• 文献检索
  • 文档翻译
  • 深度研究
  • 学术资讯
  • Suppr Zotero 插件Zotero 插件
  • 邀请有礼
  • 套餐&价格
  • 历史记录
应用&插件
Suppr Zotero 插件Zotero 插件浏览器插件Mac 客户端Windows 客户端微信小程序
定价
高级版会员购买积分包购买API积分包
服务
文献检索文档翻译深度研究API 文档MCP 服务
关于我们
关于 Suppr公司介绍联系我们用户协议隐私条款
关注我们

Suppr 超能文献

核心技术专利:CN118964589B侵权必究
粤ICP备2023148730 号-1Suppr @ 2026

文献检索

告别复杂PubMed语法,用中文像聊天一样搜索,搜遍4000万医学文献。AI智能推荐,让科研检索更轻松。

立即免费搜索

文件翻译

保留排版,准确专业,支持PDF/Word/PPT等文件格式,支持 12+语言互译。

免费翻译文档

深度研究

AI帮你快速写综述,25分钟生成高质量综述,智能提取关键信息,辅助科研写作。

立即免费体验

瓷砖铺设工人的肺功能、血压和听力衰退评估。

Evaluation of Lung Functions, Blood Pressure, and Hearing Deterioration in Tile Setters.

作者信息

Gangwar Vibha, John Nitin, Verma Manish, John Jyoti, Jasrotia Rajani Bala, Singh Amita

机构信息

Department of Physiology, Dr Ram Manohar Lohia Institute of Medical Sciences, Lucknow, IND.

Physiology, All India Institute of Medical Sciences, Bibinagar, IND.

出版信息

Cureus. 2023 Feb 21;15(2):e35250. doi: 10.7759/cureus.35250. eCollection 2023 Feb.

DOI:10.7759/cureus.35250
PMID:36968923
原文链接:https://pmc.ncbi.nlm.nih.gov/articles/PMC10034865/
Abstract

INTRODUCTION

Tile setters in construction industries are exposed to a potent risk of silicosis as they are constantly exposed to crystalline silica dust during concrete finishing, cutting and fixing of the ceramic tiles. The noise produced by instruments used in tile settings may lead to noise-induced hearing loss. Noise above the permissible limit of 85 dB may lead to autonomic changes and alteration in blood pressure. These facts gave us an impetus to evaluate the pulmonary functions, blood pressure and hearing deterioration in tile setters and correlate these parameters for their present functional status with duration of exposure to tile cutting profession.

METHODS

The pulmonary functions were evaluated with spirometer, autonomic status by recording the blood pressure and hearing loss by calculating the Hearing Deterioration Index (HDI) for hearing loss.

RESULTS

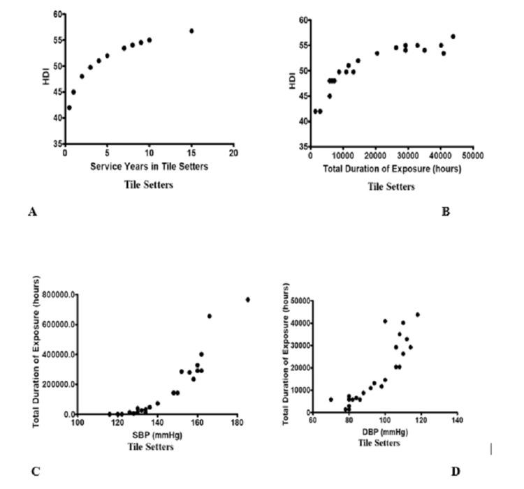
There was significant decline in forced vital capacity (FVC), forced expiratory volume 1 sec (FEV1) and forced expiratory volume 1% (FEV1%) in tile setters. The decline in FVC, FEV1 and FEV1% was significantly higher in subjects with exposure of more than five years. There was increased systolic and diastolic blood pressure in those having more than five years of exposure in the tile setting profession as compared to less than five years. There was a positive correlation between years of service in the tile setting profession as well as sound exposure level with HDI and blood pressure in our subjects.

CONCLUSION

Prolonged exposure to the tile setting profession may lead to compromised lung function, hypertension and hearing deterioration in tile setters.

