• 文献检索
  • 文档翻译
  • 深度研究
  • 学术资讯
  • Suppr Zotero 插件Zotero 插件
  • 邀请有礼
  • 套餐&价格
  • 历史记录
应用&插件
Suppr Zotero 插件Zotero 插件浏览器插件Mac 客户端Windows 客户端微信小程序
定价
高级版会员购买积分包购买API积分包
服务
文献检索文档翻译深度研究API 文档MCP 服务
关于我们
关于 Suppr公司介绍联系我们用户协议隐私条款
关注我们

Suppr 超能文献

核心技术专利:CN118964589B侵权必究
粤ICP备2023148730 号-1Suppr @ 2026

文献检索

告别复杂PubMed语法,用中文像聊天一样搜索,搜遍4000万医学文献。AI智能推荐,让科研检索更轻松。

立即免费搜索

文件翻译

保留排版,准确专业,支持PDF/Word/PPT等文件格式,支持 12+语言互译。

免费翻译文档

深度研究

AI帮你快速写综述,25分钟生成高质量综述,智能提取关键信息,辅助科研写作。

立即免费体验

血清卵泡刺激素与黄体生成素比值可预测接受促性腺激素释放激素拮抗剂方案的女性的辅助生殖技术结局。

The serum follicle stimulating hormone-to-luteinizing hormone ratios can predict assisted reproductive technology outcomes in women undergoing gonadotropin releasing hormone antagonist protocol.

机构信息

Department of Obstetrics and Gynecology, Ruijin Hospital, Shanghai Jiao Tong University School of Medicine, Shanghai, China.

Clinical Research Center, Ruijin Hospital, Shanghai Jiao Tong University School of Medicine, Shanghai, China.

出版信息

Front Endocrinol (Lausanne). 2023 Jan 30;14:1093954. doi: 10.3389/fendo.2023.1093954. eCollection 2023.

DOI:10.3389/fendo.2023.1093954
PMID:36793280
原文链接:https://pmc.ncbi.nlm.nih.gov/articles/PMC9922742/
Abstract

BACKGROUND

The basal follicle stimulating hormone (FSH)/luteinizing hormone (LH) ratio is a useful predictor of ovarian response. In this study, we investigated whether the FSH/LH ratios during the entire controlled ovarian stimulation (COS) can be used as effective predictors of outcomes in women undergoing fertilization (IVF) treatment using the gonadotropin releasing hormone antagonist (GnRH-ant) protocol.

METHODS

A total of 1,681 women undergoing their first GnRH-ant protocol were enrolled in this retrospective cohort study. A Poisson regression model was used to analyze the association between the FSH/LH ratios during COS and embryological outcomes. Receiver operating characteristic analysis was performed to determine the optimal cutoff values for poor responders (≤ 5 oocytes) or poor reproductive potential (≤ 3 available embryos). A nomogram model was constructed to provide a tool for predicting the cycle outcomes of individual IVF treatments.

RESULTS

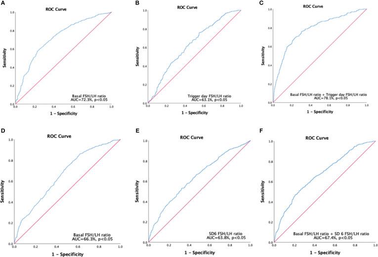
The FSH/LH ratios (at the basal day, stimulation day 6 (SD6) and trigger day) were significantly correlated with the embryological outcomes. The basal FSH/LH ratio was the most reliable predictor of poor responders with a cutoff value of 1.875 (area under the curve (AUC) = 72.3%, < 0.05), or of poor reproductive potential with a cutoff value of 2.515 (AUC = 66.3%, < 0.05). The SD6 FSH/LH ratio predicted poor reproductive potential with a cutoff value of 4.14 (AUC = 63.8%, < 0.05). The trigger day FSH/LH ratio predicted poor responders with a cutoff value of 9.665 (AUC = 63.1%, < 0.05). The basal FSH/LH ratio, combined with the SD6 and trigger day FSH/LH ratios, slightly increased these AUC values and improved the prediction sensitivity. The nomogram provides a reliable model with which to assess the risk of poor response or poor reproductive potential directly based on the combined indicators.

