• 文献检索
  • 文档翻译
  • 深度研究
  • 学术资讯
  • Suppr Zotero 插件Zotero 插件
  • 邀请有礼
  • 套餐&价格
  • 历史记录
应用&插件
Suppr Zotero 插件Zotero 插件浏览器插件Mac 客户端Windows 客户端微信小程序
定价
高级版会员购买积分包购买API积分包
服务
文献检索文档翻译深度研究API 文档MCP 服务
关于我们
关于 Suppr公司介绍联系我们用户协议隐私条款
关注我们

Suppr 超能文献

核心技术专利:CN118964589B侵权必究
粤ICP备2023148730 号-1Suppr @ 2026

文献检索

告别复杂PubMed语法,用中文像聊天一样搜索,搜遍4000万医学文献。AI智能推荐,让科研检索更轻松。

立即免费搜索

文件翻译

保留排版,准确专业,支持PDF/Word/PPT等文件格式,支持 12+语言互译。

免费翻译文档

深度研究

AI帮你快速写综述,25分钟生成高质量综述,智能提取关键信息,辅助科研写作。

立即免费体验

miRNA-221 和 miRNA-34a 在头颈部非黑素瘤皮肤癌中的作用。

The Role of miRNA-221 and miRNA-34a in Non-Melanoma Skin Cancer of the Head and Neck Region.

机构信息

Department of Maxillofacial Surgery and Implantology, Faculty of Dentistry, "Iuliu Hațieganu" University of Medicine and Pharmacy, 400012 Cluj-Napoca, Romania.

Research Center for Functional Genomics, Biomedicine and Translational Medicine, "Iuliu Hațieganu" University of Medicine and Pharmacy, 400012 Cluj-Napoca, Romania.

出版信息

Genes (Basel). 2023 Feb 16;14(2):503. doi: 10.3390/genes14020503.

DOI:10.3390/genes14020503
PMID:36833430
原文链接:https://pmc.ncbi.nlm.nih.gov/articles/PMC9956318/
Abstract

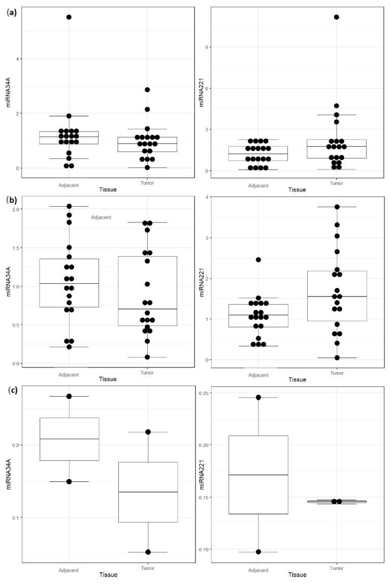
Non-melanoma skin cancer (NMSC) is one of the most frequent types of malignancy in the human body with an increasing incidence. Short, non-coding RNA molecules called microRNAs (miRNAs) can control post-transcriptional gene expression and they have a significant role in several physiological cellular processes and pathologies, including cancer. Depending on the functions of the genes, miRNAs may function as oncogenes or tumor suppressors. The aim of this paper was to describe the role of miRNA-34a and miRNA-221 in head and neck NMSC. Thirty-eight NMSC match paired (tumor and adjacent) tissue samples were evaluated by qRT-PCR. Total RNA was extracted and isolated from tissue samples using the phenol-chloroform (Trireagent) method according to the manufacturer's protocol. The concentration of RNA was measured by a NanoDrop-1000 spectrophotometer. The expression level of each miRNA was calculated by threshold cycle. For all statistical tests, the 0.05 significance level was used and two-tailed p values. All analyses were conducted in an R environment for statistical computing and graphics. We found the miRNA-221 being overexpressed in squamous cell carcinoma (SCC) ( < 0.05), basal cell carcinoma (BCC) and basosquamous cell carcinoma (BSC) compared with adjacent normal tissue. Additionally, the levels of miRNA-221 were two times higher ( < 0.05) in cases where the excision of the tumor was done with positive margins (R1), which means that we are the first to highlight the potential role of miRNA-221 in the microscopical local invasion. Mi-RNA-34a expression was altered in the malignant tissue compared with the adjacent normal one both in BCC and SCC but not statistically significantly. In conclusion, NMSC are challenging because of their increasing incidence and rapidly evolving development and discovering their molecular mechanisms of action lead us to understand tumorigenesis and evolution, while also contributing to the implementation of novel therapeutic keys.

