Endocrinology, Suzhou Xiangcheng People's Hospital, Suzhou, Jiangsu, China.
Traumatology Surgery, First Affiliated Hospital of Soochow University, Suzhou, Jiangsu, China.
BMJ Open. 2023 Mar 30;13(3):e064700. doi: 10.1136/bmjopen-2022-064700.
Small cell lung cancer (SCLC) is a lethal human malignancy, and previous studies support the contribution of microRNA to cancer progression. The prognostic value of miR-219-5p in patients with SCLC remains unclear. This study aimed to evaluate the predictive value of miR-219-5p with respect to mortality in patients with SCLC and to incorporate miR-219-5p level into a prediction model and nomogram for mortality.
Retrospective observational cohort study.
Our main cohort included data from 133 patients with SCLC between 1 March 2010 and 1 June 2015 from the Suzhou Xiangcheng People's Hospital. Data from 86 patients with non-SCLC at Sichuan Cancer Hospital and the First Affiliated Hospital of Soochow University were used for external validation.
Tissue samples were taken during admission and stored, and miR-219-5p levels were measured at a later date. A Cox proportional hazard model was used for survival analyses and for analysing risk factors to create a nomogram for mortality prediction. The accuracy of the model was evaluated by C-index and calibration curve.
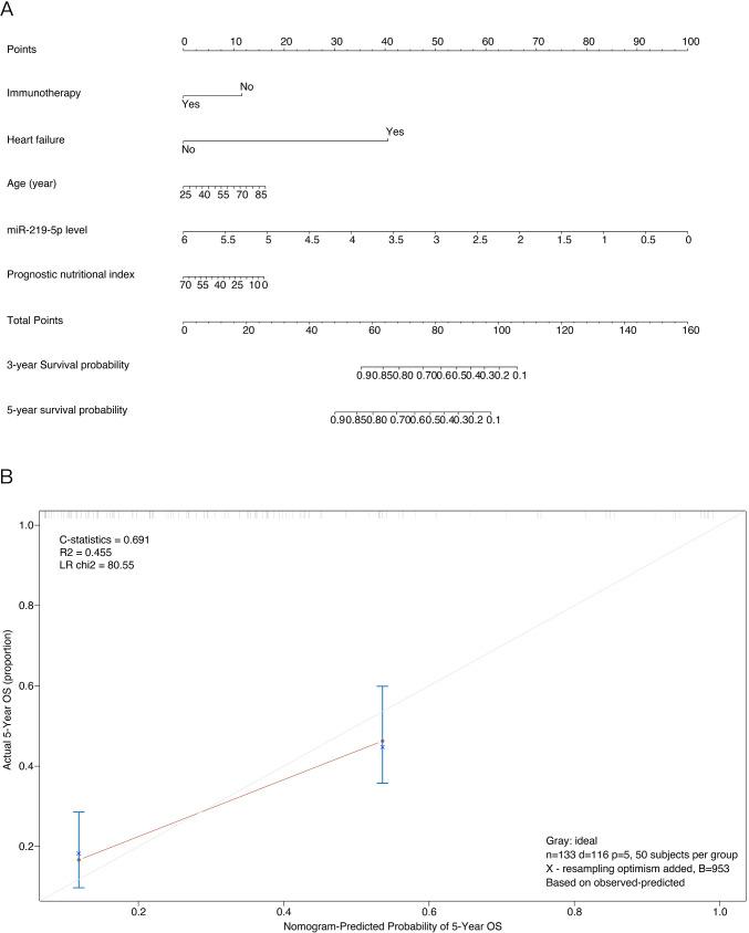
Mortality in patients with a high level of miR-219-5p (≥1.50) (n=67) was 74.6%, while mortality in the low-level group (n=66) was 100.0%. Based on univariate analysis, we included significant factors (p<0.05) in a multivariate regression model: patients with high level of miR-219-5p (HR 0.39, 95% CI 0.26-0.59, p<0.001), immunotherapy (HR 0.44, 95% CI 0.23-0.84, p<0.001) and prognostic nutritional index score >47.9 (HR=0.45, 95% CI 0.24-0.83, p=0.01) remained statistically significant factors for improved overall survival. The nomogram had good accuracy in estimating the risk, with a bootstrap-corrected C-index of 0.691. External validation indicated an area under the curve of 0.749 (0.709-0.788).
The miR-219-5p level was associated with a reduced risk of mortality in patients with SCLC. A nomogram incorporating MiR-219-5p level and clinical factors demonstrated good accuracy in estimating the risk of overall mortality. Prospective validation of the prognostic nomogram is needed.
小细胞肺癌(SCLC)是一种致命的人类恶性肿瘤,先前的研究支持 microRNA 对癌症进展的贡献。miR-219-5p 在 SCLC 患者中的预后价值尚不清楚。本研究旨在评估 miR-219-5p 对 SCLC 患者死亡率的预测价值,并将 miR-219-5p 水平纳入死亡率预测模型和列线图。
回顾性观察性队列研究。
我们的主要队列包括 2010 年 3 月 1 日至 2015 年 6 月 1 日期间苏州相城区人民医院 133 例 SCLC 患者的数据。四川肿瘤医院和苏州大学第一附属医院 86 例非小细胞肺癌患者的数据用于外部验证。
入院时采集组织样本并储存,以后测定 miR-219-5p 水平。使用 Cox 比例风险模型进行生存分析和分析风险因素,以创建死亡率预测的列线图。通过 C 指数和校准曲线评估模型的准确性。
miR-219-5p 水平较高(≥1.50)(n=67)患者的死亡率为 74.6%,而 miR-219-5p 水平较低(n=66)患者的死亡率为 100.0%。基于单因素分析,我们将显著因素(p<0.05)纳入多因素回归模型:miR-219-5p 水平高的患者(HR 0.39,95%CI 0.26-0.59,p<0.001)、免疫治疗(HR 0.44,95%CI 0.23-0.84,p<0.001)和预后营养指数评分>47.9(HR=0.45,95%CI 0.24-0.83,p=0.01)仍是总体生存改善的统计学显著因素。列线图在估计风险方面具有良好的准确性,经 bootstrap 校正的 C 指数为 0.691。外部验证显示曲线下面积为 0.749(0.709-0.788)。
miR-219-5p 水平与 SCLC 患者的死亡率降低相关。纳入 miR-219-5p 水平和临床因素的列线图在估计总体死亡率风险方面具有良好的准确性。需要前瞻性验证预后列线图。