CONCLUSIONS

FSH/LH ratios are useful predictors of poor ovarian response or reproductive potential throughout the entire COS with the GnRH antagonist protocol. Our findings also provide insights into the potential for LH supplementation and regimen adjustment during COS to achieve improved outcomes.

摘要

背景

基础卵泡刺激素(FSH)/黄体生成素(LH)比值是预测卵巢反应的有用指标。在这项研究中,我们探讨了在使用促性腺激素释放激素拮抗剂(GnRH-ant)方案进行体外受精(IVF)治疗时,整个控制性卵巢刺激(COS)期间的 FSH/LH 比值是否可作为结局的有效预测指标。

方法

本回顾性队列研究纳入了 1681 名首次接受 GnRH-ant 方案的女性。采用泊松回归模型分析 COS 期间 FSH/LH 比值与胚胎学结局之间的关系。进行受试者工作特征(ROC)分析以确定不良反应者(≤5 个卵母细胞)或不良生殖潜能(≤3 个可利用胚胎)的最佳截断值。构建列线图模型以提供预测个体 IVF 治疗周期结局的工具。

结果

FSH/LH 比值(基础日、刺激第 6 天(SD6)和扳机日)与胚胎学结局显著相关。基础 FSH/LH 比值是预测不良反应者的最可靠指标,截断值为 1.875(曲线下面积(AUC)=72.3%,<0.05),或预测不良生殖潜能的截断值为 2.515(AUC=66.3%,<0.05)。SD6 FSH/LH 比值预测不良生殖潜能的截断值为 4.14(AUC=63.8%,<0.05)。扳机日 FSH/LH 比值预测不良反应者的截断值为 9.665(AUC=63.1%,<0.05)。基础 FSH/LH 比值与 SD6 和扳机日 FSH/LH 比值相结合,略微提高了这些 AUC 值并提高了预测敏感性。列线图提供了一个可靠的模型,可以根据联合指标直接评估不良反应或不良生殖潜能的风险。

结论

在 GnRH-ant 方案的整个 COS 期间,FSH/LH 比值是预测卵巢反应不良或生殖潜能不良的有用指标。我们的研究结果还为在 COS 期间补充 LH 和调整方案以获得更好的结局提供了新的见解。

https://cdn.ncbi.nlm.nih.gov/pmc/blobs/f4a6/9922742/11689ffe1a82/fendo-14-1093954-g003.jpg
https://cdn.ncbi.nlm.nih.gov/pmc/blobs/f4a6/9922742/ba2864791bd2/fendo-14-1093954-g001.jpg
https://cdn.ncbi.nlm.nih.gov/pmc/blobs/f4a6/9922742/74baa99550e8/fendo-14-1093954-g002.jpg
https://cdn.ncbi.nlm.nih.gov/pmc/blobs/f4a6/9922742/11689ffe1a82/fendo-14-1093954-g003.jpg
https://cdn.ncbi.nlm.nih.gov/pmc/blobs/f4a6/9922742/ba2864791bd2/fendo-14-1093954-g001.jpg
https://cdn.ncbi.nlm.nih.gov/pmc/blobs/f4a6/9922742/74baa99550e8/fendo-14-1093954-g002.jpg
https://cdn.ncbi.nlm.nih.gov/pmc/blobs/f4a6/9922742/11689ffe1a82/fendo-14-1093954-g003.jpg

