National Synchrotron Radiation Laboratory, University of Science and Technology of China, Hefei 230026, Anhui, China.
Helmholtz-Zentrum Berlin für Materialien und Energie, Albert-Einstein-Strasse 15, 12489 Berlin, Germany.
J Phys Chem Lett. 2023 Feb 2;14(4):1000-1006. doi: 10.1021/acs.jpclett.2c03569. Epub 2023 Jan 24.
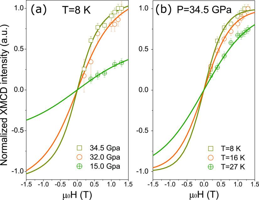
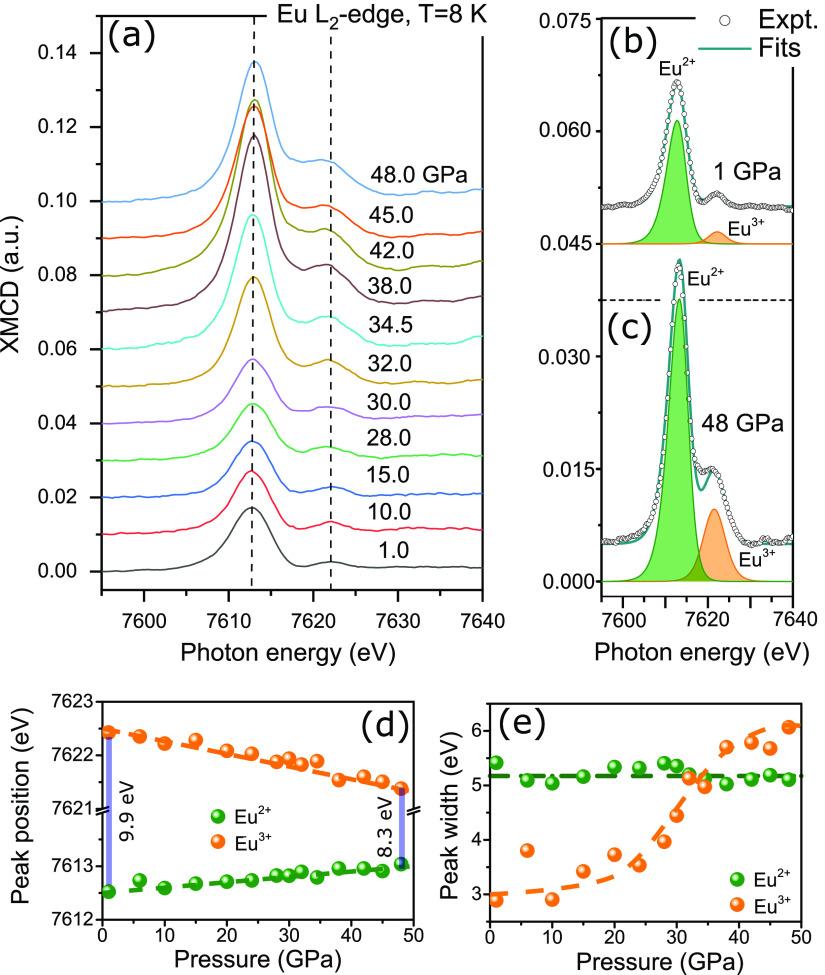
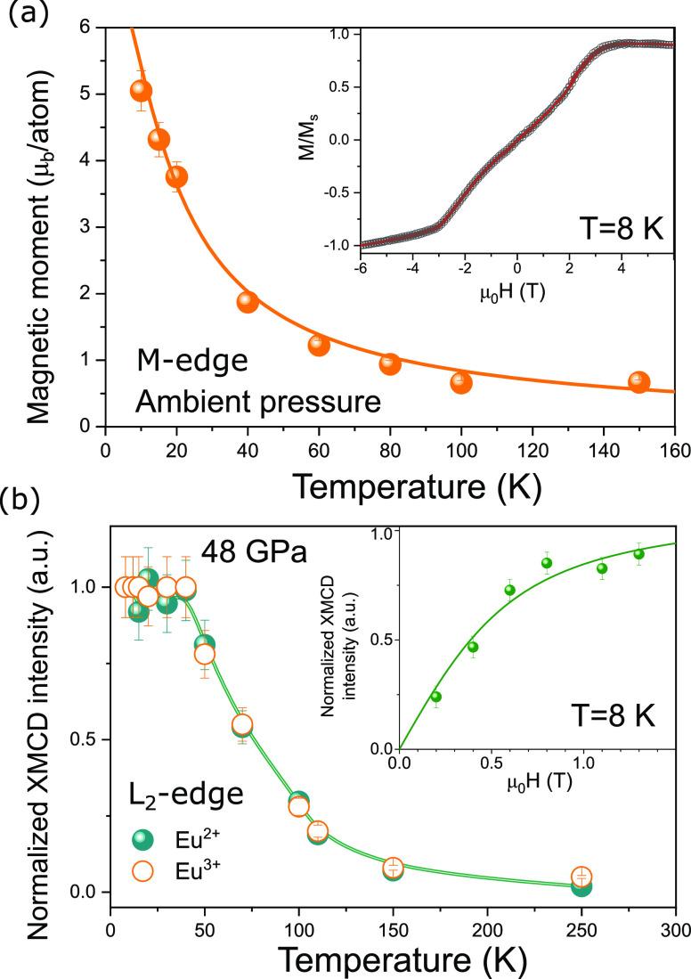
In rare-earth compounds with valence fluctuation, the proximity of the 4f level to the Fermi energy leads to instabilities of the charge configuration and the magnetic moment. Here, we provide direct experimental evidence for an induced magnetic polarization of the Eu atomic shell with = 0, due to intra-atomic exchange and spin-orbital coupling interactions with the Eu atomic shell. By applying external pressure, a transition from antiferromagnetic to a fluctuating behavior in EuNiGe single crystals is probed. Magnetic polarization is observed for both valence states of Eu and Eu across the entire pressure range. The anomalous magnetism is discussed in terms of a homogeneous intermediate valence state where frustrated Dzyaloshinskii-Moriya couplings are enhanced by the onset of spin-orbital interaction and engender a chiral spin-liquid-like precursor.
在具有价态波动的稀土化合物中,4f 能级与费米能级的接近导致电荷组态和磁矩的不稳定性。在这里,我们提供了由于与 Eu 原子壳层的原子内交换和自旋轨道耦合相互作用,Eu 原子壳层的诱导磁极化的直接实验证据。通过施加外部压力,探测到 EuNiGe 单晶中从反铁磁到波动行为的转变。在整个压力范围内,Eu 和 Eu 的两种价态都观察到了磁极化。异常磁性质被讨论为一个均匀的中间价态,其中自旋轨道相互作用的出现增强了受挫的 Dzyaloshinskii-Moriya 耦合,并产生了手性自旋液体样的前体。