Hyeon-Deuk Kim, Chang I-Ya
Department of Chemistry, Kyoto University, Kyoto, 606-8502, Japan.
Commun Chem. 2022 Dec 3;5(1):168. doi: 10.1038/s42004-022-00788-z.
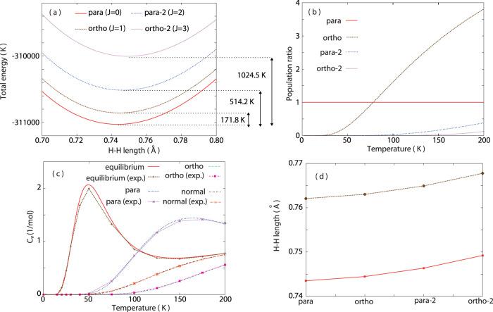
Apparent presence of the nuclear-spin species of a hydrogen molecule, para-hydrogen and ortho-hydrogen, associated with the quantum rotation is a manifestation of the nuclear quantum nature of hydrogen, governing not only molecular structures but also physical and chemical properties of hydrogen molecules. It has been a great challenge to observe and calculate real-time dynamics of such molecularized fermions. Here, we developed the non-empirical quantum molecular dynamics method that enables real-time molecular dynamics simulations of hydrogen molecules satisfying the nuclear spin statistics of the quantum rotor. While reproducing the species-dependent quantum rotational energy, population ratio, specific heat, and H-H bond length and frequency, we found that their translational, orientational and vibrational dynamics becomes accelerated with the higher rotational excitation, concluding that the nuclear quantum rotation stemmed from the nuclear spin statistics can induce various kinds of dynamics and reactions intrinsic to each hydrogen species.
与量子旋转相关的氢分子核自旋种类(仲氢和正氢)的明显存在,是氢核量子性质的一种表现,它不仅决定分子结构,还决定氢分子的物理和化学性质。观察和计算这种分子化费米子的实时动力学一直是一个巨大挑战。在此,我们开发了一种非经验量子分子动力学方法,该方法能够对满足量子转子核自旋统计的氢分子进行实时分子动力学模拟。在再现与种类相关的量子旋转能量、布居比、比热以及H-H键长度和频率时,我们发现随着更高的旋转激发,它们的平移、取向和振动动力学加速,得出结论:源于核自旋统计的核量子旋转可诱导每种氢物种特有的各种动力学和反应。