Suppr超能文献

慢性乙型肝炎患者间断干扰素治疗后自然杀伤细胞表型的变化。

Changes of natural killer cells' phenotype in patients with chronic hepatitis B in intermittent interferon therapy.

机构信息

Department of Hepatology Division 2, Beijing Ditan Hospital, Capital Medical University, Beijing, China.

Division of Hepatology, Hepato-Pancreato-Biliary Center, Beijing Tsinghua Changgung Hospital, School of Clinical Medicine, Tsinghua University, Beijing, China.

出版信息

Front Immunol. 2023 Jan 30;14:1116689. doi: 10.3389/fimmu.2023.1116689. eCollection 2023.

Abstract

BACKGROUND

To investigate the changes of natural killer (NK) cell phenotype in the interferon alpha (IFN-α) treatment of chronic hepatitis B (CHB) and its relationship with clinical indicators.

METHODS

The CHB patients who did not receive any antiviral treatment were set as initial treatment group and used pegylated interferon alpha (PEG-IFN α). Peripheral blood samples were collected at baseline, 4 weeks, and 12-24 weeks. For IFN-treated patients who entered the plateau were set as plateau group, and PEG-IFN α was discontinued and resumed after an interval of 12-24 weeks. Besides, we also enrolled some patients who had received oral drug for more than 6 months as oral drug group without follow up. Peripheral blood was collected during the plateau period, which was set as baseline, and after 12-24 weeks of intermittent treatment, and after 12-24 weeks of additional treatment with PEG-IFN α. The aim of the collection was to detect hepatitis B virus (HBV) virology, serology and biochemical indicators, and the NK cell related phenotype was detected by flow cytometry.

RESULTS

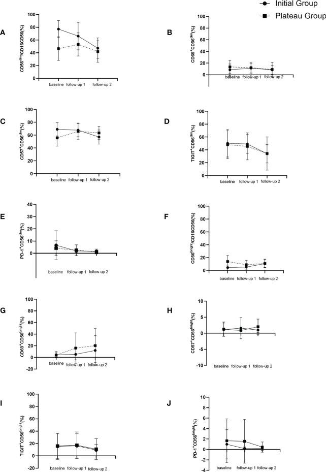
In the plateau group, subgroup of CD69CD56 was higher with statistical significance when comparing with the initial treatment group and oral drug group [10.49 (5.27, 19.07) vs 5.03 (3.67, 8.58), Z = -3.11, = 0.002; 10.49 (5.27, 19.07) vs 4.04 (1.90, 7.26), Z = -5.30, < 0.001)]. CD57CD56 was significantly lower than that in initial treatment group and oral drug group respectively [68.42±10.37 vs 55.85±12.87, t = 5.84, < 0.001; 76.38±9.49 vs 55.85±12.87, t = -9.65, < 0.001]. The CD56CD16 subgroup in the plateau group was higher with statistical significance compared with initial treatment group and oral drug group respectively [11.64 (6.05, 19.61) vs 3.58 (1.94, 5.60), Z = -6.35, < 0.001; 11.64 (6.05, 19.61) vs 2.37 (1.70, 4.30), Z = -7.74, < 0.001)]. CD57CD56 in the plateau group had a significant higher percentage than that at baseline after IFN discontinuation for 12-24 weeks (55.85±12.87 vs 65.95±12.94, t = -2.78, = 0.011).

CONCLUSION

During the long-term treatment of IFN, the killer subgroup of NK cells is continuously depleted, leading to the differentiation of the regulatory subgroup into the killer subgroup. In the killing subgroup, although the number is continuously depleted, the activity of the subgroup is continuously increased. In the plateau phase, after stopping IFN for a period of time, the number of NK cell subsets would gradually recover, but was still lower than that in the initial treatment group.

摘要

背景

研究干扰素α(IFN-α)治疗慢性乙型肝炎(CHB)时自然杀伤(NK)细胞表型的变化及其与临床指标的关系。

方法

未接受任何抗病毒治疗的 CHB 患者设为初始治疗组,采用聚乙二醇干扰素α(PEG-IFN α)治疗。基线、4 周和 12-24 周采集外周血样本。对于进入平台期的 IFN 治疗患者设为平台期组,停药并在 12-24 周后恢复。此外,我们还招募了一些已接受口服药物治疗超过 6 个月的患者作为口服药物组,无随访。平台期采集外周血,设为基线,间歇性治疗后 12-24 周,以及 PEG-IFN α 额外治疗后 12-24 周。收集目的是检测乙型肝炎病毒(HBV)病毒学、血清学和生化指标,并通过流式细胞术检测 NK 细胞相关表型。

结果

平台期组与初始治疗组和口服药物组相比,CD69CD56 亚群较高,差异有统计学意义[10.49(5.27,19.07)比 5.03(3.67,8.58),Z=-3.11, =0.002;10.49(5.27,19.07)比 4.04(1.90,7.26),Z=-5.30, <0.001]。CD57CD56 明显低于初始治疗组和口服药物组,差异有统计学意义[68.42±10.37 比 55.85±12.87,t=5.84, <0.001;76.38±9.49 比 55.85±12.87,t=-9.65, <0.001]。平台期组 CD56CD16 亚群明显高于初始治疗组和口服药物组,差异有统计学意义[11.64(6.05,19.61)比 3.58(1.94,5.60),Z=-6.35, <0.001;11.64(6.05,19.61)比 2.37(1.70,4.30),Z=-7.74, <0.001]。平台期 IFN 停药 12-24 周后,CD57CD56 百分比明显高于基线[55.85±12.87 比 65.95±12.94,t=-2.78, =0.011]。

结论

在 IFN 的长期治疗中,NK 细胞杀伤亚群不断耗竭,导致调节亚群向杀伤亚群分化。在杀伤亚群中,虽然数量不断减少,但亚群的活性不断增加。在平台期,IFN 停药一段时间后,NK 细胞亚群的数量会逐渐恢复,但仍低于初始治疗组。

https://cdn.ncbi.nlm.nih.gov/pmc/blobs/fe5a/9922744/4cb9582efa3b/fimmu-14-1116689-g001.jpg

文献检索

告别复杂PubMed语法,用中文像聊天一样搜索,搜遍4000万医学文献。AI智能推荐,让科研检索更轻松。

立即免费搜索

文件翻译

保留排版,准确专业,支持PDF/Word/PPT等文件格式,支持 12+语言互译。

免费翻译文档

深度研究

AI帮你快速写综述,25分钟生成高质量综述,智能提取关键信息,辅助科研写作。

立即免费体验