• 文献检索
  • 文档翻译
  • 深度研究
  • 学术资讯
  • Suppr Zotero 插件Zotero 插件
  • 邀请有礼
  • 套餐&价格
  • 历史记录
应用&插件
Suppr Zotero 插件Zotero 插件浏览器插件Mac 客户端Windows 客户端微信小程序
定价
高级版会员购买积分包购买API积分包
服务
文献检索文档翻译深度研究API 文档MCP 服务
关于我们
关于 Suppr公司介绍联系我们用户协议隐私条款
关注我们

Suppr 超能文献

核心技术专利:CN118964589B侵权必究
粤ICP备2023148730 号-1Suppr @ 2026

文献检索

告别复杂PubMed语法,用中文像聊天一样搜索,搜遍4000万医学文献。AI智能推荐,让科研检索更轻松。

立即免费搜索

文件翻译

保留排版,准确专业,支持PDF/Word/PPT等文件格式,支持 12+语言互译。

免费翻译文档

深度研究

AI帮你快速写综述,25分钟生成高质量综述,智能提取关键信息,辅助科研写作。

立即免费体验

CD8+ T 细胞和 PD-L1 表达作为 HPV 相关口咽鳞状细胞癌低发生率的预后指标。

CD8+ T Cells and PD-L1 Expression as Prognostic Indicators in a Low Prevalence of HPV-Associated Oropharyngeal Squamous Cell Carcinoma.

机构信息

Department of Otorhinolaryngology, Faculty of Medicine Siriraj Hospital, Mahidol University, Bangkok 10700, Thailand.

Department of Pathology, Faculty of Medicine Siriraj Hospital, Mahidol University, Bangkok 10700, Thailand.

出版信息

Curr Oncol. 2023 Jan 20;30(2):1450-1460. doi: 10.3390/curroncol30020111.

DOI:10.3390/curroncol30020111
PMID:36826072
原文链接:https://pmc.ncbi.nlm.nih.gov/articles/PMC9954851/
Abstract

UNLABELLED

Human papillomavirus (HPV) infection detected in oropharyngeal squamous cell carcinoma (OPSCC) is associated with a better survival outcome from previous literature. However, Thailand and several Asian countries have a low prevalence of HPV-associated OPSCC and, therefore, have a low positive rate of immunostaining with p16. Tumor microenvironments (TME), including tumor-infiltrating CD8+ lymphocytes (CD8+ TIL) and programmed death ligand 1 (PD-L1), are proposed as significant prognostic indicators in addition to p16.

OBJECTIVES

Explore the expression p16, CD8+ TIL, and PD-L1 and its value as prognostic indicators for overall survival (OS) in patients with OPSCC.

MATERIALS AND METHODS

Data from patients with OPSCC diagnosed from 2012 to 2018 were recovered from medical records and national registry. All available glass slides and slides of immunohistochemistry (IHC) of p16, CD8, and PD-L1 were reviewed. The TME was classified into four types according to the expression pattern of PD-L1 and CD8+TIL. Overall survival (OS) was assessed using the Kaplan-Meier method and Cox regression model analysis.

RESULTS

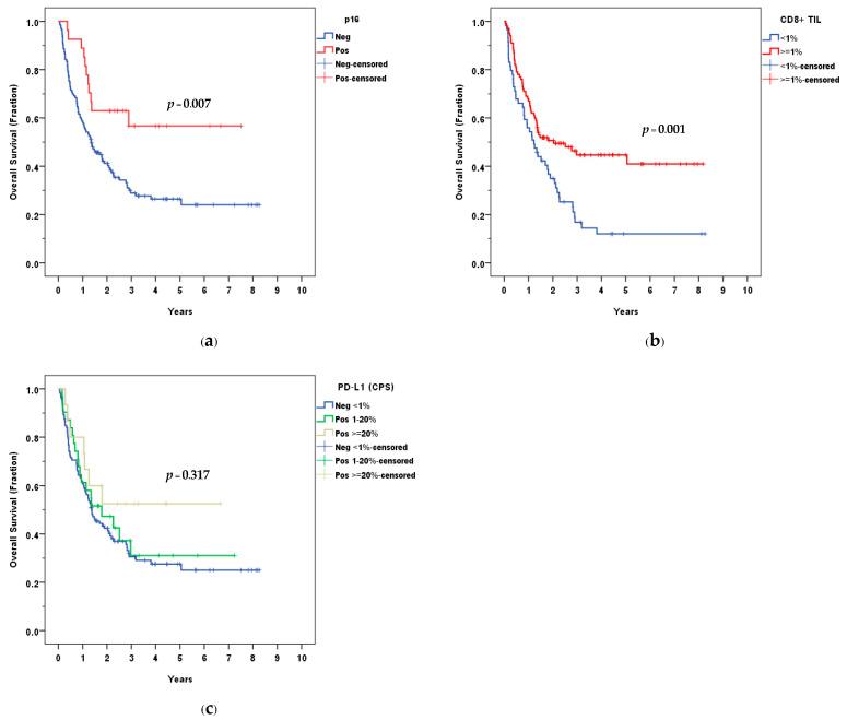
In 160 OPSCC patients, p16 was positive in 27 (16.88%). The density of CD8+ TIL was higher in the p16+ and PD-L1+ groups ( = 0.005, 0.039); however, there was no association between p16 and the status of PD-L1. P16 and CD8+ TIL were significant prognostic factors for better OS ( = 0.007, 0.001), but not PD-L1 status ( = 0.317). Among the four types of TME, carcinoma showed mainly type IV TME (PD-L1-/TIL+), while OPSCCs with type I TME (PD-L1+/TIL+) had the best survival outcome.

