Suppr超能文献

中性粒细胞与淋巴细胞比值(NLR)作为局部晚期直肠癌新辅助放化疗病理反应不良预测生物标志物的前瞻性研究。

Neutrophil-to-Lymphocyte Ratio (NLR) as a Poor Predictive Biomarker for Pathological Response to Neoadjuvant Chemoradiation in Locally Advanced Rectal Cancer: A Prospective Study.

机构信息

Department of Radiation Oncology, Iran University of Medical Science, Tehran, Iran.

Department of Pathology, Iran University of Medical science, Tehran, Iran.

出版信息

Asian Pac J Cancer Prev. 2023 Jan 1;24(1):61-67. doi: 10.31557/APJCP.2023.24.1.61.

Abstract

BACKGROUND

The literature is inconsistent for the role of neutrophil-to-lymphocyte ratio (NLR) obtained before neoadjuvant therapy (pre-NLR) in predicting pathological response to neoadjuvant chemoradiation (neoCRT) in patients with locally advanced rectal cancer (LARC). In the present cohort study, we explored the predictive role of pre-NLR in this setting.

METHODS

We prospectively included patients with LARC who were candidates for neoCRT at the Shohada-e-Hafte Tir Hospital (Tehran, Iran) between Mar 2018 and Feb 2020. The pre-NLR was obtained through a peripheral blood smear before CRT. We used the AJCC system for evaluating tumor regression grade (TRG). The TRGs were categorized into: response-group 1 (TRG 0-1 vs. 2-3), response-group 2 (TRG 0 vs. 1-3), and response-group 3 (TRG 0-2 vs. 3). We applied receiver operating characteristic (ROC) analysis to assess the predictive value of pre-NLR.

RESULTS

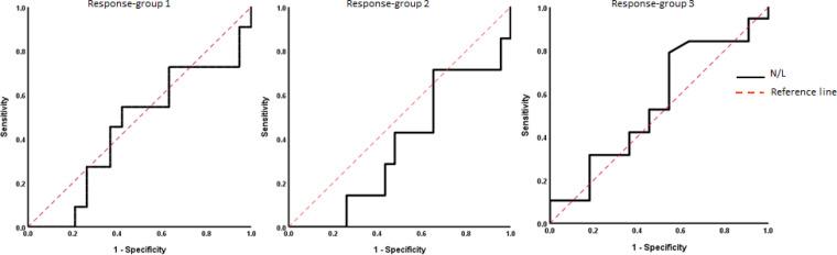
Of the 86 screened patients with rectal cancer, 30   patients who fulfilled the inclusion criteria were included in the study. In total, 63.3% were responsive, and 23.3% had complete pathologic response. Pre-NLR could not predict the pathologic response in response-group 1 (area under the ROC curve [AUC]: 0.45, 95%CI 0.23-0.66) and response-group 2 (AUC: 0.36, 95%CI 0.13-0.59). Nevertheless, it had a poor predictive value in response-group 3 (AUC: 0.55, CI%95 0.33-0.75) with an optimal NLR cutoff value of 2.94.

CONCLUSIONS

Pre-NLR could not predict the pathological response to neoCRT in our cohort of patients with LARC.

摘要

背景

文献对于新辅助放化疗(neoCRT)前中性粒细胞与淋巴细胞比值(NLR)在预测局部晚期直肠癌(LARC)患者对 neoCRT 的病理反应中的作用存在不一致。在本队列研究中,我们探讨了 NLR 在这种情况下的预测作用。

方法

我们前瞻性地纳入了 2018 年 3 月至 2020 年 2 月在 Shohada-e-Hafte Tir 医院(伊朗德黑兰)接受 neoCRT 的 LARC 候选患者。在 CRT 前通过外周血涂片获得 pre-NLR。我们使用 AJCC 系统评估肿瘤消退分级(TRG)。TRG 分为:反应组 1(TRG 0-1 与 2-3),反应组 2(TRG 0 与 1-3)和反应组 3(TRG 0-2 与 3)。我们应用受试者工作特征(ROC)分析评估 pre-NLR 的预测价值。

结果

在筛选出的 86 例直肠癌患者中,有 30 例符合纳入标准的患者被纳入研究。共有 63.3%的患者有反应,23.3%的患者有完全病理反应。pre-NLR 不能预测反应组 1(ROC 曲线下面积[AUC]:0.45,95%CI 0.23-0.66)和反应组 2(AUC:0.36,95%CI 0.13-0.59)的病理反应。然而,在反应组 3(AUC:0.55,95%CI 0.33-0.75)中,它的预测价值较差,最佳 NLR 截断值为 2.94。

结论

pre-NLR 不能预测我们的 LARC 患者 neoCRT 的病理反应。

https://cdn.ncbi.nlm.nih.gov/pmc/blobs/3806/10152857/5ec0610ae0a0/APJCP-24-61-g001.jpg

文献检索

告别复杂PubMed语法,用中文像聊天一样搜索,搜遍4000万医学文献。AI智能推荐,让科研检索更轻松。

立即免费搜索

文件翻译

保留排版,准确专业,支持PDF/Word/PPT等文件格式,支持 12+语言互译。

免费翻译文档

深度研究

AI帮你快速写综述,25分钟生成高质量综述,智能提取关键信息,辅助科研写作。

立即免费体验