摘要

非黑色素瘤皮肤癌(NMSC)是人体中最常见的恶性肿瘤之一,发病率不断上升。短的非编码 RNA 分子称为 microRNA(miRNA),可以控制转录后基因表达,它们在许多生理细胞过程和病理学中,包括癌症中发挥着重要作用。根据基因的功能,miRNA 可以作为癌基因或肿瘤抑制因子。本文旨在描述 miRNA-34a 和 miRNA-221 在头颈部 NMSC 中的作用。通过 qRT-PCR 评估了 38 例 NMSC 配对(肿瘤和相邻)组织样本。根据制造商的方案,使用苯酚-氯仿(Trireagent)方法从组织样品中提取和分离总 RNA。通过 NanoDrop-1000 分光光度计测量 RNA 的浓度。通过阈值循环计算每个 miRNA 的表达水平。对于所有统计检验,使用 0.05 显著性水平和双尾 p 值。所有分析均在用于统计计算和图形的 R 环境中进行。我们发现 miRNA-221 在鳞状细胞癌(SCC)中过度表达(<0.05),与相邻正常组织相比,基底细胞癌(BCC)和基底鳞状细胞癌(BSC)。此外,当肿瘤切除边缘阳性(R1)时,miRNA-221 的水平高两倍(<0.05),这意味着我们首次强调了 miRNA-221 在显微镜下局部侵袭中的潜在作用。与相邻正常组织相比,miR-NA-34a 在恶性组织中的表达在 BCC 和 SCC 中均发生改变,但无统计学意义。总之,NMSC 具有挑战性,因为它们的发病率不断上升,发展迅速,发现其作用的分子机制使我们能够了解肿瘤发生和演变,同时也有助于实施新的治疗关键。

https://cdn.ncbi.nlm.nih.gov/pmc/blobs/837f/9956318/c3da4a1558b8/genes-14-00503-g001.jpg
https://cdn.ncbi.nlm.nih.gov/pmc/blobs/837f/9956318/c3da4a1558b8/genes-14-00503-g001.jpg
https://cdn.ncbi.nlm.nih.gov/pmc/blobs/837f/9956318/c3da4a1558b8/genes-14-00503-g001.jpg

相似文献

1
The Role of miRNA-221 and miRNA-34a in Non-Melanoma Skin Cancer of the Head and Neck Region.miRNA-221 和 miRNA-34a 在头颈部非黑素瘤皮肤癌中的作用。
Genes (Basel). 2023 Feb 16;14(2):503. doi: 10.3390/genes14020503.
2
Is miRNA Regulation the Key to Controlling Non-Melanoma Skin Cancer Evolution?miRNA 调控是否是控制非黑素瘤皮肤癌演进的关键?
Genes (Basel). 2021 Nov 29;12(12):1929. doi: 10.3390/genes12121929.
3
UV-Induced Molecular Signaling Differences in Melanoma and Non-melanoma Skin Cancer.紫外线诱导的黑色素瘤和非黑色素瘤皮肤癌中的分子信号差异
Adv Exp Med Biol. 2017;996:27-40. doi: 10.1007/978-3-319-56017-5_3.
4
Basosquamous cell carcinoma: a survey of 76 patients and a comparative analysis of basal cell carcinomas and squamous cell carcinomas.基底鳞状细胞癌:76 例患者的调查及基底细胞癌和鳞状细胞癌的对比分析。
Eur J Dermatol. 2013 Jan-Feb;23(1):83-6. doi: 10.1684/ejd.2012.1890.
5
miRNA expression profiles of premalignant and malignant arsenic-induced skin lesions.砷诱导的癌前和恶性皮肤病变的 miRNA 表达谱。
PLoS One. 2018 Aug 16;13(8):e0202579. doi: 10.1371/journal.pone.0202579. eCollection 2018.
6
Quantitative analysis of Merkel cell polyomavirus (MCPyV) genome in non-melanoma skin cancer and normal tumor margins.定量分析非黑色素瘤皮肤癌和正常肿瘤切缘中的 Merkel 细胞多瘤病毒(MCPyV)基因组。
Braz J Microbiol. 2022 Dec;53(4):1987-1994. doi: 10.1007/s42770-022-00850-x. Epub 2022 Oct 24.
7
Non-melanoma skin cancer: United Kingdom National Multidisciplinary Guidelines.非黑色素瘤皮肤癌:英国国家多学科指南
J Laryngol Otol. 2016 May;130(S2):S125-S132. doi: 10.1017/S0022215116000554.
8
Surgical management of non melanoma skin cancer of the head and neck.头颈部非黑素瘤皮肤癌的外科治疗。
Oral Oncol. 2020 Jan;100:104485. doi: 10.1016/j.oraloncology.2019.104485. Epub 2019 Dec 9.
9
MicroRNA Expression Profiling of Cutaneous Squamous Cell Carcinomas Arising in Different Sites.不同部位发生的皮肤鳞状细胞癌的 microRNA 表达谱分析。
Otolaryngol Head Neck Surg. 2020 Sep;163(3):538-545. doi: 10.1177/0194599820918855. Epub 2020 May 19.
10
[Expression and significance of matrix metalloproteinase and tissue inhibitor of matrix metalloproteinase in non-melanoma skin cancer].基质金属蛋白酶及基质金属蛋白酶组织抑制剂在非黑素瘤皮肤癌中的表达及意义
Zhonghua Zhong Liu Za Zhi. 2012 May;34(5):369-73. doi: 10. 3760/cma.j.issn.0253-3766.2012.05.011.

