• 文献检索
  • 文档翻译
  • 深度研究
  • 学术资讯
  • Suppr Zotero 插件Zotero 插件
  • 邀请有礼
  • 套餐&价格
  • 历史记录
应用&插件
Suppr Zotero 插件Zotero 插件浏览器插件Mac 客户端Windows 客户端微信小程序
定价
高级版会员购买积分包购买API积分包
服务
文献检索文档翻译深度研究API 文档MCP 服务
关于我们
关于 Suppr公司介绍联系我们用户协议隐私条款
关注我们

Suppr 超能文献

核心技术专利:CN118964589B侵权必究
粤ICP备2023148730 号-1Suppr @ 2026

文献检索

告别复杂PubMed语法,用中文像聊天一样搜索,搜遍4000万医学文献。AI智能推荐,让科研检索更轻松。

立即免费搜索

文件翻译

保留排版,准确专业,支持PDF/Word/PPT等文件格式,支持 12+语言互译。

免费翻译文档

深度研究

AI帮你快速写综述,25分钟生成高质量综述,智能提取关键信息,辅助科研写作。

立即免费体验

基于 RNA 的配位聚合物水凝胶中的分级自组装。

Hierarchical self-assembly in an RNA-based coordination polymer hydrogel.

机构信息

Chemical Nanoscience Labs, Chemistry, School of Natural and Environmental Sciences, Newcastle University, Newcastle upon Tyne, NE1 7RU, UK.

Departamento de Química Inorgánica, Orgánica y Bioquímica, Facultad de Ciencias y Tecnologías Químicas, UCLM, Spain.

出版信息

Dalton Trans. 2023 May 2;52(17):5545-5551. doi: 10.1039/d3dt00634d.

DOI:10.1039/d3dt00634d
PMID:37009664
原文链接:https://pmc.ncbi.nlm.nih.gov/articles/PMC10152458/
Abstract

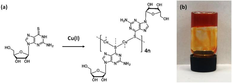
An RNA-based coordination polymer is formed by the aqueous reaction of Cu ions with the thionucleoside enantiomer (-)6-thioguanosine, (6tGH). The resulting polymer, [Cu(μ-S-thioG)]1, has a one-dimensional structure based on a [Cu-S] core and undergoes extensive hierarchical self-assembly transforming from oligomeric chains → rod → cable → bundle through which a fibrous gel forms, that undergoes syneresis to form a self-supporting mass. The assembly involves the formation of helical cables/bundles and, in combination with the intrinsic photoemission of the polymer, results in the material exhibiting circularly polarised luminescence (CPL).

摘要

一种基于 RNA 的配位聚合物是通过 Cu 离子与硫核苷对映异构体 (-)6-硫鸟嘌呤,(6tGH)在水溶液中的反应形成的。所得聚合物 [Cu(μ-S-thioG)]1 具有基于 [Cu-S] 核的一维结构,并通过寡聚物链→棒→缆绳→束经历广泛的分级自组装转变,其中形成纤维状凝胶,通过收缩形成自支撑质量。该组装涉及螺旋缆绳/束的形成,并且与聚合物的固有光致发光相结合,导致材料表现出圆偏振发光 (CPL)。

