Suppr超能文献

通过生物信息学分析鉴定和验证与子痫前期相关的血管生成相关特征。

Identification and validation of an angiogenesis-related signature associated with preeclampsia by bioinformatic analysis.

机构信息

Department of Obstetrics and Gynecology, Handan Central Hospital, Handan, China.

出版信息

Medicine (Baltimore). 2023 Feb 3;102(5):e32741. doi: 10.1097/MD.0000000000032741.

Abstract

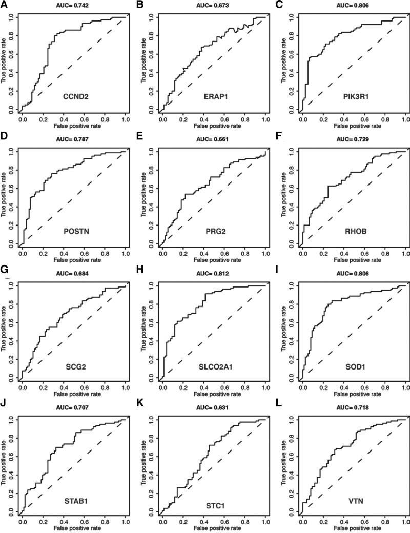
Preeclampsia (PE) is a pregnancy disorder with high morbidity and mortality rates for both mothers and newborns. This study explores potential diagnostic indicators of PE. We downloaded the messenger ribonucleic acid profiles of the GSE75010 dataset from the Gene Expression Omnibus database, and used placenta samples to carry out different analyses including differential expression, Gene Ontology, and Kyoto Encyclopedia of Genes and Genomes analyses. Least absolute shrinkage and selection operator regression was constructed and the receiver operating characteristic curve was drawn to evaluate the accuracy of the model. An external validation was conducted to prove the stability of the risk model. We found 140 angiogenesis-related genes and identified 29 angiogenesis-related genes between the 2 groups, including 12 upregulated genes and 17 downregulated genes. In addition, we established a 12-gene risk signature, which has a high accuracy in predicting PE during pregnancy (area under curve = 0.90). The immune infiltration characteristics are differentially distributed in the 2 groups, which may be the cause of hypertension during pregnancy. The external validation with the GSE25906 dataset confirmed the high accuracy of our model (area under curve = 0.87). Our results outline the characteristics of a set of genes potentially involved in PE and its subgroups, contributing to a better understanding of the molecular mechanisms of PE.

摘要

子痫前期(PE)是一种妊娠并发症,对母亲和新生儿的发病率和死亡率都很高。本研究探讨了 PE 的潜在诊断指标。我们从基因表达综合数据库中下载了 GSE75010 数据集的信使核糖核酸谱,并使用胎盘样本进行了不同的分析,包括差异表达、基因本体论和京都基因与基因组百科全书分析。构建了最小绝对收缩和选择算子回归,并绘制了接收者操作特征曲线,以评估模型的准确性。进行了外部验证以证明风险模型的稳定性。我们发现了 140 个与血管生成相关的基因,并在两组之间鉴定出 29 个与血管生成相关的基因,包括 12 个上调基因和 17 个下调基因。此外,我们建立了一个 12 基因风险特征,该特征在预测妊娠期间的 PE 方面具有很高的准确性(曲线下面积=0.90)。两组之间的免疫浸润特征存在差异分布,这可能是妊娠期间高血压的原因。使用 GSE25906 数据集进行的外部验证证实了我们模型的高准确性(曲线下面积=0.87)。我们的研究结果概述了一组潜在参与 PE 及其亚组的基因的特征,有助于更好地理解 PE 的分子机制。

https://cdn.ncbi.nlm.nih.gov/pmc/blobs/ef33/9902003/558da7e2c547/medi-102-e32741-g001.jpg

文献检索

告别复杂PubMed语法,用中文像聊天一样搜索,搜遍4000万医学文献。AI智能推荐,让科研检索更轻松。

立即免费搜索

文件翻译

保留排版,准确专业,支持PDF/Word/PPT等文件格式,支持 12+语言互译。

免费翻译文档

深度研究

AI帮你快速写综述,25分钟生成高质量综述,智能提取关键信息,辅助科研写作。

立即免费体验