相似文献

1
The serum follicle stimulating hormone-to-luteinizing hormone ratios can predict assisted reproductive technology outcomes in women undergoing gonadotropin releasing hormone antagonist protocol.血清卵泡刺激素与黄体生成素比值可预测接受促性腺激素释放激素拮抗剂方案的女性的辅助生殖技术结局。
Front Endocrinol (Lausanne). 2023 Jan 30;14:1093954. doi: 10.3389/fendo.2023.1093954. eCollection 2023.
2
Recombinant follicle-stimulating hormone and recombinant luteinizing hormone versus recombinant follicle-stimulating hormone alone during GnRH antagonist ovarian stimulation in patients aged ≥35 years: a randomized controlled trial.重组卵泡刺激素和重组促黄体生成素联合 GnRH 拮抗剂方案与单独使用重组卵泡刺激素方案在年龄≥35 岁患者卵巢刺激中的随机对照研究。
Hum Reprod. 2015 May;30(5):1188-95. doi: 10.1093/humrep/dev038. Epub 2015 Mar 3.
3
Dose Nomogram of Individualization of the Initial Follicle-Stimulating Hormone Dosage for Patients with Polycystic Ovary Syndrome Undergoing IVF/ICSI with the GnRH-Ant Protocol: A Retrospective Cohort Study.个体化起始促卵泡激素剂量在 GnRH 拮抗剂方案 IVF/ICSI 中治疗多囊卵巢综合征患者中的剂量列线图:一项回顾性队列研究。
Adv Ther. 2023 Sep;40(9):3971-3985. doi: 10.1007/s12325-023-02582-2. Epub 2023 Jul 3.
4
The serum follicle-stimulating hormone-to-luteinizing hormone ratio at the start of stimulation with gonadotropins after pituitary down-regulation is inversely correlated with a mature oocyte yield and can predict "low responders".垂体降调节后使用促性腺激素开始刺激时的血清卵泡刺激素与黄体生成素比值与成熟卵母细胞产量呈负相关,且可预测“低反应者”。
Fertil Steril. 2005 Apr;83(4):883-8. doi: 10.1016/j.fertnstert.2004.10.040.
5
Prognostic models for high and low ovarian responses in controlled ovarian stimulation using a GnRH antagonist protocol.使用GnRH拮抗剂方案进行控制性卵巢刺激时高、低卵巢反应的预后模型。
Hum Reprod. 2014 Aug;29(8):1688-97. doi: 10.1093/humrep/deu090. Epub 2014 Jun 5.
6
The usefulness of peri-trigger female reproductive hormones (delta-FRH) in predicting oocyte maturation in normal ovarian reserve patients who received fertilization-embryo transfer: a retrospective study.在接受受精-胚胎移植的正常卵巢储备患者中,预测卵母细胞成熟的围触发期女性生殖激素(δ-FRH)的有用性:一项回顾性研究。
PeerJ. 2024 Jul 11;12:e17706. doi: 10.7717/peerj.17706. eCollection 2024.
7
Long GnRH-agonist protocol in an IVF program. Is it appropriate for women with normal FSH levels and high FSH/LH ratios?体外受精程序中的长效促性腺激素释放激素激动剂方案。它适用于促卵泡生成素水平正常但促卵泡生成素/促黄体生成素比值较高的女性吗?
J Reprod Med. 1997 Oct;42(10):663-8.
8
Recombinant LH supplementation to a standard GnRH antagonist protocol in women of 35 years or older undergoing IVF/ICSI: a randomized controlled multicentre study.35 岁及以上接受 IVF/ICSI 的女性中,重组 LH 补充到标准 GnRH 拮抗剂方案中:一项随机对照多中心研究。
Hum Reprod. 2013 Oct;28(10):2804-12. doi: 10.1093/humrep/det266. Epub 2013 Jul 9.
9
Serum luteinizing hormone, follicle-stimulating hormone and oestradiol pattern in women undergoing pituitary suppression with different gonadotrophin-releasing hormone analogue protocols for assisted reproduction.接受不同促性腺激素释放激素类似物方案垂体抑制的女性进行辅助生殖时的血清促黄体生成素、促卵泡生成素和雌二醇模式
Gynecol Endocrinol. 2005 Apr;20(4):188-94. doi: 10.1080/09513590400027141.
10
Predicting suboptimal oocyte yield following GnRH agonist trigger by measuring serum LH at the start of ovarian stimulation.通过在卵巢刺激开始时测量血清 LH 预测 GnRH 激动剂触发后卵母细胞产量不佳。
Hum Reprod. 2019 Oct 2;34(10):2027-2035. doi: 10.1093/humrep/dez132.

引用本文的文献

1
Ovarian response determines the luteinizing hormone suppression threshold for patients following the gonadotrophin releasing hormone antagonist protocol: A retrospective cohort study.卵巢反应决定了接受促性腺激素释放激素拮抗剂方案治疗的患者的促黄体生成素抑制阈值:一项回顾性队列研究。
Heliyon. 2023 Dec 20;10(1):e23933. doi: 10.1016/j.heliyon.2023.e23933. eCollection 2024 Jan 15.

