Andersen Jonas, Bosetti Maddalena, Mancini Andrea, Solovyev Pavel, Nardin Tiziana, Bontempo Luana, Larcher Roberto, Franciosi Elena
Research and Innovation Centre, Fondazione Edmund Mach (FEM), San Michele all'Adige, Italy.
Technology Transfer Centre, Fondazione Edmund Mach (FEM), San Michele all'Adige, Italy.
Front Nutr. 2023 Feb 10;9:1023490. doi: 10.3389/fnut.2022.1023490. eCollection 2022.
In this study, we supplemented models of Caciotta-like cheese with blackcurrant () and Cornelian cherry (), as they have a high content of polyphenols, known as phytochemicals associated with health benefits. We evaluated the microbial composition, organoleptic aspects, total phenolic content, and chemical composition of model cheeses enriched with blackcurrant and Cornelian cherry.
Two different suppliers have been tested: a conventional and an organic one. Two different conditions of preparation (freeze-dried and not freeze-dried) were tested in two different amounts (0.3 and 0.6% dry weight w/v milk volume). Polyphenols were determined using Folin-Ciocalteu reaction and spectrometry; microbial community was determined with selective 24 media and plate counts; composition was determined using nuclear magnetic resonance spectrometry. Organoleptic tests with an untrained panel have been performed.
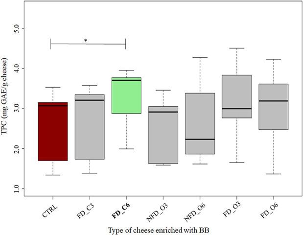
The enrichments with blackcurrant and Cornelian cherry increased the total polyphenol content in model cheeses, in particular, when blackcurrant and Cornelian cherry were from conventional farming. Blackcurrant-enriched cheeses showed higher counts of lactic acid bacteria, higher levels of organic acids, amino acids, gamma-aminobutyric acid, histamine, and lower amount of monosaccharides deriving from bacterial lactose fermentation in cheese, suggesting a positive effect of blackcurrant compounds on the growth and activity of lactic acid bacteria. The enrichments did not affect the acceptance of the cheese, neither by blackcurrant nor by Cornelian cherry incorporation, with the exception of the appearance.
Overall, we showed that cheeses enriched with blackcurrant or Cornelian cherry from conventional farming increased the bioactive potential of the dairy product without having an adverse effect on the microbial community, physiochemical properties, or organoleptic properties.
在本研究中,我们用黑加仑()和欧洲酸樱桃()对类似卡乔塔奶酪的模型进行了补充,因为它们含有高含量的多酚,即与健康益处相关的植物化学物质。我们评估了富含黑加仑和欧洲酸樱桃的模型奶酪的微生物组成、感官特性、总酚含量和化学成分。
测试了两个不同的供应商:一个是传统供应商,一个是有机供应商。在两种不同的量(0.3%和0.6%干重/体积牛奶)下测试了两种不同的制备条件(冻干和未冻干)。使用福林-西奥尔特反应和光谱法测定多酚;使用选择性24种培养基和平板计数法测定微生物群落;使用核磁共振光谱法测定成分。对未经训练的小组进行了感官测试。
用黑加仑和欧洲酸樱桃进行强化增加了模型奶酪中的总多酚含量,特别是当黑加仑和欧洲酸樱桃来自传统种植时。富含黑加仑的奶酪显示出乳酸菌数量增加、有机酸、氨基酸、γ-氨基丁酸、组胺水平升高,以及奶酪中细菌乳糖发酵产生的单糖含量降低,这表明黑加仑化合物对乳酸菌的生长和活性有积极影响。除了外观外,强化处理对奶酪的接受度没有影响,无论是添加黑加仑还是欧洲酸樱桃。
总体而言,我们表明,用来自传统种植的黑加仑或欧洲酸樱桃强化的奶酪增加了乳制品的生物活性潜力,而对微生物群落、理化性质或感官性质没有不利影响。