Suppr超能文献

在模拟进行性多发性硬化的铜离子螯合剂诱导的脱髓鞘模型中,色氨酸-犬尿氨酸代谢系统受到抑制。

The Tryptophan-Kynurenine Metabolic System Is Suppressed in Cuprizone-Induced Model of Demyelination Simulating Progressive Multiple Sclerosis.

作者信息

Polyák Helga, Galla Zsolt, Nánási Nikolett, Cseh Edina Katalin, Rajda Cecília, Veres Gábor, Spekker Eleonóra, Szabó Ágnes, Klivényi Péter, Tanaka Masaru, Vécsei László

机构信息

Department of Neurology, Albert Szent-Györgyi Medical School, University of Szeged, Semmelweis u. 6, H-6725 Szeged, Hungary.

Doctoral School of Clinical Medicine, University of Szeged, Korányi fasor 6, H-6720 Szeged, Hungary.

出版信息

Biomedicines. 2023 Mar 20;11(3):945. doi: 10.3390/biomedicines11030945.

Abstract

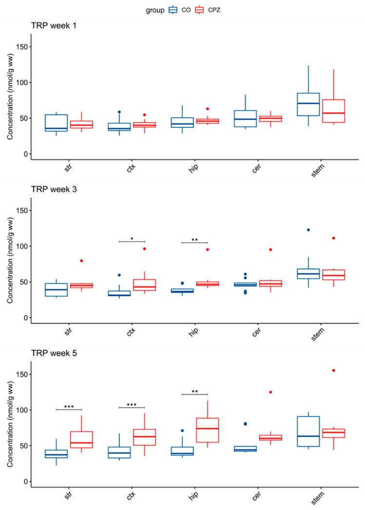
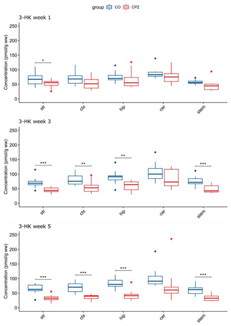
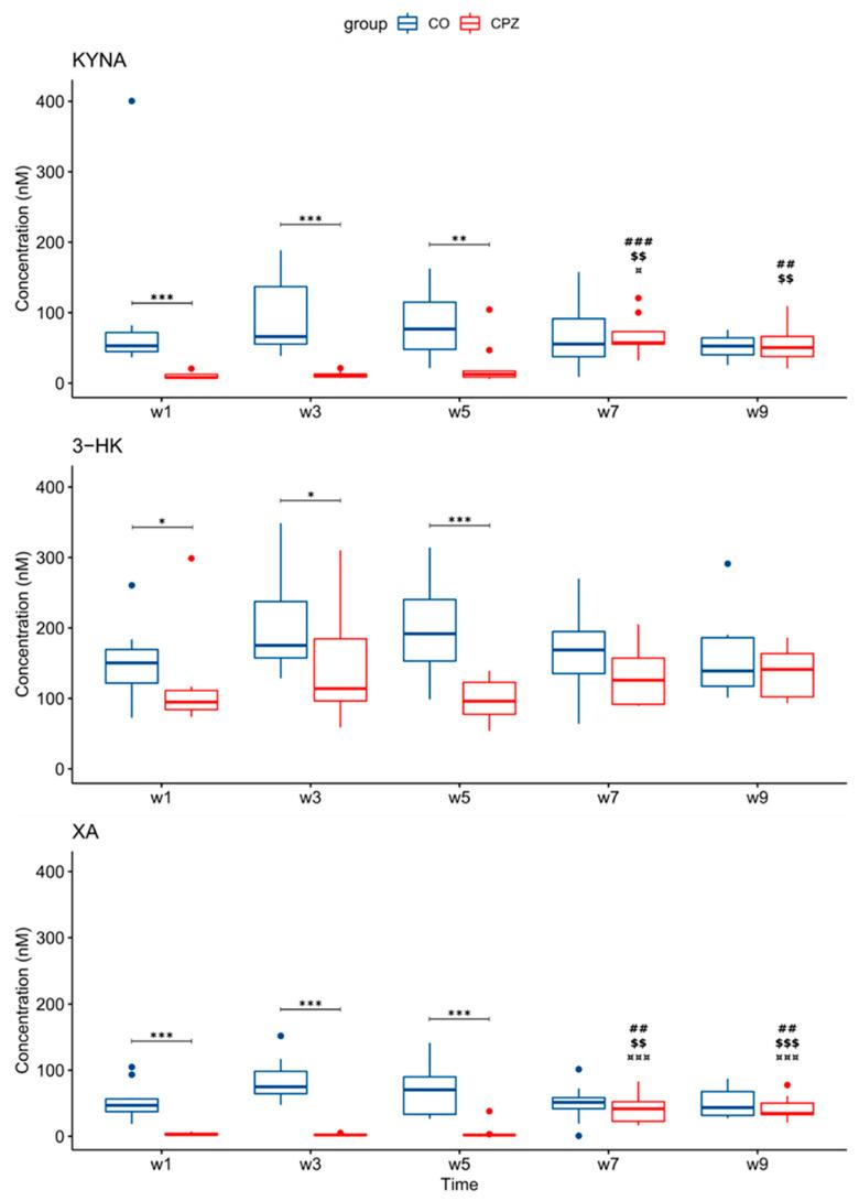
Progressive multiple sclerosis (MS) is a chronic disease with a unique pattern, which is histologically classified into the subpial type 3 lesions in the autopsy. The lesion is also homologous to that of cuprizone (CPZ) toxin-induced animal models of demyelination. Aberration of the tryptophan (TRP)-kynurenine (KYN) metabolic system has been observed in patients with MS; nevertheless, the KYN metabolite profile of progressive MS remains inconclusive. In this study, C57Bl/6J male mice were treated with 0.2% CPZ toxin for 5 weeks and then underwent 4 weeks of recovery. We measured the levels of serotonin, TRP, and KYN metabolites in the plasma and the brain samples of mice at weeks 1, 3, and 5 of demyelination, and at weeks 7 and 9 of remyelination periods by ultra-high-performance liquid chromatography with tandem mass spectrometry (UHPLC-MS/MS) after body weight measurement and immunohistochemical analysis to confirm the development of demyelination. The UHPLC-MS/MS measurements demonstrated a significant reduction of kynurenic acid, 3-hydoxykynurenine (3-HK), and xanthurenic acid in the plasma and a significant reduction of 3-HK, and anthranilic acid in the brain samples at week 5. Here, we show the profile of KYN metabolites in the CPZ-induced mouse model of demyelination. Thus, the KYN metabolite profile potentially serves as a biomarker of progressive MS and thus opens a new path toward planning personalized treatment, which is frequently obscured with immunologic components in MS deterioration.

