Suppr超能文献

景观格局对感染拉萨热病毒的影响,几内亚。

Influence of Landscape Patterns on Exposure to Lassa Fever Virus, Guinea.

出版信息

Emerg Infect Dis. 2023 Feb;29(2):304-313. doi: 10.3201/eid2902.212525.

Abstract

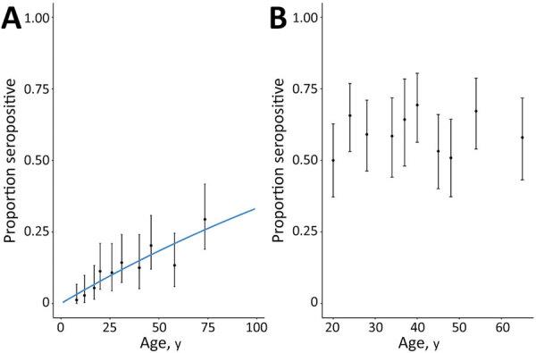
Lassa fever virus (LASV) is the causative agent of Lassa fever, a disease endemic in West Africa. Exploring the relationships between environmental factors and LASV transmission across ecologically diverse regions can provide crucial information for the design of appropriate interventions and disease monitoring. We investigated LASV exposure in 2 ecologically diverse regions of Guinea. Our results showed that exposure to LASV was heterogenous between and within sites. LASV IgG seropositivity was 11.9% (95% CI 9.7%-14.5%) in a coastal study site in Basse-Guinée, but it was 59.6% (95% CI 55.5%-63.5%) in a forested study site located in Guinée Forestière. Seropositivity increased with age in the coastal site. We also found significant associations between exposure risk for LASV and landscape fragmentation in coastal and forested regions. Our study highlights the potential link between environmental change and LASV emergence and the urgent need for research on land management practices that reduce disease risks.

摘要

拉沙热病毒(LASV)是拉沙热的病原体,该病在西非流行。探索环境因素与 LASV 在生态多样化地区传播之间的关系,可以为设计适当的干预措施和疾病监测提供关键信息。我们调查了几内亚两个生态多样化地区的 LASV 暴露情况。结果表明,暴露于 LASV 在不同地点和地点之间存在差异。在巴塞几内亚的沿海研究点,LASV IgG 血清阳性率为 11.9%(95%CI9.7%-14.5%),而在位于几内亚森林地区的森林研究点,阳性率为 59.6%(95%CI55.5%-63.5%)。在沿海点,血清阳性率随年龄增长而增加。我们还发现了沿海和森林地区 LASV 暴露风险与景观破碎化之间存在显著关联。我们的研究强调了环境变化与 LASV 出现之间的潜在联系,以及迫切需要研究减少疾病风险的土地管理实践。

https://cdn.ncbi.nlm.nih.gov/pmc/blobs/c37f/9881776/7daf1b125091/21-2525-F1.jpg

文献AI研究员

20分钟写一篇综述,助力文献阅读效率提升50倍。

立即体验

用中文搜PubMed

大模型驱动的PubMed中文搜索引擎

马上搜索

文档翻译

学术文献翻译模型,支持多种主流文档格式。

立即体验