• 文献检索
  • 文档翻译
  • 深度研究
  • 学术资讯
  • Suppr Zotero 插件Zotero 插件
  • 邀请有礼
  • 套餐&价格
  • 历史记录
应用&插件
Suppr Zotero 插件Zotero 插件浏览器插件Mac 客户端Windows 客户端微信小程序
定价
高级版会员购买积分包购买API积分包
服务
文献检索文档翻译深度研究API 文档MCP 服务
关于我们
关于 Suppr公司介绍联系我们用户协议隐私条款
关注我们

Suppr 超能文献

核心技术专利:CN118964589B侵权必究
粤ICP备2023148730 号-1Suppr @ 2026

文献检索

告别复杂PubMed语法,用中文像聊天一样搜索,搜遍4000万医学文献。AI智能推荐,让科研检索更轻松。

立即免费搜索

文件翻译

保留排版,准确专业,支持PDF/Word/PPT等文件格式,支持 12+语言互译。

免费翻译文档

深度研究

AI帮你快速写综述,25分钟生成高质量综述,智能提取关键信息,辅助科研写作。

立即免费体验

含铁量不同的铝合金阳极对铝离子电池性能的影响

Aluminum Alloy Anode with Various Iron Content Influencing the Performance of Aluminum-Ion Batteries.

作者信息

Razaz Ghadir, Arshadirastabi Shahrzad, Blomquist Nicklas, Örtegren Jonas, Carlberg Torbjörn, Hummelgård Magnus, Olin Håkan

机构信息

Department of Natural Sciences, Mid Sweden University, 85170 Sundsvall, Sweden.

出版信息

Materials (Basel). 2023 Jan 18;16(3):933. doi: 10.3390/ma16030933.

DOI:10.3390/ma16030933
PMID:36769941
原文链接:https://pmc.ncbi.nlm.nih.gov/articles/PMC9917774/
Abstract

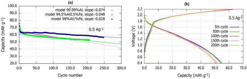
Considerable research has been devoted to the development of cathode materials for Al-ion batteries, but challenges remain regarding the behavior of aluminum anodes. Inert oxide (AlO) film on Al surfaces presents a barrier to electrochemical activity. The structure of the oxide film needs to be weakened to facilitate ion transfer during electrochemical activity. This study addresses oxide film challenges by studying Al alloy anodes with different iron content. The results reveal that using an anode of 99% Al 1% Fe in a cell increases the cycling lifetime by 48%, compared to a 99.99% Al anode. The improvement observed with the 99% Al 1% Fe anode is attributed to its fractional surface area corrosion being about 12% larger than that of a 99.99% Al anode. This is coupled to precipitation of a higher number of AlFe particles, which are evenly scattered in the Al matrix of 99% Al 1% Fe. These AlFe particles constitute weak spots in the oxide film for the electrolyte to attack, and access to fresh Al. The addition of iron to an Al anode thus offers a cheap and easy route for targeting the oxide passivating film challenge in Al-ion batteries.

摘要

大量研究致力于铝离子电池阴极材料的开发,但铝阳极的性能仍面临挑战。铝表面的惰性氧化膜(AlO)对电化学活性构成了障碍。需要削弱氧化膜的结构,以促进电化学活性过程中的离子转移。本研究通过研究不同铁含量的铝合金阳极来应对氧化膜挑战。结果表明,在电池中使用99%铝1%铁的阳极,与99.99%铝的阳极相比,循环寿命提高了48%。观察到99%铝1%铁阳极的性能提升归因于其比表面积腐蚀比99.99%铝阳极大约大12%。这与大量AlFe颗粒的析出有关,这些颗粒均匀地分散在99%铝1%铁的铝基体中。这些AlFe颗粒构成了氧化膜中的薄弱点,便于电解质攻击并接触到新鲜的铝。因此,在铝阳极中添加铁为解决铝离子电池中氧化膜钝化的挑战提供了一种廉价且简便的途径。

