Suppr超能文献

自恋与失败认知——来自错误相关负波和错误正波的证据

Narcissism and the perception of failure - evidence from the error-related negativity and the error positivity.

作者信息

Mück Markus, Mattes André, Porth Elisa, Stahl Jutta

机构信息

University of Cologne, Cologne, Germany.

出版信息

Personal Neurosci. 2023 Feb 9;6:e2. doi: 10.1017/pen.2022.7. eCollection 2023.

Abstract

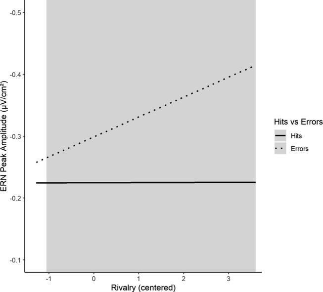
The literature on narcissism suggests two contradictory ways how highly narcissistic individuals deal with their failures: They might avoid consciously recognising their failures to protect their ego or they might vigilantly turn towards their failures to process cues that are important for maintaining their grandiosity. We tried to dissolve these contradictory positions by studying event-related potential components of error processing and their variations with narcissism. With a speeded go/no-go task, we examined how the error-related negativity (Ne; reflecting an early, automatic processing stage) and the error positivity (Pe; associated with conscious error detection) vary with Admiration and Rivalry, two narcissism dimensions, under ego-threatening conditions. Using multilevel models, we showed that participants with high Rivalry displayed higher Ne amplitudes suggesting a heightened trait of defensive reactivity. We did not find variations of either narcissism dimension with the Pe, which would have pointed to weaker error awareness. Thus, our results only supported the second position: a heightened vigilance to errors in narcissism at early, rather automatic processing stages.

摘要

关于自恋的文献提出了两种相互矛盾的方式,即高度自恋的个体如何应对自己的失败:他们可能会有意识地避免认识到自己的失败以保护自我,或者他们可能会警惕地面对自己的失败,以处理对维持其夸大感很重要的线索。我们试图通过研究错误处理的事件相关电位成分及其随自恋的变化来消解这些相互矛盾的观点。通过一个快速的“走/停”任务,我们研究了在自我威胁条件下,与错误相关的负波(Ne;反映早期自动处理阶段)和错误正波(Pe;与有意识的错误检测相关)如何随自恋的两个维度——钦佩和竞争而变化。使用多层次模型,我们发现具有高竞争维度的参与者表现出更高的Ne波幅,表明其防御反应性特质增强。我们没有发现自恋的任何一个维度与Pe波有变化关系,而Pe波变化本可表明错误意识较弱。因此,我们的结果仅支持第二种观点:在早期相当自动的处理阶段,自恋者对错误的警惕性增强。

https://cdn.ncbi.nlm.nih.gov/pmc/blobs/a9e0/9947629/84cc95c52e7a/S2513988622000074_fig1.jpg

文献AI研究员

20分钟写一篇综述,助力文献阅读效率提升50倍。

立即体验

用中文搜PubMed

大模型驱动的PubMed中文搜索引擎

马上搜索

文档翻译

学术文献翻译模型,支持多种主流文档格式。

立即体验