Sato Ryohei, Utagawa Atsuo, Fushimi Koji, Li Feng, Isono Takuya, Tajima Kenji, Satoh Toshifumi, Sato Shin-Ichiro, Hirata Hiroshi, Kikkawa Yoshihiro, Yamamoto Takuya
Graduate School of Chemical Sciences and Engineering, Hokkaido University, Sapporo 060-8628, Japan.
Division of Applied Chemistry, Faculty of Engineering, Hokkaido University, Sapporo 060-8628, Japan.
Polymers (Basel). 2023 Jan 28;15(3):666. doi: 10.3390/polym15030666.
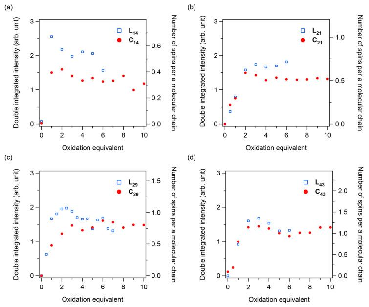
The redox behaviors of macrocyclic molecules with an entirely π-conjugated system are of interest due to their unique optical, electronic, and magnetic properties. In this study, defect-free cyclic P3HT with a degree of polymerization (DP) from 14 to 43 was synthesized based on our previously established method, and its unique redox behaviors arising from the cyclic topology were investigated. Cyclic voltammetry (CV) showed that the HOMO level of cyclic P3HT decreases from -4.86 eV (14 mer) to -4.89 eV (43 mer), in contrast to the linear counterparts increasing from -4.94 eV (14 mer) to -4.91 eV (43 mer). During the CV measurement, linear P3HT suffered from electro-oxidation at the chain ends, while cyclic P3HT was stable. ESR and UV-Vis-NIR spectroscopy suggested that cyclic P3HT has stronger dicationic properties due to the interactions between the polarons. On the other hand, linear P3HT showed characteristics of polaron pairs with multiple isolated polarons. Moreover, the dicationic properties of cyclic P3HT were more pronounced for the smaller macrocycles.
具有完全π共轭体系的大环分子的氧化还原行为因其独特的光学、电子和磁性特性而备受关注。在本研究中,基于我们先前建立的方法合成了聚合度(DP)为14至43的无缺陷环状聚(3-己基噻吩)(P3HT),并研究了其由环状拓扑结构产生的独特氧化还原行为。循环伏安法(CV)表明,环状P3HT的最高占据分子轨道(HOMO)能级从-4.86 eV(14聚体)降至-4.89 eV(43聚体),而线性P3HT的HOMO能级则从-4.94 eV(14聚体)升至-4.91 eV(43聚体)。在CV测量过程中,线性P3HT在链端发生电氧化,而环状P3HT则保持稳定。电子自旋共振(ESR)和紫外-可见-近红外光谱表明,由于极化子之间的相互作用,环状P3HT具有更强的双阳离子性质。另一方面,线性P3HT表现出具有多个孤立极化子的极化子对的特征。此外,对于较小的大环,环状P3HT的双阳离子性质更为明显。