引用本文的文献

1
Application of Cord Blood-Derived Exosomes in Tumor Prevention and Treatment.脐带血来源外泌体在肿瘤预防和治疗中的应用。
Clin Med Insights Oncol. 2025 Aug 10;19:11795549251365360. doi: 10.1177/11795549251365360. eCollection 2025.
2
Micro RNA Dysregulation in Keratinocyte Carcinomas: Clinical Evidence, Functional Impact, and Future Directions.微小 RNA 在角质细胞癌中的失调:临床证据、功能影响和未来方向。
Int J Mol Sci. 2024 Aug 3;25(15):8493. doi: 10.3390/ijms25158493.

本文引用的文献

1
Is miRNA Regulation the Key to Controlling Non-Melanoma Skin Cancer Evolution?miRNA 调控是否是控制非黑素瘤皮肤癌演进的关键?
Genes (Basel). 2021 Nov 29;12(12):1929. doi: 10.3390/genes12121929.
2
MicroRNA-34a: Potent Tumor Suppressor, Cancer Stem Cell Inhibitor, and Potential Anticancer Therapeutic.微小RNA-34a:强效肿瘤抑制因子、癌症干细胞抑制剂及潜在的抗癌治疗手段
Front Cell Dev Biol. 2021 Mar 8;9:640587. doi: 10.3389/fcell.2021.640587. eCollection 2021.
3
Global Cancer Statistics 2020: GLOBOCAN Estimates of Incidence and Mortality Worldwide for 36 Cancers in 185 Countries.
《全球癌症统计数据 2020:全球 185 个国家和地区 36 种癌症的发病率和死亡率估计》。
CA Cancer J Clin. 2021 May;71(3):209-249. doi: 10.3322/caac.21660. Epub 2021 Feb 4.
4
Epigenetic regulation in the pathogenesis of non-melanoma skin cancer.表观遗传调控在非黑色素瘤皮肤癌发病机制中的作用。
Semin Cancer Biol. 2022 Aug;83:36-56. doi: 10.1016/j.semcancer.2020.11.009. Epub 2020 Nov 23.
5
The role of ultrasonography in head and neck Non-Melanoma Skin Cancer approach: an update with a review of the literature.超声检查在头颈部非黑素瘤皮肤癌治疗中的作用:文献复习更新
Med Ultrason. 2021 Feb 18;23(1):83-88. doi: 10.11152/mu-2617. Epub 2020 Oct 8.
6
The Role of Non-Coding RNAs as Prognostic Factor, Predictor of Drug Response or Resistance and Pharmacological Targets, in the Cutaneous Squamous Cell Carcinoma.非编码RNA在皮肤鳞状细胞癌中作为预后因素、药物反应或耐药性预测指标以及药理学靶点的作用
Cancers (Basel). 2020 Sep 8;12(9):2552. doi: 10.3390/cancers12092552.
7
Current and Future Trends in Molecular Biomarkers for Diagnostic, Prognostic, and Predictive Purposes in Non-Melanoma Skin Cancer.非黑色素瘤皮肤癌诊断、预后及预测用途分子生物标志物的当前及未来趋势
J Clin Med. 2020 Sep 4;9(9):2868. doi: 10.3390/jcm9092868.
8
miRNAs in the Diagnosis and Prognosis of Skin Cancer.微小RNA在皮肤癌诊断和预后中的作用
Front Cell Dev Biol. 2020 Feb 28;8:71. doi: 10.3389/fcell.2020.00071. eCollection 2020.
9
Expression of miR-34a in basal cell carcinoma patients and its relationship with prognosis.miR-34a在基底细胞癌患者中的表达及其与预后的关系。
J BUON. 2019 May-Jun;24(3):1283-1288.
10
miRNA-221 promotes cutaneous squamous cell carcinoma progression by targeting PTEN.miRNA-221 通过靶向 PTEN 促进皮肤鳞状细胞癌的进展。
Cell Mol Biol Lett. 2019 Mar 8;24:9. doi: 10.1186/s11658-018-0131-z. eCollection 2019.