https://cdn.ncbi.nlm.nih.gov/pmc/blobs/5e9e/10152458/a14aa30200ea/d3dt00634d-f9.jpg
https://cdn.ncbi.nlm.nih.gov/pmc/blobs/5e9e/10152458/d125cdbeca61/d3dt00634d-f1.jpg
https://cdn.ncbi.nlm.nih.gov/pmc/blobs/5e9e/10152458/4802d7789743/d3dt00634d-f2.jpg
https://cdn.ncbi.nlm.nih.gov/pmc/blobs/5e9e/10152458/b5ccac183d89/d3dt00634d-f3.jpg
https://cdn.ncbi.nlm.nih.gov/pmc/blobs/5e9e/10152458/e1dc0780fa40/d3dt00634d-s1.jpg
https://cdn.ncbi.nlm.nih.gov/pmc/blobs/5e9e/10152458/b2466711fcc1/d3dt00634d-f4.jpg
https://cdn.ncbi.nlm.nih.gov/pmc/blobs/5e9e/10152458/5567fa827726/d3dt00634d-f5.jpg
https://cdn.ncbi.nlm.nih.gov/pmc/blobs/5e9e/10152458/f8949e7d62e3/d3dt00634d-f6.jpg
https://cdn.ncbi.nlm.nih.gov/pmc/blobs/5e9e/10152458/f3e49b471e56/d3dt00634d-f7.jpg
https://cdn.ncbi.nlm.nih.gov/pmc/blobs/5e9e/10152458/a9475846ddff/d3dt00634d-f8.jpg
https://cdn.ncbi.nlm.nih.gov/pmc/blobs/5e9e/10152458/a14aa30200ea/d3dt00634d-f9.jpg
https://cdn.ncbi.nlm.nih.gov/pmc/blobs/5e9e/10152458/d125cdbeca61/d3dt00634d-f1.jpg
https://cdn.ncbi.nlm.nih.gov/pmc/blobs/5e9e/10152458/4802d7789743/d3dt00634d-f2.jpg
https://cdn.ncbi.nlm.nih.gov/pmc/blobs/5e9e/10152458/b5ccac183d89/d3dt00634d-f3.jpg
https://cdn.ncbi.nlm.nih.gov/pmc/blobs/5e9e/10152458/e1dc0780fa40/d3dt00634d-s1.jpg
https://cdn.ncbi.nlm.nih.gov/pmc/blobs/5e9e/10152458/b2466711fcc1/d3dt00634d-f4.jpg
https://cdn.ncbi.nlm.nih.gov/pmc/blobs/5e9e/10152458/5567fa827726/d3dt00634d-f5.jpg
https://cdn.ncbi.nlm.nih.gov/pmc/blobs/5e9e/10152458/f8949e7d62e3/d3dt00634d-f6.jpg
https://cdn.ncbi.nlm.nih.gov/pmc/blobs/5e9e/10152458/f3e49b471e56/d3dt00634d-f7.jpg
https://cdn.ncbi.nlm.nih.gov/pmc/blobs/5e9e/10152458/a9475846ddff/d3dt00634d-f8.jpg
https://cdn.ncbi.nlm.nih.gov/pmc/blobs/5e9e/10152458/a14aa30200ea/d3dt00634d-f9.jpg

