Suppr超能文献

Vent.的植物化学分析与生物活性

Phytochemical Analysis and Biological Activity of Vent.

作者信息

Noorbakhsh Firoozeh, Zare Somayeh, Firuzi Omidreza, Sakhteman Amirhossein, Chandran Jima N, Schneider Bernd, Jassbi Amir Reza

机构信息

Medicinal and Natural Products Chemistry Research Center, Shiraz University of Medical Sciences, Shiraz, Iran.

Department of Medicinal Chemistry, School of Pharmacy, Shiraz University of Medical Sciences, Shiraz, Iran.

出版信息

Iran J Pharm Res. 2022 Sep 9;21(1):e127031. doi: 10.5812/ijpr-127031. eCollection 2022 Dec.

Abstract

BACKGROUND

extracts have various biological activities and are rich sources of bioactive metabolites.

OBJECTIVES

We identified five phytochemicals from extract and assessed its biological properties.

METHODS

The plant's shoots were extracted using dichloromethane, and the constituents were isolated using column chromatography. High-resolution NMR spectroscopy characterized the chemical structures of the compounds (1 - 5). The cytotoxic effect of the extract was examined against MCF-7 cells by MTT reduction assay, while cisplatin was tested as a reference cytotoxic compound. The antibacterial activity was assessed using nutrient broth micro-dilution (NBMD), and chloramphenicol was used as the positive control.

RESULTS

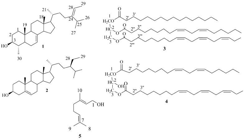
Citrostadienol (1), β-sitosterol (2), two glyceride esters of linolenic, linoleic, and palmitic acids (3, 4), and geraniol (5) were isolated from for the first time. The extract showed activity against MCF-7 breast cancer cells and reduced cell viability to 68.2 ± 13.1% compared to the control drug at the concentration of 50 µg/mL, while it was not active against seven test bacteria.

CONCLUSIONS

The anti-complementary activity of the isolated steroids suggests for future anti-inflammatory research.

摘要

背景

提取物具有多种生物活性,是生物活性代谢物的丰富来源。

目的

我们从提取物中鉴定出五种植物化学物质,并评估了其生物学特性。

方法

用二氯甲烷提取该植物的嫩枝,并用柱色谱法分离其成分。通过高分辨率核磁共振光谱对化合物(1 - 5)的化学结构进行表征。采用MTT还原法检测提取物对MCF - 7细胞的细胞毒性作用,以顺铂作为参考细胞毒性化合物进行检测。采用营养肉汤微量稀释法(NBMD)评估抗菌活性,以氯霉素作为阳性对照。

结果

首次从该提取物中分离出柠檬甾二烯醇(1)、β - 谷甾醇(2)、两种亚麻酸、亚油酸和棕榈酸的甘油酯(3, 4)以及香叶醇(5)。在50μg/mL浓度下,该提取物对MCF - 7乳腺癌细胞显示出活性,与对照药物相比,细胞活力降低至68.2±13.1%,而对七种受试细菌无活性。

结论

分离出的甾体化合物的抗补体活性为未来的抗炎研究提供了方向。

https://cdn.ncbi.nlm.nih.gov/pmc/blobs/d6c3/10024313/f9174146831c/ijpr-21-1-127031-i001.jpg

文献AI研究员

20分钟写一篇综述,助力文献阅读效率提升50倍。

立即体验

用中文搜PubMed

大模型驱动的PubMed中文搜索引擎

马上搜索

文档翻译

学术文献翻译模型,支持多种主流文档格式。

立即体验