract

INTRODUCTION

Childhood obesity is associated with adult obesity, which is a risk factor for chronic diseases. Obesity, as an environmental cue, alters circadian rhythms. The hypothesis of this study was that consumption of a high-fat diet alters metabolic rhythms in pubertal mice.

METHODS

Weanling female C57BL/6NHsd mice were fed a standard AIN93G diet or a high-fat diet (HFD) for 3 weeks. Livers were collected from six-week-old mice every 4 h over a period of 48 h for transcriptome analysis.

RESULTS AND DISCUSSION

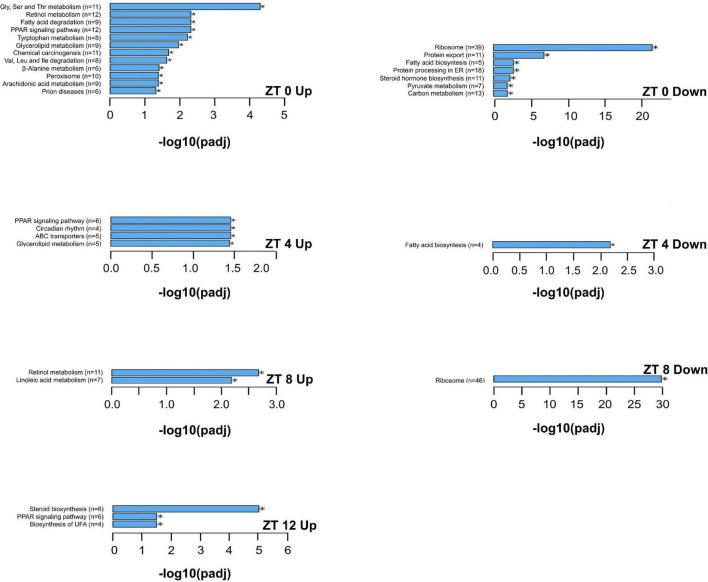
The HFD altered rhythmicity of differentially rhythmic transcripts in liver. Specifically, the HFD elevated expression of circadian genes , , and and genes encoding lipid metabolism and , while decreased expression of circadian genes and and lipid metabolism genes , , and . Hierarchical clustering analysis of differential expression genes showed that the HFD-mediated metabolic disturbance was most active in the dark phase, ranging from Zeitgeber time 16 to 20. The Kyoto Encyclopedia of Genes and Genomes enrichment analysis of differentially expressed genes showed that the HFD up-regulated signaling pathways related to fatty acid and lipid metabolism, steroid and steroid hormone biosynthesis, amino acid metabolism and protein processing in the endoplasmic reticulum, glutathione metabolism, and ascorbate and aldarate metabolism in the dark phase. Down-regulations included MAPK pathway, lipolysis in adipocytes, Ras and Rap1 pathways, and pathways related to focal adhesion, cell adhesion molecules, and extracellular matrix-receptor interaction. In summary, the HFD altered metabolic rhythms in pubertal mice with the greatest alterations in the dark phase. These alterations may disrupt metabolic homeostasis in puberty and lead to metabolic disorders.

摘要

引言

儿童肥胖与成人肥胖相关,而成人肥胖是慢性疾病的一个风险因素。肥胖作为一种环境线索,会改变昼夜节律。本研究的假设是,高脂饮食会改变青春期小鼠的代谢节律。

方法

将断奶的雌性C57BL/6NHsd小鼠喂食标准AIN93G饮食或高脂饮食(HFD)3周。在48小时内,每4小时从六周龄小鼠中收集肝脏用于转录组分析。

结果与讨论

高脂饮食改变了肝脏中差异节律转录本的节律性。具体而言,高脂饮食提高了昼夜节律基因、和以及编码脂质代谢的基因和的表达,同时降低了昼夜节律基因和以及脂质代谢基因、和的表达。差异表达基因的层次聚类分析表明,高脂饮食介导的代谢紊乱在黑暗期最为活跃,从授时时间16到20。京都基因与基因组百科全书对差异表达基因的富集分析表明,高脂饮食在黑暗期上调了与脂肪酸和脂质代谢、类固醇和类固醇激素生物合成、氨基酸代谢和内质网中的蛋白质加工、谷胱甘肽代谢以及抗坏血酸和醛糖代谢相关的信号通路。下调的包括丝裂原活化蛋白激酶(MAPK)通路、脂肪细胞中的脂肪分解、Ras和Rap1通路以及与粘着斑、细胞粘附分子和细胞外基质-受体相互作用相关的通路。总之,高脂饮食改变了青春期小鼠的代谢节律,在黑暗期变化最大。这些改变可能会破坏青春期的代谢稳态并导致代谢紊乱。

https://cdn.ncbi.nlm.nih.gov/pmc/blobs/557f/9845732/2dc70e8143fd/fnut-09-1068350-g001.jpg

文献检索

告别复杂PubMed语法,用中文像聊天一样搜索,搜遍4000万医学文献。AI智能推荐,让科研检索更轻松。

立即免费搜索

文件翻译

保留排版,准确专业,支持PDF/Word/PPT等文件格式,支持 12+语言互译。

免费翻译文档

深度研究

AI帮你快速写综述,25分钟生成高质量综述,智能提取关键信息,辅助科研写作。

立即免费体验