Suppr超能文献

在托洛卡上进行交互式实验。

Conducting interactive experiments on Toloka.

作者信息

Chapkovski Philipp

机构信息

University of Bonn, Institute for Applied Microeconomics, Adenauerallee 24-42, Bonn, 53113, Germany.

出版信息

J Behav Exp Finance. 2023 Mar;37:100790. doi: 10.1016/j.jbef.2023.100790. Epub 2023 Feb 1.

Abstract

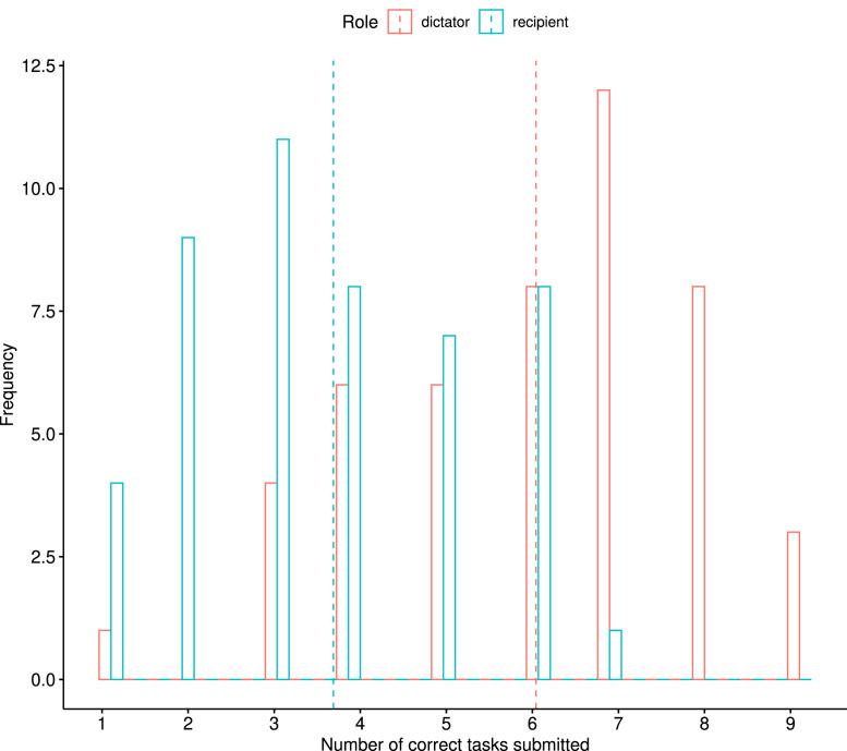
Even before the COVID-19 pandemic, the popularity of online behavioral experiments grew steadily. Due to lockdowns, online studies often became the only available option for behavioral economists, sociologists, and political scientists. The use of the most well-known platforms, such as mTurk, was so intensive that the quality of data was harmed. However, even before the pandemic-induced quality crisis, online studies were limited in scope; real-time interactions between participants were hard to achieve due to the large proportion of drop-outs and issues with creating stable groups. Using the relatively unknown crowdsourcing platform, Toloka, we successfully ran several multi-round interactive experiments. Toloka's sizeable online population, fairly low exposure of participants to sociological surveys and behavioral studies, and convenient application programming interface can make it a useful addition to the toolbox of an experimentalist who needs to run behavioral studies that require real-time interactions between participants.

摘要

甚至在新冠疫情大流行之前,在线行为实验就已稳步普及。由于封锁措施,在线研究常常成为行为经济学家、社会学家和政治科学家唯一可行的选择。诸如mTurk等最知名平台的使用过于密集,以至于数据质量受到损害。然而,即使在疫情引发质量危机之前,在线研究的范围也很有限;由于大量参与者退出以及组建稳定群体存在问题,很难实现参与者之间的实时互动。通过使用相对不太知名的众包平台Toloka,我们成功开展了多项多轮互动实验。Toloka拥有庞大的在线用户群体,参与者较少接触社会学调查和行为研究,其便捷的应用程序编程接口,对于需要开展要求参与者之间进行实时互动的行为研究的实验人员而言,它可以成为其工具库中一个有用的补充。

https://cdn.ncbi.nlm.nih.gov/pmc/blobs/c0c0/9890829/2b82969c5103/gr1_lrg.jpg

文献检索

告别复杂PubMed语法,用中文像聊天一样搜索,搜遍4000万医学文献。AI智能推荐,让科研检索更轻松。

立即免费搜索

文件翻译

保留排版,准确专业,支持PDF/Word/PPT等文件格式,支持 12+语言互译。

免费翻译文档

深度研究

AI帮你快速写综述,25分钟生成高质量综述,智能提取关键信息,辅助科研写作。

立即免费体验