Suppr超能文献

骨吸收抑制剂对骨质疏松症患者血清胆固醇水平和骨折风险的影响:米诺膦酸与雷洛昔芬的随机对照研究。

Effect of Bone Resorption Inhibitors on Serum Cholesterol Level and Fracture Risk in Osteoporosis: Randomized Comparative Study Between Minodronic Acid and Raloxifene.

机构信息

Department of Obstetrics and Gynecology 2, Kawasaki Medical School, Okayama, Japan.

Biostatistics Section, Department of Data Science, Center for Clinical Sciences, National Center for Global Health and Medicine, 1-21-1, Toyama, Shinjyuku-Ku, Tokyo, 162-8655, Japan.

出版信息

Calcif Tissue Int. 2023 Apr;112(4):430-439. doi: 10.1007/s00223-023-01060-9. Epub 2023 Jan 28.

Abstract

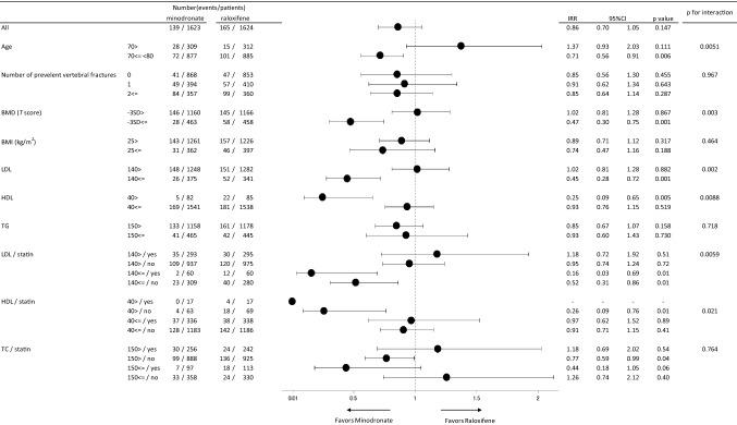
The positive link between osteoporosis and hypercholesterolemia has been documented, and bone resorption inhibitors, such as nitrogen-containing bisphosphonates (N-BP) and selective estrogen receptor modulators (SERMs), are known to reduce serum cholesterol levels. However, the relationship between the baseline cholesterol level and incident fracture rate under the treatment using the bone resorption inhibitors has not been documented. We investigated the relation between vertebral fracture incident and the baseline cholesterol levels and cholesterol-lowering effect of N-BP and SERM in osteoporosis through a prospective randomized open-label study design. Patients with osteoporosis (n = 3986) were allocated into two groups based on the drug used for treatment: minodronic acid (MIN) (n = 1624) as an N-BP and raloxifene (RLX) as an SERM (n = 1623). Serum levels of cholesterol and incidence of vertebral fracture were monitored for 2 years. The vertebral fracture rates between the two groups were compared using the pre-specified stratification factors. The patients receiving MIN with baseline low-density lipoprotein (LDL)-cholesterol level of ≥ 140 mg/dL, high-density lipoprotein cholesterol level < 40 mg/dL, age group of ≥ 75 years, and T score of BMD ≥ -3 SD had significantly lower vertebral fracture rates than those receiving RLX (incidence rate ratios (IRR) 0.45 [95% confidence interval (CI) 0.30 0.75, p = 0.001], 0.25 [95% CI 0.09 0.65, p = 0.005], 0.71 [95% CI 0.56 0.91, p = 0.006], 0.47 [95% CI 0.30 0.75, p = 0.0012], respectively). The cholesterol-lowering effect was stronger in the RLX group than in the MIN group, regardless of prior statin use. These results indicated that MIN treatment was more effective in reducing fracture risk in patients with higher LDL cholesterol levels, although its cholesterol-lowering ability was lesser than the RLX treatment.Trial registration University Hospital Medical Information Network-Clinical Trials Registry (UMIN-CTR), No. UMIN000005433; date: April 13, 2011.

摘要

骨质疏松症和高胆固醇血症之间存在正相关关系,已知骨吸收抑制剂,如含氮双膦酸盐(N-BP)和选择性雌激素受体调节剂(SERM),可降低血清胆固醇水平。然而,在使用骨吸收抑制剂治疗的情况下,基线胆固醇水平与骨折发生率之间的关系尚未得到证实。我们通过前瞻性随机开放标签研究设计,研究了骨质疏松症中椎体骨折事件与基线胆固醇水平以及 N-BP 和 SERM 的降胆固醇作用之间的关系。根据治疗药物将骨质疏松症患者(n=3986)分为两组:米诺膦酸(MIN)(n=1624)作为 N-BP 和雷洛昔芬(RLX)作为 SERM(n=1623)。监测了 2 年的胆固醇血清水平和椎体骨折的发生率。使用预先指定的分层因素比较两组之间的椎体骨折发生率。基线低密度脂蛋白(LDL)-胆固醇水平≥140mg/dL、高密度脂蛋白胆固醇水平<40mg/dL、年龄组≥75 岁和 BMD T 评分≥-3 SD 的接受 MIN 治疗的患者的椎体骨折发生率明显低于接受 RLX 治疗的患者(发病率比(IRR)0.45 [95%置信区间(CI)0.30-0.75,p=0.001]、0.25 [95%CI 0.09-0.65,p=0.005]、0.71 [95%CI 0.56-0.91,p=0.006]、0.47 [95%CI 0.30-0.75,p=0.0012])。无论先前是否使用他汀类药物,RLX 组的降胆固醇作用均强于 MIN 组。这些结果表明,MIN 治疗在降低 LDL 胆固醇水平较高的患者骨折风险方面更为有效,尽管其降胆固醇能力小于 RLX 治疗。

试验注册 大学医院医疗信息网络-临床试验注册(UMIN-CTR),编号 UMIN000005433;日期:2011 年 4 月 13 日。

https://cdn.ncbi.nlm.nih.gov/pmc/blobs/3a16/10025188/aa1b2b1f78cc/223_2023_1060_Fig1_HTML.jpg

文献AI研究员

20分钟写一篇综述,助力文献阅读效率提升50倍。

立即体验

用中文搜PubMed

大模型驱动的PubMed中文搜索引擎

马上搜索

文档翻译

学术文献翻译模型,支持多种主流文档格式。

立即体验