Suppr超能文献

人醛氧化酶催化的代谢反应的计算机模拟预测

In Silico Prediction of Metabolic Reaction Catalyzed by Human Aldehyde Oxidase.

作者信息

Huang Mengting, Zhu Keyun, Wang Yimeng, Lou Chaofeng, Sun Huimin, Li Weihua, Tang Yun, Liu Guixia

机构信息

Shanghai Frontiers Science Center of Optogenetic Techniques for Cell Metabolism, Shanghai Key Laboratory of New Drug Design, School of Pharmacy, East China University of Science and Technology, Shanghai 200237, China.

出版信息

Metabolites. 2023 Mar 19;13(3):449. doi: 10.3390/metabo13030449.

Abstract

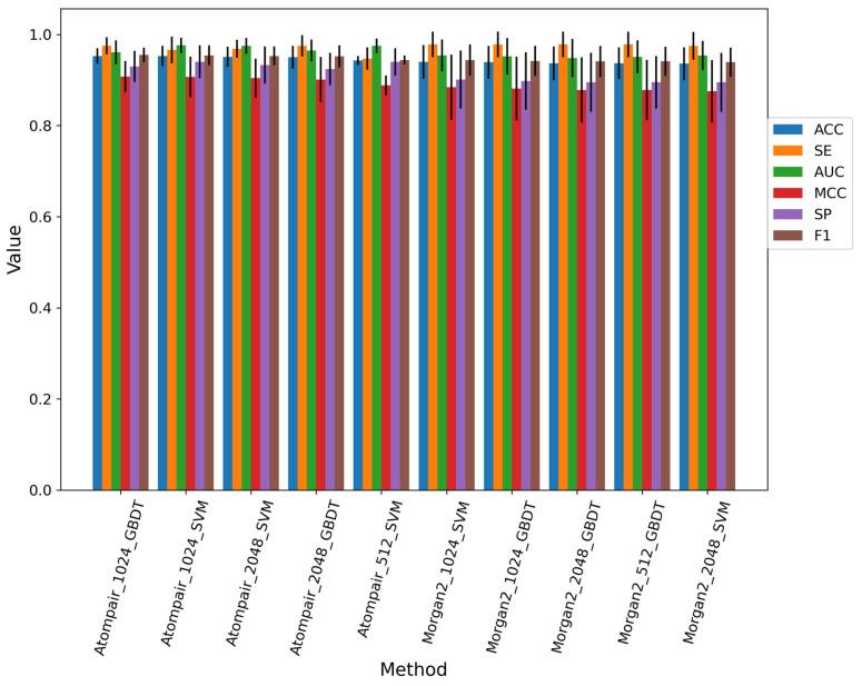
Aldehyde oxidase (AOX) plays an important role in drug metabolism. Human AOX (hAOX) is widely distributed in the body, and there are some differences between species. Currently, animal models cannot accurately predict the metabolism of hAOX. Therefore, more and more in silico models have been constructed for the prediction of the hAOX metabolism. These models are based on molecular docking and quantum chemistry theory, which are time-consuming and difficult to automate. Therefore, in this study, we compared traditional machine learning methods, graph convolutional neural network methods, and sequence-based methods with limited data, and proposed a ligand-based model for the metabolism prediction catalyzed by hAOX. Compared with the published models, our model achieved better performance (ACC = 0.91, F1 = 0.77). What's more, we built a web server to predict the sites of metabolism (SOMs) for hAOX. In summary, this study provides a convenient and automatable model and builds a web server named Meta-hAOX for accelerating the drug design and optimization stage.

摘要

醛氧化酶(AOX)在药物代谢中起重要作用。人醛氧化酶(hAOX)在体内广泛分布,且物种间存在一些差异。目前,动物模型无法准确预测hAOX的代谢情况。因此,越来越多的计算机模拟模型被构建用于预测hAOX的代谢。这些模型基于分子对接和量子化学理论,耗时且难以自动化。因此,在本研究中,我们在数据有限的情况下比较了传统机器学习方法、图卷积神经网络方法和基于序列的方法,并提出了一种基于配体的模型用于预测hAOX催化的代谢。与已发表的模型相比,我们的模型表现更优(ACC = 0.91,F1 = 0.77)。此外,我们构建了一个网络服务器来预测hAOX的代谢位点(SOMs)。总之,本研究提供了一个便捷且可自动化的模型,并构建了一个名为Meta-hAOX的网络服务器,以加速药物设计和优化阶段。

https://cdn.ncbi.nlm.nih.gov/pmc/blobs/b5b7/10059660/404e6cae9541/metabolites-13-00449-g001.jpg

文献检索

告别复杂PubMed语法,用中文像聊天一样搜索,搜遍4000万医学文献。AI智能推荐,让科研检索更轻松。

立即免费搜索

文件翻译

保留排版,准确专业,支持PDF/Word/PPT等文件格式,支持 12+语言互译。

免费翻译文档

深度研究

AI帮你快速写综述,25分钟生成高质量综述,智能提取关键信息,辅助科研写作。

立即免费体验