CONCLUSIONS

The positivity of p16 and the density of CD8+ TIL were associated with better OS in OPSCC, while the status of PD-L1 was not significantly related to OS. OPSCC with type I TME (PD-L1+/TIL+) showed the best prognosis of all types of TME.

摘要

目的

探讨人乳头瘤病毒(HPV)感染与口腔鳞状细胞癌(OPSCC)患者总生存(OS)的相关性。

方法

从病历和国家登记处获取 2012 年至 2018 年 OPSCC 患者的数据。回顾所有可用的玻璃切片和 HPV16、CD8 和 PD-L1 的免疫组化(IHC)切片。根据 PD-L1 和 CD8+TIL 的表达模式,将 TME 分为四型。采用 Kaplan-Meier 法和 Cox 回归模型分析评估总生存(OS)。

结果

在 160 例 OPSCC 患者中,p16 阳性率为 16.88%(27/160)。p16+和 PD-L1+组 CD8+TIL 密度较高(=0.005,0.039);然而,p16 与 PD-L1 状态之间无相关性。p16 和 CD8+TIL 是 OS 更好的显著预后因素(=0.007,0.001),但 PD-L1 状态不是(=0.317)。四种 TME 类型中,癌主要表现为 IV 型 TME(PD-L1-/TIL+),而具有 I 型 TME(PD-L1+/TIL+)的 OPSCC 患者具有最佳的生存结局。

结论

p16 阳性和 CD8+TIL 密度与 OPSCC 的 OS 相关,而 PD-L1 状态与 OS 无显著相关性。所有 TME 类型中,I 型 TME(PD-L1+/TIL+)的 OPSCC 患者预后最佳。

https://cdn.ncbi.nlm.nih.gov/pmc/blobs/31b0/9954851/f9d06f7b4da2/curroncol-30-00111-g005.jpg
https://cdn.ncbi.nlm.nih.gov/pmc/blobs/31b0/9954851/53f2fee9043d/curroncol-30-00111-g0A1.jpg
https://cdn.ncbi.nlm.nih.gov/pmc/blobs/31b0/9954851/94474c4f99df/curroncol-30-00111-g001.jpg
https://cdn.ncbi.nlm.nih.gov/pmc/blobs/31b0/9954851/be117a7a8264/curroncol-30-00111-g002.jpg
https://cdn.ncbi.nlm.nih.gov/pmc/blobs/31b0/9954851/3107c4cfab45/curroncol-30-00111-g003.jpg
https://cdn.ncbi.nlm.nih.gov/pmc/blobs/31b0/9954851/cb54ada8b642/curroncol-30-00111-g004.jpg
https://cdn.ncbi.nlm.nih.gov/pmc/blobs/31b0/9954851/f9d06f7b4da2/curroncol-30-00111-g005.jpg
https://cdn.ncbi.nlm.nih.gov/pmc/blobs/31b0/9954851/53f2fee9043d/curroncol-30-00111-g0A1.jpg
https://cdn.ncbi.nlm.nih.gov/pmc/blobs/31b0/9954851/94474c4f99df/curroncol-30-00111-g001.jpg
https://cdn.ncbi.nlm.nih.gov/pmc/blobs/31b0/9954851/be117a7a8264/curroncol-30-00111-g002.jpg
https://cdn.ncbi.nlm.nih.gov/pmc/blobs/31b0/9954851/3107c4cfab45/curroncol-30-00111-g003.jpg
https://cdn.ncbi.nlm.nih.gov/pmc/blobs/31b0/9954851/cb54ada8b642/curroncol-30-00111-g004.jpg
https://cdn.ncbi.nlm.nih.gov/pmc/blobs/31b0/9954851/f9d06f7b4da2/curroncol-30-00111-g005.jpg

