• 文献检索
  • 文档翻译
  • 深度研究
  • 学术资讯
  • Suppr Zotero 插件Zotero 插件
  • 邀请有礼
  • 套餐&价格
  • 历史记录
应用&插件
Suppr Zotero 插件Zotero 插件浏览器插件Mac 客户端Windows 客户端微信小程序
定价
高级版会员购买积分包购买API积分包
服务
文献检索文档翻译深度研究API 文档MCP 服务
关于我们
关于 Suppr公司介绍联系我们用户协议隐私条款
关注我们

Suppr 超能文献

核心技术专利:CN118964589B侵权必究
粤ICP备2023148730 号-1Suppr @ 2026

文献检索

告别复杂PubMed语法,用中文像聊天一样搜索,搜遍4000万医学文献。AI智能推荐,让科研检索更轻松。

立即免费搜索

文件翻译

保留排版,准确专业,支持PDF/Word/PPT等文件格式,支持 12+语言互译。

免费翻译文档

深度研究

AI帮你快速写综述,25分钟生成高质量综述,智能提取关键信息,辅助科研写作。

立即免费体验

载阿瑞匹坦-磷脂复合物的静脉乳剂的制备与评价。

Preparation and evaluation of an intravenous emulsion loaded with an aprepitant-phospholipid complex.

机构信息

Department of Pharmacy, Tangshan Maternal and Child Health Hospital, Tangshan, China.

School of Pharmacy, North China University of Science and Technology, Tangshan, China.

出版信息

Drug Deliv. 2023 Dec;30(1):2183834. doi: 10.1080/10717544.2023.2183834.

DOI:10.1080/10717544.2023.2183834
PMID:36843571
原文链接:https://pmc.ncbi.nlm.nih.gov/articles/PMC9979997/
Abstract

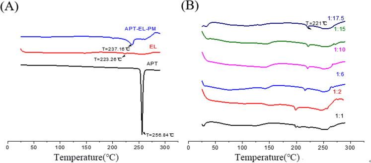
In present, there was no detailed report on the formulation optimization and quality evaluation of aprepitant (APT) injectable lipid emulsion (APT-IE). The aim of the present investigation was to prepare and evaluate its properties of APT-IE loaded with an APT phospholipid complex (APT-PC) and . APT-PC was obtained by solvent evaporation with APT and phospholipids, then analyzed by -ray diffraction, Fourier transform infrared spectroscopy and differential scanning calorimetry. Lipid emulsions are a new formulation that can reduce side effects and improve drug loading.APT-IE prepared by High-pressure homogenization and optimized by response surface methodology (RSM). The proportion of sodium oleate, poloxamer 188 and soybean oil were selected as variables for the optimization. The optimal formulation of ATP-IE had the following characteristics: particle size, 82.83 ± 1.89 nm; polydispersity index, 0.243 ± 0.008; zeta potential, -59.0 ± 2.54 mV; encapsulation efficiency, 98.84%±1.43%; drug loading, 7.08 ± 0.16 mg/mL; and osmotic pressure, 301 ± 2.15 mOsmol/kg. Transmission electron microscopy images indicated that the particle diameter of APT-IE was approximately 100 nm, with a morphology of spheroidal or spherical. APT-IE exhibited sufficient stability after storage at 4 ± 2 °C for more than 6 months. The results of the pharmacokinetic study demonstrated that APT-IE had the advantages of better safety, higher bioavailability, and obvious liver targeting than APT solution (APT-SL). The area under the curve (AUC) of APT-IE was 3-fold enhanced compared with APT-SL. The targeted enhancement multiple of APT-IE to liver tissue was greater than that of APT-SL. These results suggested that APT-IE has broad clinical application and industrial production potential.

摘要

目前,尚无关于阿瑞匹坦(APT)注射用脂质乳剂(APT-IE)的制剂优化和质量评价的详细报告。本研究旨在制备并评价载有 APT 磷脂复合物(APT-PC)的 APT-IE 的性质。通过溶剂蒸发法用 APT 和磷脂制备 APT-PC,然后通过 X 射线衍射、傅里叶变换红外光谱和差示扫描量热法对其进行分析。脂质乳剂是一种新的制剂,可降低副作用并提高药物载量。采用高压匀质法制备 APT-IE,并通过响应面法(RSM)进行优化。选择油酸钠、泊洛沙姆 188 和大豆油的比例作为优化的变量。ATP-IE 的最佳配方具有以下特点:粒径为 82.83±1.89nm;多分散指数为 0.243±0.008;Zeta 电位为-59.0±2.54mV;包封效率为 98.84%±1.43%;药物载量为 7.08±0.16mg/mL;渗透压为 301±2.15mOsmol/kg。透射电子显微镜图像表明,APT-IE 的粒径约为 100nm,形态呈球形或类球形。APT-IE 在 4±2℃下储存 6 个月以上仍具有足够的稳定性。药代动力学研究结果表明,与 APT 溶液(APT-SL)相比,APT-IE 具有更好的安全性、更高的生物利用度和明显的肝靶向性。APT-IE 的曲线下面积(AUC)是 APT-SL 的 3 倍。APT-IE 对肝组织的靶向增强倍数大于 APT-SL。这些结果表明,APT-IE 具有广阔的临床应用和工业生产潜力。