https://cdn.ncbi.nlm.nih.gov/pmc/blobs/ba79/9917774/998179affc8a/materials-16-00933-g006.jpg
https://cdn.ncbi.nlm.nih.gov/pmc/blobs/ba79/9917774/141b728011e8/materials-16-00933-g001.jpg
https://cdn.ncbi.nlm.nih.gov/pmc/blobs/ba79/9917774/bdeca450f7f3/materials-16-00933-g002.jpg
https://cdn.ncbi.nlm.nih.gov/pmc/blobs/ba79/9917774/9a9594f19513/materials-16-00933-g003.jpg
https://cdn.ncbi.nlm.nih.gov/pmc/blobs/ba79/9917774/7acc2abd3a0f/materials-16-00933-g004.jpg
https://cdn.ncbi.nlm.nih.gov/pmc/blobs/ba79/9917774/a1616c5fd0d2/materials-16-00933-g005.jpg
https://cdn.ncbi.nlm.nih.gov/pmc/blobs/ba79/9917774/998179affc8a/materials-16-00933-g006.jpg
https://cdn.ncbi.nlm.nih.gov/pmc/blobs/ba79/9917774/141b728011e8/materials-16-00933-g001.jpg
https://cdn.ncbi.nlm.nih.gov/pmc/blobs/ba79/9917774/bdeca450f7f3/materials-16-00933-g002.jpg
https://cdn.ncbi.nlm.nih.gov/pmc/blobs/ba79/9917774/9a9594f19513/materials-16-00933-g003.jpg
https://cdn.ncbi.nlm.nih.gov/pmc/blobs/ba79/9917774/7acc2abd3a0f/materials-16-00933-g004.jpg
https://cdn.ncbi.nlm.nih.gov/pmc/blobs/ba79/9917774/a1616c5fd0d2/materials-16-00933-g005.jpg
https://cdn.ncbi.nlm.nih.gov/pmc/blobs/ba79/9917774/998179affc8a/materials-16-00933-g006.jpg

相似文献

1
Aluminum Alloy Anode with Various Iron Content Influencing the Performance of Aluminum-Ion Batteries.含铁量不同的铝合金阳极对铝离子电池性能的影响
Materials (Basel). 2023 Jan 18;16(3):933. doi: 10.3390/ma16030933.
2
Anode-Free Aqueous Aluminum Ion Batteries.无阳极水系铝离子电池
Small. 2024 Sep;20(38):e2402025. doi: 10.1002/smll.202402025. Epub 2024 May 20.
3
Optimization of Electrolytes for High-Performance Aqueous Aluminum-Ion Batteries.用于高性能水系铝离子电池的电解质优化
ACS Appl Mater Interfaces. 2022 Jun 8;14(22):25232-25245. doi: 10.1021/acsami.1c23278. Epub 2022 May 27.
4
Effect of Si Content on Microstructures and Electrochemical Properties of Al-xSi-3.5Fe Coating Alloy.硅含量对Al-xSi-3.5Fe涂层合金微观结构及电化学性能的影响
Materials (Basel). 2023 Nov 28;16(23):7407. doi: 10.3390/ma16237407.
5
Oxide Film Efficiently Suppresses Dendrite Growth in Aluminum-Ion Battery.氧化物薄膜能有效抑制锂离子电池枝晶生长。
ACS Appl Mater Interfaces. 2017 Jul 12;9(27):22628-22634. doi: 10.1021/acsami.7b07024. Epub 2017 Jun 28.
6
Electrochemical properties of an aluminum anode in an ionic liquid electrolyte for rechargeable aluminum-ion batteries.用于可充电铝离子电池的离子液体电解质中铝阳极的电化学性质。
Phys Chem Chem Phys. 2017 Mar 29;19(13):8653-8656. doi: 10.1039/c6cp08776k.
7
Architecting a Stable High-Energy Aqueous Al-Ion Battery.构建稳定的高能水系铝离子电池。
J Am Chem Soc. 2020 Sep 9;142(36):15295-15304. doi: 10.1021/jacs.0c05054. Epub 2020 Aug 25.
8
Effect of Bi on the Performance of Al-Ga-In Sacrificial Anodes.铋对铝镓铟牺牲阳极性能的影响。
Materials (Basel). 2024 Feb 8;17(4):811. doi: 10.3390/ma17040811.
9
Modulating Aluminum Solvation with Ionic Liquids for Improved Aqueous-Based Aluminum-Ion Batteries.用离子液体调节铝溶剂化以改进水基铝离子电池
ACS Appl Energy Mater. 2023 Nov 22;6(23):11874-11881. doi: 10.1021/acsaem.3c01745. eCollection 2023 Dec 11.
10
Na-Ion Battery Anodes: Materials and Electrochemistry.钠离子电池负极材料:材料与电化学。
Acc Chem Res. 2016 Feb 16;49(2):231-40. doi: 10.1021/acs.accounts.5b00482. Epub 2016 Jan 19.