相似文献

1
CD8+ T Cells and PD-L1 Expression as Prognostic Indicators in a Low Prevalence of HPV-Associated Oropharyngeal Squamous Cell Carcinoma.CD8+ T 细胞和 PD-L1 表达作为 HPV 相关口咽鳞状细胞癌低发生率的预后指标。
Curr Oncol. 2023 Jan 20;30(2):1450-1460. doi: 10.3390/curroncol30020111.
2
Correlation of immune makers with HPV 16 infections and the prognosis in oropharyngeal squamous cell carcinoma.免疫标志物与 HPV16 感染及口咽鳞状细胞癌预后的相关性。
Clin Oral Investig. 2023 Apr;27(4):1423-1433. doi: 10.1007/s00784-023-04926-2. Epub 2023 Mar 8.
3
The tumor immune microenvironment and its implications for clinical outcome in patients with oropharyngeal squamous cell carcinoma.口咽鳞状细胞癌患者的肿瘤免疫微环境及其对临床结局的影响。
J Oral Pathol Med. 2020 Oct;49(9):886-896. doi: 10.1111/jop.13055. Epub 2020 Jul 2.
4
Tumor-infiltrating B cells affect the progression of oropharyngeal squamous cell carcinoma via cell-to-cell interactions with CD8 T cells.肿瘤浸润 B 细胞通过与 CD8 T 细胞的细胞间相互作用影响口咽鳞状细胞癌的进展。
J Immunother Cancer. 2019 Oct 17;7(1):261. doi: 10.1186/s40425-019-0726-6.
5
Prognostic impact of p16 and PD-L1 expression in patients with oropharyngeal squamous cell carcinoma receiving a definitive treatment.p16 和 PD-L1 表达对接受确定性治疗的口咽鳞状细胞癌患者的预后影响。
J Clin Pathol. 2019 Aug;72(8):542-549. doi: 10.1136/jclinpath-2019-205818. Epub 2019 May 21.
6
PD-L1 Expression and a High Tumor Infiltrate of CD8+ Lymphocytes Predict Outcome in Patients with Oropharyngeal Squamous Cells Carcinoma.PD-L1 表达和 CD8+ 淋巴细胞的高肿瘤浸润可预测口咽鳞状细胞癌患者的结局。
Int J Mol Sci. 2020 Jul 23;21(15):5228. doi: 10.3390/ijms21155228.
7
Characteristics and impact of programmed death-ligand 1 expression, CD8+ tumor-infiltrating lymphocytes, and p16 status in head and neck squamous cell carcinoma.头颈部鳞状细胞癌中程序性死亡配体 1 表达、CD8+肿瘤浸润淋巴细胞和 p16 状态的特征和影响。
Med Oncol. 2019 Jan 21;36(2):21. doi: 10.1007/s12032-018-1241-1.
8
Extracapsular extension of neck nodes and absence of human papillomavirus 16-DNA are predictors of impaired survival in p16-positive oropharyngeal squamous cell carcinoma.颈部淋巴结外囊扩展和人乳头瘤病毒 16-DNA 缺失是 p16 阳性口咽鳞癌生存受损的预测因素。
Cancer. 2020 Jan 1;126(9):1856-1872. doi: 10.1002/cncr.32667. Epub 2020 Feb 7.
9
Analysis of Immunological Characteristics and Genomic Alterations in HPV-Positive Oropharyngeal Squamous Cell Carcinoma Based on PD-L1 Expression.基于 PD-L1 表达分析 HPV 阳性口咽鳞状细胞癌的免疫特征和基因组改变。
Front Immunol. 2022 Jan 25;12:798424. doi: 10.3389/fimmu.2021.798424. eCollection 2021.
10
PD-L1 expression correlates with tumor-infiltrating lymphocytes and better prognosis in patients with HPV-negative head and neck squamous cell carcinomas.PD-L1 表达与 HPV 阴性头颈部鳞状细胞癌患者的肿瘤浸润淋巴细胞及预后相关。
Cancer Immunol Immunother. 2020 Oct;69(10):2089-2100. doi: 10.1007/s00262-020-02604-w. Epub 2020 May 24.

引用本文的文献

1
PD-L1 immunohistochemical expression considering HPV status in oropharyngeal squamous cell carcinoma.口咽鳞状细胞癌中考虑HPV状态的PD-L1免疫组化表达
Braz Oral Res. 2024 Sep 30;38:e095. doi: 10.1590/1807-3107bor-2024.vol38.0095. eCollection 2024.
2
Histologic and Genomic Analysis of Conjunctival SCC in African and American Cohorts Reveal UV Light and HPV Signatures and High Tumor Mutation Burden.对非裔和美国人群的结膜 SCC 的组织学和基因组分析揭示了 UV 光和 HPV 特征以及高肿瘤突变负担。
Invest Ophthalmol Vis Sci. 2024 Apr 1;65(4):24. doi: 10.1167/iovs.65.4.24.
3
Implications of oral dysbiosis and HPV infection in head and neck cancer: from molecular and cellular mechanisms to early diagnosis and therapy.