https://cdn.ncbi.nlm.nih.gov/pmc/blobs/4571/9979997/59960dd30565/IDRD_A_2183834_F0012_C.jpg
https://cdn.ncbi.nlm.nih.gov/pmc/blobs/4571/9979997/ca768a15364e/IDRD_A_2183834_F0001_C.jpg
https://cdn.ncbi.nlm.nih.gov/pmc/blobs/4571/9979997/8ec3526e1556/IDRD_A_2183834_F0002_C.jpg
https://cdn.ncbi.nlm.nih.gov/pmc/blobs/4571/9979997/823a411cb5be/IDRD_A_2183834_F0003_C.jpg
https://cdn.ncbi.nlm.nih.gov/pmc/blobs/4571/9979997/a5757797991f/IDRD_A_2183834_F0004_C.jpg
https://cdn.ncbi.nlm.nih.gov/pmc/blobs/4571/9979997/ce74bcc42767/IDRD_A_2183834_F0005_C.jpg
https://cdn.ncbi.nlm.nih.gov/pmc/blobs/4571/9979997/e84efd1416c7/IDRD_A_2183834_F0006_C.jpg
https://cdn.ncbi.nlm.nih.gov/pmc/blobs/4571/9979997/6d42bf68f9a6/IDRD_A_2183834_F0007_B.jpg
https://cdn.ncbi.nlm.nih.gov/pmc/blobs/4571/9979997/530a270113b0/IDRD_A_2183834_F0008_C.jpg
https://cdn.ncbi.nlm.nih.gov/pmc/blobs/4571/9979997/6b1bfc6d8d1f/IDRD_A_2183834_F0009_C.jpg
https://cdn.ncbi.nlm.nih.gov/pmc/blobs/4571/9979997/7e2243d7c69e/IDRD_A_2183834_F0010_C.jpg
https://cdn.ncbi.nlm.nih.gov/pmc/blobs/4571/9979997/0cda4088a724/IDRD_A_2183834_F0011_C.jpg
https://cdn.ncbi.nlm.nih.gov/pmc/blobs/4571/9979997/59960dd30565/IDRD_A_2183834_F0012_C.jpg
https://cdn.ncbi.nlm.nih.gov/pmc/blobs/4571/9979997/ca768a15364e/IDRD_A_2183834_F0001_C.jpg
https://cdn.ncbi.nlm.nih.gov/pmc/blobs/4571/9979997/8ec3526e1556/IDRD_A_2183834_F0002_C.jpg
https://cdn.ncbi.nlm.nih.gov/pmc/blobs/4571/9979997/823a411cb5be/IDRD_A_2183834_F0003_C.jpg
https://cdn.ncbi.nlm.nih.gov/pmc/blobs/4571/9979997/a5757797991f/IDRD_A_2183834_F0004_C.jpg
https://cdn.ncbi.nlm.nih.gov/pmc/blobs/4571/9979997/ce74bcc42767/IDRD_A_2183834_F0005_C.jpg
https://cdn.ncbi.nlm.nih.gov/pmc/blobs/4571/9979997/e84efd1416c7/IDRD_A_2183834_F0006_C.jpg
https://cdn.ncbi.nlm.nih.gov/pmc/blobs/4571/9979997/6d42bf68f9a6/IDRD_A_2183834_F0007_B.jpg
https://cdn.ncbi.nlm.nih.gov/pmc/blobs/4571/9979997/530a270113b0/IDRD_A_2183834_F0008_C.jpg
https://cdn.ncbi.nlm.nih.gov/pmc/blobs/4571/9979997/6b1bfc6d8d1f/IDRD_A_2183834_F0009_C.jpg
https://cdn.ncbi.nlm.nih.gov/pmc/blobs/4571/9979997/7e2243d7c69e/IDRD_A_2183834_F0010_C.jpg
https://cdn.ncbi.nlm.nih.gov/pmc/blobs/4571/9979997/0cda4088a724/IDRD_A_2183834_F0011_C.jpg
https://cdn.ncbi.nlm.nih.gov/pmc/blobs/4571/9979997/59960dd30565/IDRD_A_2183834_F0012_C.jpg