摘要

引言

建筑行业的瓷砖铺设工人面临矽肺病的巨大风险,因为他们在混凝土修整、瓷砖切割和安装过程中持续接触结晶二氧化硅粉尘。瓷砖铺设过程中使用的工具产生的噪音可能导致噪声性听力损失。超过85分贝允许限值的噪音可能导致自主神经变化和血压改变。这些事实促使我们评估瓷砖铺设工人的肺功能、血压和听力衰退情况,并将这些参数与他们目前的功能状态以及瓷砖切割职业的接触时长相关联。

方法

用肺活量计评估肺功能,通过记录血压评估自主神经状态,通过计算听力衰退指数(HDI)评估听力损失。

结果

瓷砖铺设工人的用力肺活量(FVC)、第1秒用力呼气量(FEV1)和第1秒用力呼气容积百分比(FEV1%)显著下降。接触超过五年的受试者中,FVC、FEV1和FEV1%的下降明显更高。与接触少于五年的人相比,从事瓷砖铺设职业超过五年的人收缩压和舒张压升高。在我们的受试者中,瓷砖铺设职业的服务年限以及声音暴露水平与HDI和血压之间存在正相关。

结论

长期从事瓷砖铺设职业可能导致瓷砖铺设工人肺功能受损、高血压和听力衰退。

https://cdn.ncbi.nlm.nih.gov/pmc/blobs/2d99/10034865/b3bfd7fb5268/cureus-0015-00000035250-i02.jpg
https://cdn.ncbi.nlm.nih.gov/pmc/blobs/2d99/10034865/73bf4a8ac2da/cureus-0015-00000035250-i01.jpg
https://cdn.ncbi.nlm.nih.gov/pmc/blobs/2d99/10034865/b3bfd7fb5268/cureus-0015-00000035250-i02.jpg
https://cdn.ncbi.nlm.nih.gov/pmc/blobs/2d99/10034865/73bf4a8ac2da/cureus-0015-00000035250-i01.jpg
https://cdn.ncbi.nlm.nih.gov/pmc/blobs/2d99/10034865/b3bfd7fb5268/cureus-0015-00000035250-i02.jpg

相似文献

1
Evaluation of Lung Functions, Blood Pressure, and Hearing Deterioration in Tile Setters.瓷砖铺设工人的肺功能、血压和听力衰退评估。
Cureus. 2023 Feb 21;15(2):e35250. doi: 10.7759/cureus.35250. eCollection 2023 Feb.
2
Hearing Impairment and High Blood Pressure among Bus Drivers in Puducherry.本地治里公交司机的听力损伤与高血压
J Clin Diagn Res. 2016 Feb;10(2):CC08-10. doi: 10.7860/JCDR/2016/17361.7199. Epub 2016 Feb 1.
3
Effects of occupational exposures and smoking on lung function in tile factory workers.瓷砖厂工人职业暴露和吸烟对肺功能的影响。
Int Arch Occup Environ Health. 2011 Feb;84(2):151-8. doi: 10.1007/s00420-010-0603-6. Epub 2010 Dec 1.
4
Effect on pulmonary functions of dust exposed rice mill workers in comparison to an unexposed population.与未接触人群相比,粉尘暴露对碾米厂工人肺功能的影响。
Work. 2023;74(3):945-953. doi: 10.3233/WOR-205146.
5
The impact of occupational exposure to crystalline silica dust on respiratory function (airway obstruction and FEF) in the French general population.职业性接触结晶硅尘对法国普通人群呼吸功能(气道阻塞和用力呼气流量)的影响。
Environ Res. 2023 Apr 1;222:115382. doi: 10.1016/j.envres.2023.115382. Epub 2023 Feb 1.
6
Pulmonary function and respiratory symptoms in workers exposed to respirable silica dust: A historical cohort study.接触可吸入二氧化硅粉尘工人的肺功能和呼吸道症状:一项历史性队列研究。
Heliyon. 2022 Nov 15;8(11):e11642. doi: 10.1016/j.heliyon.2022.e11642. eCollection 2022 Nov.
7
Risk Evaluation of Construction Workers' Exposure to Silica Dust and the Possible Lung Function Impairments.建筑工人接触二氧化硅粉尘的风险评估及可能的肺功能损害
Tanaffos. 2017 Jun;16(4):295-303.
8
Prevalence and determinants of airflow limitation in urban and rural children exposed to cooking fuels in South-East Nigeria.尼日利亚东南部接触烹饪燃料的城乡儿童气流受限的患病率及其决定因素
Paediatr Int Child Health. 2018 May;38(2):121-127. doi: 10.1080/20469047.2018.1445506. Epub 2018 Mar 15.
9
[Situation of coal dust hazards and its damage of pulmonary function of a large-scale coal mine enterprise of Shanxi province].[山西省某大型煤矿企业煤尘危害现状及其对肺功能的损害]
Zhonghua Lao Dong Wei Sheng Zhi Ye Bing Za Zhi. 2020 Dec 20;38(12):902-905. doi: 10.3760/cma.j.cn121094-20200413-00193.
10
Laboratory evaluation to reduce respirable crystalline silica dust when cutting concrete roofing tiles using a masonry saw.使用砌体锯切割混凝土屋面瓦时减少可吸入结晶二氧化硅粉尘的实验室评估。
J Occup Environ Hyg. 2010 Apr;7(4):245-51. doi: 10.1080/15459620903579695.