本文引用的文献

1
GnRH Antagonist Protocol With Cessation of Cetrorelix on Trigger Day Improves Embryological Outcomes for Patients With Sufficient Ovarian Reserve.在扳机日停止使用西曲瑞克的 GnRH 拮抗剂方案可改善卵巢储备充足患者的胚胎学结局。
Front Endocrinol (Lausanne). 2021 Oct 14;12:758896. doi: 10.3389/fendo.2021.758896. eCollection 2021.
2
Blastocyst morphology is associated with the incidence of monozygotic twinning in assisted reproductive technology.囊胚形态与辅助生殖技术中单卵孪生的发生率有关。
Am J Obstet Gynecol. 2021 Dec;225(6):654.e1-654.e16. doi: 10.1016/j.ajog.2021.06.101. Epub 2021 Jul 7.
3
The Relationship Between Serum Delta FSH Level and Ovarian Response in IVF/ICSI Cycles.
血清 Delta FSH 水平与 IVF/ICSI 周期中卵巢反应的关系。
Front Endocrinol (Lausanne). 2020 Nov 5;11:536100. doi: 10.3389/fendo.2020.536100. eCollection 2020.
4
A Novel Mutation in the FSH Receptor (I423T) Affecting Receptor Activation and Leading to Primary Ovarian Failure.一种新型 FSH 受体(I423T)突变影响受体激活并导致原发性卵巢功能衰竭。
J Clin Endocrinol Metab. 2021 Jan 23;106(2):e534-e550. doi: 10.1210/clinem/dgaa782.
5
Follicle Stimulating Hormone Receptor (FSHR) Polymorphisms and Polycystic Ovary Syndrome (PCOS).促卵泡生成素受体(FSHR)多态性与多囊卵巢综合征(PCOS)
Front Endocrinol (Lausanne). 2019 Feb 12;10:23. doi: 10.3389/fendo.2019.00023. eCollection 2019.
6
FSH Actions and Pregnancy: Looking Beyond Ovarian FSH Receptors.FSH 的作用与妊娠:超越卵巢 FSH 受体的视角。
Endocrinology. 2018 Dec 1;159(12):4033-4042. doi: 10.1210/en.2018-00497.
7
Elevated basal luteinizing hormone does not impair the outcome of human menopausal gonadotropin and medroxyprogesterone acetate treatment cycles.基础黄体生成素升高并不影响人绝经期促性腺激素和醋酸甲羟孕酮治疗周期的结局。
Sci Rep. 2018 Sep 14;8(1):13835. doi: 10.1038/s41598-018-32128-4.
8
Individualised gonadotropin dose selection using markers of ovarian reserve for women undergoing in vitro fertilisation plus intracytoplasmic sperm injection (IVF/ICSI).针对接受体外受精加卵胞浆内单精子注射(IVF/ICSI)的女性,使用卵巢储备标志物进行个性化促性腺激素剂量选择。
Cochrane Database Syst Rev. 2018 Feb 1;2(2):CD012693. doi: 10.1002/14651858.CD012693.pub2.
9
Evaluation of different ranges of LH:FSH ratios in polycystic ovarian syndrome (PCOS) - Clinical based case control study.多囊卵巢综合征(PCOS)中不同促黄体生成素与促卵泡生成素比值范围的评估——基于临床的病例对照研究。
Gen Comp Endocrinol. 2018 May 1;260:51-57. doi: 10.1016/j.ygcen.2017.12.007. Epub 2017 Dec 19.
10
Recombinant luteinizing hormone (rLH) and recombinant follicle stimulating hormone (rFSH) for ovarian stimulation in IVF/ICSI cycles.重组促黄体生成素(rLH)和重组促卵泡生成素(rFSH)用于体外受精/卵胞浆内单精子注射周期中的卵巢刺激。
Cochrane Database Syst Rev. 2017 May 24;5(5):CD005070. doi: 10.1002/14651858.CD005070.pub3.