相似文献

1
Preparation and evaluation of an intravenous emulsion loaded with an aprepitant-phospholipid complex.载阿瑞匹坦-磷脂复合物的静脉乳剂的制备与评价。
Drug Deliv. 2023 Dec;30(1):2183834. doi: 10.1080/10717544.2023.2183834.
2
Aprepitant Intravenous Emulsion Based on Ion Pairing/Phospholipid Complex for Improving Physical and Chemical Stability During Thermal Sterilization.基于离子对/磷脂复合物的阿瑞匹坦静脉乳剂,用于改善热灭菌过程中的物理和化学稳定性。
AAPS PharmSciTech. 2020 Jan 21;21(3):75. doi: 10.1208/s12249-019-1605-7.
3
Optimization, and and evaluation of etomidate intravenous lipid emulsion.依托咪酯静脉脂肪乳剂的优化、配制和评价。
Drug Deliv. 2021 Dec;28(1):873-883. doi: 10.1080/10717544.2021.1917729.
4
Aprepitant loaded solid preconcentrated microemulsion for enhanced bioavailability: A comparison with micronized Aprepitant.用于提高生物利用度的阿瑞匹坦负载型固体预浓缩微乳剂:与微粉化阿瑞匹坦的比较。
Eur J Pharm Sci. 2015 Oct 12;78:90-102. doi: 10.1016/j.ejps.2015.07.008. Epub 2015 Jul 9.
5
Preparation and evaluation of a self-nanoemulsifying drug delivery system loaded with Akebia saponin D-phospholipid complex.载有三叶木通皂苷 D-磷脂复合物的自微乳给药系统的制备与评价。
Int J Nanomedicine. 2016 Sep 26;11:4919-4929. doi: 10.2147/IJN.S108765. eCollection 2016.
6
Formulation optimization of aprepitant microemulsion-loaded silicated corn fiber gum particles for enhanced bioavailability.用于提高生物利用度的载阿瑞匹坦微乳的硅化玉米纤维胶颗粒的制剂优化
Drug Dev Ind Pharm. 2016 Aug;42(8):1267-82. doi: 10.3109/03639045.2015.1122611. Epub 2015 Dec 21.
7
Formulation, characterization and hypersensitivity evaluation of an intravenous emulsion loaded with a paclitaxel-cholesterol complex.载有紫杉醇-胆固醇复合物的静脉乳剂的处方、表征及过敏反应评估
Chem Pharm Bull (Tokyo). 2011;59(3):321-6. doi: 10.1248/cpb.59.321.
8
Mechanistic studies on the absorption enhancement of a self-nanoemulsifying drug delivery system loaded with norisoboldine-phospholipid complex.载有去甲紫堇碱-磷脂复合物的自微乳药物传递系统吸收增强的机制研究。
Int J Nanomedicine. 2019 Sep 2;14:7095-7106. doi: 10.2147/IJN.S211905. eCollection 2019.
9
Supersaturable diacyl phospholipid dispersion for improving oral bioavailability of brick dust molecule: A case study of Aprepitant.用于提高 Brick Dust 分子口服生物利用度的超饱和二酰基磷脂分散体:阿瑞匹坦的案例研究。
Eur J Pharm Biopharm. 2024 Apr;197:114241. doi: 10.1016/j.ejpb.2024.114241. Epub 2024 Mar 1.
10
Improved oral bioavailability and therapeutic efficacy of erlotinib through molecular complexation with phospholipid.通过与磷脂的分子复合提高厄洛替尼的口服生物利用度和治疗效果。
Int J Pharm. 2017 Dec 20;534(1-2):1-13. doi: 10.1016/j.ijpharm.2017.09.071. Epub 2017 Sep 29.

引用本文的文献

1
Intravenous Nanoemulsions Loaded with Phospholipid Complex of a Novel Pyrazoloquinolinone Ligand for Enhanced Brain Delivery.负载新型吡唑并喹啉酮配体磷脂复合物的静脉注射纳米乳剂用于增强脑内递送
Pharmaceutics. 2025 Feb 11;17(2):232. doi: 10.3390/pharmaceutics17020232.
2
The Application of Metal-Organic Frameworks in Water Treatment and Their Large-Scale Preparation: A Review.金属有机框架材料在水处理中的应用及其大规模制备:综述
Materials (Basel). 2024 Apr 24;17(9):1972. doi: 10.3390/ma17091972.
3
Utilization of nanotechnology and experimental design in the development and optimization of a posaconazole‒calendula oil nanoemulgel for the treatment of mouth disorders.