摘要

进行性多发性硬化症(MS)是一种具有独特模式的慢性疾病,在尸检中,其组织学上被分类为软膜下3型病变。该病变也与铜离子螯合剂(CPZ)毒素诱导的脱髓鞘动物模型的病变相似。在MS患者中已观察到色氨酸(TRP)-犬尿氨酸(KYN)代谢系统的异常;然而,进行性MS的KYN代谢物谱仍无定论。在本研究中,C57Bl/6J雄性小鼠用0.2%的CPZ毒素处理5周,然后进行4周的恢复。在脱髓鞘的第1、3和5周,以及再髓鞘化期的第7和9周,通过超高效液相色谱-串联质谱法(UHPLC-MS/MS)测量小鼠血浆和脑样本中血清素、TRP和KYN代谢物的水平,在测量体重后进行免疫组织化学分析以确认脱髓鞘的发展。UHPLC-MS/MS测量显示,在第5周时,血浆中犬尿喹啉酸、3-羟基犬尿氨酸(3-HK)和黄尿酸显著降低,脑样本中3-HK和邻氨基苯甲酸显著降低。在此,我们展示了CPZ诱导的脱髓鞘小鼠模型中KYN代谢物的谱。因此,KYN代谢物谱有可能作为进行性MS的生物标志物,从而为规划个性化治疗开辟了一条新途径,而在MS恶化过程中,个性化治疗常常因免疫成分而变得模糊不清。

https://cdn.ncbi.nlm.nih.gov/pmc/blobs/c659/10046567/db1d006603b5/biomedicines-11-00945-g001.jpg

文献检索

告别复杂PubMed语法,用中文像聊天一样搜索,搜遍4000万医学文献。AI智能推荐,让科研检索更轻松。

立即免费搜索

文件翻译

保留排版,准确专业,支持PDF/Word/PPT等文件格式,支持 12+语言互译。

免费翻译文档

深度研究

AI帮你快速写综述,25分钟生成高质量综述,智能提取关键信息,辅助科研写作。

立即免费体验