Suppr超能文献

基于机器学习的超材料表征与逆向设计

Machine-Learning-Based Characterization and Inverse Design of Metamaterials.

作者信息

Liu Wei, Xu Guxin, Fan Wei, Lyu Muyun, Xia Zhaowang

机构信息

School of Energy and Power, Jiangsu University of Science and Technology, Zhenjiang 212003, China.

出版信息

Materials (Basel). 2024 Jul 16;17(14):3512. doi: 10.3390/ma17143512.

Abstract

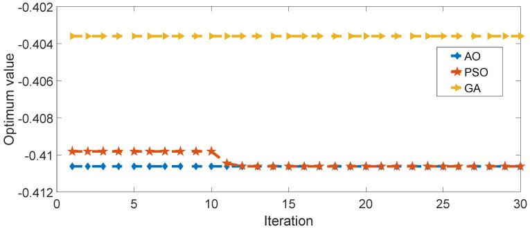
Metamaterials, characterized by unique structures, exhibit exceptional properties applicable across various domains. Traditional methods like experiments and finite-element methods (FEM) have been extensively utilized to characterize these properties. However, exploring an extensive range of structures using these methods for designing desired structures with excellent properties can be time-intensive. This paper formulates a machine-learning-based approach to expedite predicting effective metamaterial properties, leading to the discovery of microstructures with diverse and outstanding characteristics. The process involves constructing 2D and 3D microstructures, encompassing porous materials, solid-solid-based materials, and fluid-solid-based materials. Finite-element methods are then employed to determine the effective properties of metamaterials. Subsequently, the Random Forest (RF) algorithm is applied for training and predicting effective properties. Additionally, the Aquila Optimizer (AO) method is employed for a multiple optimization task in inverse design. The regression model generates accurate estimation with a coefficient of determination higher than 0.98, a mean absolute percentage error lower than 0.088, and a root mean square error lower than 0.03, indicating that the machine-learning-based method can accurately characterize the metamaterial properties. An optimized structure with a high Young's modulus and low thermal conductivity is designed by AO within the first 30 iterations. This approach accelerates simulating the effective properties of metamaterials and can design microstructures with multiple excellent performances. The work offers guidance to design microstructures in various practical applications such as vibration energy absorbers.

摘要

超材料具有独特的结构,展现出适用于各个领域的卓越性能。诸如实验和有限元方法(FEM)等传统方法已被广泛用于表征这些性能。然而,使用这些方法探索广泛的结构以设计具有优异性能的所需结构可能会耗费大量时间。本文提出了一种基于机器学习的方法,以加快对超材料有效性能的预测,从而发现具有多样且出色特性的微观结构。该过程包括构建二维和三维微观结构,涵盖多孔材料、基于固体 - 固体的材料以及基于流体 - 固体的材料。然后采用有限元方法来确定超材料的有效性能。随后,应用随机森林(RF)算法进行有效性能的训练和预测。此外,采用天鹰座优化器(AO)方法进行逆设计中的多重优化任务。回归模型生成的准确估计的决定系数高于0.98,平均绝对百分比误差低于0.088,均方根误差低于0.03,这表明基于机器学习的方法能够准确地表征超材料性能。AO在最初的30次迭代中设计出了具有高杨氏模量和低导热率的优化结构。这种方法加速了对超材料有效性能的模拟,并且能够设计出具有多种优异性能的微观结构。这项工作为诸如振动能量吸收器等各种实际应用中的微观结构设计提供了指导。

https://cdn.ncbi.nlm.nih.gov/pmc/blobs/507d/11278832/59bb39020854/materials-17-03512-g001.jpg

文献检索

告别复杂PubMed语法,用中文像聊天一样搜索,搜遍4000万医学文献。AI智能推荐,让科研检索更轻松。

立即免费搜索

文件翻译

保留排版,准确专业,支持PDF/Word/PPT等文件格式,支持 12+语言互译。

免费翻译文档

深度研究

AI帮你快速写综述,25分钟生成高质量综述,智能提取关键信息,辅助科研写作。

立即免费体验