Suppr超能文献

Prediction of True Stress at Hot Deformation of High Manganese Steel by Artificial Neural Network Modeling.

作者信息

Churyumov Alexander Yu, Kazakova Alena A

机构信息

Department of Physical Metallurgy of Non-Ferrous Metals, National University of Science and Technology "MISiS", Leninskiy Prospekt 4, 119049 Moscow, Russia.

出版信息

Materials (Basel). 2023 Jan 26;16(3):1083. doi: 10.3390/ma16031083.

Abstract

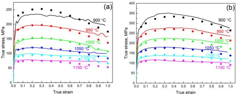
The development of new lightweight materials is required for the automotive industry to reduce the impact of carbon dioxide emissions on the environment. The lightweight, high-manganese steels are the prospective alloys for this purpose. Hot deformation is one of the stages of the production of steel. Hot deformation behavior is mainly determined by chemical composition and thermomechanical parameters. In the paper, an artificial neural network (ANN) model with high accuracy was constructed to describe the high Mn steel deformation behavior in dependence on the concentration of the alloying elements (C, Mn, Si, and Al), the deformation temperature, the strain rate, and the strain. The approval compression tests of the Fe-28Mn-8Al-1C were made at temperatures of 900-1150 °C and strain rates of 0.1-10 s with an application of the Gleeble 3800 thermomechanical simulator. The ANN-based model showed high accuracy, and the low average relative error of calculation for both training (5.4%) and verification (7.5%) datasets supports the high accuracy of the built model. The hot deformation effective activation energy values for predicted (401 ± 5 kJ/mol) and experimental data (385 ± 22 kJ/mol) are in satisfactory accordance, which allows applying the model for the hot deformation analysis of the high-Mn steels with different concentrations of the main alloying elements.

摘要
https://cdn.ncbi.nlm.nih.gov/pmc/blobs/1803/9920467/0b5584555bdd/materials-16-01083-g0A1.jpg

文献AI研究员

20分钟写一篇综述,助力文献阅读效率提升50倍。

立即体验

用中文搜PubMed

大模型驱动的PubMed中文搜索引擎

马上搜索

文档翻译

学术文献翻译模型,支持多种主流文档格式。

立即体验