本文引用的文献

1
Induction chemoimmunotherapy followed by CD8+ immune cell-based patient selection for chemotherapy-free radioimmunotherapy in locally advanced head and neck cancer.诱导化疗免疫治疗后,基于 CD8+免疫细胞选择,对局部晚期头颈部癌症进行无化疗放射免疫治疗。
J Immunother Cancer. 2022 Jan;10(1). doi: 10.1136/jitc-2021-003747.
2
Prognostic role of programmed cell death ligand-1 expression in head and neck cancer treated with programmed cell death protein-1/programmed cell death ligand-1 inhibitors: A meta-analysis based on clinical trials.程序性细胞死亡配体 1 表达在接受程序性细胞死亡蛋白 1/程序性细胞死亡配体 1 抑制剂治疗的头颈部癌症中的预后作用:基于临床试验的荟萃分析。
J Cancer Res Ther. 2021 Jul;17(3):676-687. doi: 10.4103/jcrt.JCRT_1606_20.
3
口腔微生物群失调和人乳头瘤病毒感染在头颈癌中的影响:从分子和细胞机制到早期诊断与治疗
Front Oncol. 2023 Dec 18;13:1273516. doi: 10.3389/fonc.2023.1273516. eCollection 2023.
4
Prognostic Relevance of Tumor-Infiltrating Immune Cells in Cervix Squamous Cell Carcinoma.宫颈鳞状细胞癌中肿瘤浸润免疫细胞的预后相关性
Cancers (Basel). 2023 Oct 12;15(20):4952. doi: 10.3390/cancers15204952.
Discrepancy in p16 expression in patients with HPV-associated head and neck squamous cell carcinoma in Thailand: clinical characteristics and survival outcomes.
泰国 HPV 相关头颈部鳞状细胞癌患者中 p16 表达的差异:临床特征和生存结局。
BMC Cancer. 2021 May 6;21(1):504. doi: 10.1186/s12885-021-08213-9.
4
The Tumor Microenvironment and Immunotherapy of Oropharyngeal Squamous Cell Carcinoma.口咽鳞状细胞癌的肿瘤微环境与免疫治疗
Front Oncol. 2020 Dec 21;10:545385. doi: 10.3389/fonc.2020.545385. eCollection 2020.
5
Regulation of PD-L1 expression in the tumor microenvironment.肿瘤微环境中 PD-L1 表达的调控。
J Hematol Oncol. 2021 Jan 7;14(1):10. doi: 10.1186/s13045-020-01027-5.
6
Cytotoxic CD8 T cells in cancer and cancer immunotherapy.癌症与癌症免疫治疗中的细胞毒性 CD8 T 细胞。
Br J Cancer. 2021 Jan;124(2):359-367. doi: 10.1038/s41416-020-01048-4. Epub 2020 Sep 15.
7
PD-L1 expression correlates with tumor-infiltrating lymphocytes and better prognosis in patients with HPV-negative head and neck squamous cell carcinomas.PD-L1 表达与 HPV 阴性头颈部鳞状细胞癌患者的肿瘤浸润淋巴细胞及预后相关。
Cancer Immunol Immunother. 2020 Oct;69(10):2089-2100. doi: 10.1007/s00262-020-02604-w. Epub 2020 May 24.
8
HPV Involvement in the Tumor Microenvironment and Immune Treatment in Head and Neck Squamous Cell Carcinomas.人乳头瘤病毒在头颈部鳞状细胞癌肿瘤微环境中的作用及免疫治疗
Cancers (Basel). 2020 Apr 25;12(5):1060. doi: 10.3390/cancers12051060.
9
The different role of PD-L1 in head and neck squamous cell carcinomas: A meta-analysis.程序性死亡受体配体1(PD-L1)在头颈部鳞状细胞癌中的不同作用:一项荟萃分析。
Pathol Res Pract. 2020 Jan;216(1):152768. doi: 10.1016/j.prp.2019.152768. Epub 2019 Nov 28.
10
Low prevalence of p16-positive HPV-related head-neck cancers in Thailand: tertiary referral center experience.泰国 p16 阳性 HPV 相关头颈部癌症的低流行率:三级转诊中心经验。
BMC Cancer. 2019 Nov 6;19(1):1050. doi: 10.1186/s12885-019-6266-0.