本文引用的文献

1
The Neurokinin-1 Receptor Antagonist Aprepitant: An Intelligent Bullet against Cancer?神经激肽-1受体拮抗剂阿瑞匹坦:对抗癌症的智能子弹?
Cancers (Basel). 2020 Sep 20;12(9):2682. doi: 10.3390/cancers12092682.
2
Aprepitant Intravenous Emulsion Based on Ion Pairing/Phospholipid Complex for Improving Physical and Chemical Stability During Thermal Sterilization.基于离子对/磷脂复合物的阿瑞匹坦静脉乳剂,用于改善热灭菌过程中的物理和化学稳定性。
AAPS PharmSciTech. 2020 Jan 21;21(3):75. doi: 10.1208/s12249-019-1605-7.
3
Cholesteryl Hemisuccinate Is Not a Good Replacement for Cholesterol in Lipid Nanodiscs.
纳米技术和实验设计在泊沙康唑-金盏花油纳米乳凝胶治疗口腔疾病的开发与优化中的应用。
Front Pharmacol. 2024 Feb 15;15:1347551. doi: 10.3389/fphar.2024.1347551. eCollection 2024.
4
Reversing the Natural Drug Resistance of Gram-Negative Bacteria to Fusidic Acid via Forming Drug-Phospholipid Complex.通过形成药物-磷脂复合物逆转革兰氏阴性菌对夫西地酸的天然耐药性。
Bioengineering (Basel). 2024 Feb 11;11(2):177. doi: 10.3390/bioengineering11020177.
胆甾醇琥珀酸酯不是脂质纳米碟中胆固醇的良好替代品。
J Phys Chem B. 2019 Nov 21;123(46):9839-9845. doi: 10.1021/acs.jpcb.9b07853. Epub 2019 Nov 12.
4
Preparation of ursolic acid-phospholipid complex by solvent-assisted grinding method to improve dissolution and oral bioavailability.溶剂辅助研磨法制备熊果酸-磷脂复合物以提高其溶解性能和口服生物利用度。
Pharm Dev Technol. 2020 Jan;25(1):68-75. doi: 10.1080/10837450.2019.1671864. Epub 2019 Oct 1.
5
Crossover safety study of aprepitant: 2-min injection vs 30-min infusion in cancer patients receiving emetogenic chemotherapy.阿瑞匹坦的交叉安全性研究:接受致吐性化疗的癌症患者中2分钟注射与30分钟输注的比较
Onco Targets Ther. 2019 Apr 30;12:3277-3284. doi: 10.2147/OTT.S201609. eCollection 2019.
6
Drug-Phospholipid Complex-a Go Through Strategy for Enhanced Oral Bioavailability.药物-磷脂复合物——一种提高口服生物利用度的策略。
AAPS PharmSciTech. 2019 Jan 4;20(2):43. doi: 10.1208/s12249-018-1252-4.
7
Cost-effectiveness of aprepitant in Japanese patients treated with cisplatin-containing highly emetogenic chemotherapy.含顺铂的高致吐性化疗的日本患者中阿瑞匹坦的成本效果分析。
Cancer Sci. 2018 Sep;109(9):2881-2888. doi: 10.1111/cas.13736. Epub 2018 Aug 3.
8
Safety of HTX-019 (intravenous aprepitant) and fosaprepitant in healthy subjects.HTX-019(静脉用阿瑞匹坦)和福沙匹坦在健康受试者中的安全性。
Future Oncol. 2018 Nov;14(27):2849-2859. doi: 10.2217/fon-2018-0311. Epub 2018 Jun 6.
9
Therapeutic efficacy of lipid emulsions of docetaxel-linoleic acid conjugate in breast cancer.多西他赛-亚油酸结合物脂质体在乳腺癌中的治疗效果。
Int J Pharm. 2018 Jul 30;546(1-2):61-69. doi: 10.1016/j.ijpharm.2018.05.032. Epub 2018 May 17.
10
Phospholipid Complex Technique for Superior Bioavailability of Phytoconstituents.用于提高植物成分生物利用度的磷脂复合物技术
Adv Pharm Bull. 2017 Apr;7(1):35-42. doi: 10.15171/apb.2017.005. Epub 2017 Apr 13.