引用本文的文献

1
Impact of Surface Microstructure and Properties of Aluminum Electrodes on the Plating/Stripping Behavior of Aluminum-Based Batteries Using Imidazolium-Based Electrolyte.铝电极的表面微观结构和性能对使用咪唑基电解质的铝基电池的电镀/脱镀行为的影响
ACS Appl Mater Interfaces. 2024 Nov 27;16(47):65725-65736. doi: 10.1021/acsami.4c18168. Epub 2024 Nov 16.

本文引用的文献

1
Optimization of Electrolytes for High-Performance Aqueous Aluminum-Ion Batteries.用于高性能水系铝离子电池的电解质优化
ACS Appl Mater Interfaces. 2022 Jun 8;14(22):25232-25245. doi: 10.1021/acsami.1c23278. Epub 2022 May 27.
2
Aluminum-copper alloy anode materials for high-energy aqueous aluminum batteries.用于高能水系铝电池的铝铜合金负极材料。
Nat Commun. 2022 Jan 31;13(1):576. doi: 10.1038/s41467-022-28238-3.
3
Challenges and Strategies of Low-Cost Aluminum Anodes for High-Performance Al-Based Batteries.高性能铝基电池低成本铝阳极的挑战与策略
Adv Mater. 2022 Jan;34(2):e2102026. doi: 10.1002/adma.202102026. Epub 2021 Oct 19.
4
High-Defect-Density Graphite for Superior-Performance Aluminum-Ion Batteries with Ultra-Fast Charging and Stable Long Life.用于高性能铝离子电池的高缺陷密度石墨,具备超快充电和长寿命稳定性
Nanomicro Lett. 2021 Aug 9;13(1):171. doi: 10.1007/s40820-021-00698-0.
5
Nonaqueous Rechargeable Aluminum Batteries: Progresses, Challenges, and Perspectives.非水可充电铝电池:进展、挑战与展望
Chem Rev. 2021 Apr 28;121(8):4903-4961. doi: 10.1021/acs.chemrev.0c01257. Epub 2021 Mar 17.
6
Influence of Substrate in Roll-to-roll Coated Nanographite Electrodes for Metal-free Supercapacitors.用于无金属超级电容器的卷对卷涂层纳米石墨电极中基底的影响
Sci Rep. 2020 Mar 24;10(1):5282. doi: 10.1038/s41598-020-62316-0.
7
The Aluminum-Ion Battery: A Sustainable and Seminal Concept?铝离子电池:一个可持续且具有开创性的概念?
Front Chem. 2019 May 1;7:268. doi: 10.3389/fchem.2019.00268. eCollection 2019.
8
The Rechargeable Aluminum Battery: Opportunities and Challenges.可充电铝电池:机遇与挑战。
Angew Chem Int Ed Engl. 2019 Aug 26;58(35):11978-11996. doi: 10.1002/anie.201814031. Epub 2019 Jun 6.
9
Solid electrolyte interphases for high-energy aqueous aluminum electrochemical cells.用于高能水系铝电化学电池的固体电解质界面
Sci Adv. 2018 Nov 30;4(11):eaau8131. doi: 10.1126/sciadv.aau8131. eCollection 2018 Nov.
10
Oxide Film Efficiently Suppresses Dendrite Growth in Aluminum-Ion Battery.氧化物薄膜能有效抑制锂离子电池枝晶生长。
ACS Appl Mater Interfaces. 2017 Jul 12;9(27):22628-22634. doi: 10.1021/acsami.7b07024. Epub 2017 Jun 28.