引用本文的文献

1
Interplay between noise-induced sensorineural hearing loss and hypertension: pathophysiological mechanisms and therapeutic prospects.噪声性感音神经性听力损失与高血压之间的相互作用:病理生理机制与治疗前景。
Front Cell Neurosci. 2025 Apr 7;19:1523149. doi: 10.3389/fncel.2025.1523149. eCollection 2025.

本文引用的文献

1
Occupational Hearing loss in Africa: An interdisciplinary view of the current status.非洲的职业性听力损失:当前状况的跨学科视角
S Afr J Commun Disord. 2020 Mar 3;67(2):e1-e3. doi: 10.4102/sajcd.v67i2.700.
2
Management of occupational noise induced hearing loss in the mining sector in South Africa: Where are the audiologists?南非采矿业职业性噪声聋的管理:听力学家在哪里?
J Occup Health. 2018 Sep 26;60(5):376-382. doi: 10.1539/joh.2018-0020-OA. Epub 2018 Jul 6.
3
Risk Evaluation of Construction Workers' Exposure to Silica Dust and the Possible Lung Function Impairments.
建筑工人接触二氧化硅粉尘的风险评估及可能的肺功能损害
Tanaffos. 2017 Jun;16(4):295-303.
4
Hearing Impairment and High Blood Pressure among Bus Drivers in Puducherry.本地治里公交司机的听力损伤与高血压
J Clin Diagn Res. 2016 Feb;10(2):CC08-10. doi: 10.7860/JCDR/2016/17361.7199. Epub 2016 Feb 1.
5
Assessment of the risk factors for hearing loss in adult Nigerian population.尼日利亚成年人群听力损失风险因素评估。
Niger Med J. 2013 Jul;54(4):244-9. doi: 10.4103/0300-1652.119648.
6
Occupational respiratory diseases in the South African mining industry.南非采矿业的职业性呼吸系统疾病。
Glob Health Action. 2013 Jan 24;6:19520. doi: 10.3402/gha.v6i0.19520.
7
Occupational noise-induced hearing loss.职业性噪声性听力损失
Int J Occup Environ Med. 2010 Jul;1(3):116-23.
8
Relationship between noise annoyance from road traffic noise and cardiovascular diseases: a meta-analysis.道路交通噪声引起的噪声烦恼与心血管疾病之间的关系:一项荟萃分析。
Noise Health. 2011 May-Jun;13(52):251-9. doi: 10.4103/1463-1741.80163.
9
Silicosis: a review.矽肺:综述
Dis Mon. 2007 Aug;53(8):394-416. doi: 10.1016/j.disamonth.2007.09.020.
10
Crystalline silica dust and respirable particulate matter during indoor concrete grinding - wet grinding and ventilated grinding compared with uncontrolled conventional grinding.室内混凝土研磨过程中的结晶二氧化硅粉尘和可吸入颗粒物——湿磨和通风研磨与无控制的传统研磨的比较
J Occup Environ Hyg. 2007 Oct;4(10):770-9. doi: 10.1080/15459620701569708.