相似文献

1
Hierarchical self-assembly in an RNA-based coordination polymer hydrogel.基于 RNA 的配位聚合物水凝胶中的分级自组装。
Dalton Trans. 2023 May 2;52(17):5545-5551. doi: 10.1039/d3dt00634d.
2
Circularly polarised luminescence in an RNA-based homochiral, self-repairing, coordination polymer hydrogel.基于RNA的同手性、自修复配位聚合物水凝胶中的圆偏振发光
J Mater Chem C Mater. 2022 Apr 20;10(18):7329-7335. doi: 10.1039/d2tc00366j. eCollection 2022 May 12.
3
Self-Assembly of Peptide Hierarchical Helical Arrays with Sequence-Encoded Circularly Polarized Luminescence.具有序列编码圆偏振发光的肽分级螺旋阵列的自组装。
Nano Lett. 2021 Aug 11;21(15):6406-6415. doi: 10.1021/acs.nanolett.1c00697. Epub 2021 May 20.
4
Hierarchical self-assembly induced supramolecular polymer helical nanowires with white circularly polarized luminescence.分层自组装诱导具有白色圆偏振发光的超分子聚合物螺旋纳米线。
Chem Commun (Camb). 2022 Apr 7;58(29):4647-4650. doi: 10.1039/d2cc00336h.
5
From Short-Bite Ligand Assembled Ribbons to Nanosized Networks in Cu(I) Coordination Polymers Built Upon Bis(benzylthio)alkanes (BzS(CH)SBz; = 1-9).从短咬合配体组装的带状结构到基于双(苄硫基)烷烃(BzS(CH)SBz;n = 1-9)构建的铜(I)配位聚合物中的纳米尺寸网络结构。
Inorg Chem. 2020 Mar 16;59(6):3686-3708. doi: 10.1021/acs.inorgchem.9b03275. Epub 2020 Mar 5.
6
White-Light Emission and Circularly Polarized Luminescence from a Chiral Copper(I) Coordination Polymer through Symmetry-Breaking Crystallization.通过对称性破缺结晶实现手性铜(I)配位聚合物的白光发射和圆偏振发光
Angew Chem Int Ed Engl. 2022 May 23;61(22):e202201590. doi: 10.1002/anie.202201590. Epub 2022 Mar 30.
7
Real-Time Monitoring of Hierarchical Self-Assembly and Induction of Circularly Polarized Luminescence from Achiral Luminogens.实时监测手性发光体的分级自组装和圆偏振发光的诱导
ACS Nano. 2019 Mar 26;13(3):3618-3628. doi: 10.1021/acsnano.9b00218. Epub 2019 Mar 7.
8
A coordination polymer for the site-specific integration of semiconducting sequences into DNA-based materials.一种用于将半导体序列位点特异性整合到基于DNA的材料中的配位聚合物。
Nat Commun. 2017 Sep 28;8(1):720. doi: 10.1038/s41467-017-00852-6.
9
Tetranuclear copper(II) complexes bridged by alpha-D-glucose-1-phosphate and incorporation of sugar acids through the Cu4 core structural changes.由α-D-葡萄糖-1-磷酸桥联的四核铜(II)配合物以及通过Cu4核心结构变化引入糖酸
Inorg Chem. 2006 Aug 21;45(17):6646-60. doi: 10.1021/ic060202h.
10
Heterobimetallic Cluster-Based Coordination Polymers: Assembly, Structures and Third-Order Nonlinear Optical Properties.基于异双金属簇的配位聚合物:组装、结构及三阶非线性光学性质
Chem Asian J. 2021 Sep 20;16(18):2674-2680. doi: 10.1002/asia.202100698. Epub 2021 Aug 3.

引用本文的文献

1
Metal Exchange in Thioguanosine Coordination Polymers of Gold (I) and Silver (I).金(I)和银(I)的硫代鸟苷配位聚合物中的金属交换
Chemistry. 2025 Mar 25;31(18):e202404318. doi: 10.1002/chem.202404318. Epub 2025 Feb 21.
2
A Chirally Locked Bis-perylene Diimide Macrocycle: Consequences for Chiral Self-Assembly and Circularly Polarized Luminescence.一种手性锁定的双苝二酰亚胺大环:对手性自组装和圆偏振发光的影响。
J Am Chem Soc. 2024 Feb 28;146(8):5470-5479. doi: 10.1021/jacs.3c13191. Epub 2024 Feb 14.
3
Vesicles, fibres, films and crystals: A low-molecular-weight-gelator [Au(6-thioguanosine)]Cl which exhibits a co-operative anion-induced transition from vesicles to a fibrous metallo-hydrogel.

本文引用的文献

1
A chiral 3D silver(I)-benzenedithiolate coordination polymer exhibiting photoemission and non-linear optical response.一种具有光发射和非线性光学响应的手性三维银(I)-苯二硫醇配位聚合物。
Chem Commun (Camb). 2022 Jul 19;58(58):8081-8084. doi: 10.1039/d2cc02114e.
2
Circularly polarised luminescence in an RNA-based homochiral, self-repairing, coordination polymer hydrogel.基于RNA的同手性、自修复配位聚合物水凝胶中的圆偏振发光
J Mater Chem C Mater. 2022 Apr 20;10(18):7329-7335. doi: 10.1039/d2tc00366j. eCollection 2022 May 12.
3
Rational and site-selective formation of coordination polymers consisting of d coinage metal ions with thiolate ligands using a metal ion-doped polymer substrate.
囊泡、纤维、薄膜与晶体:一种低分子量凝胶剂[Au(6-硫代鸟苷)]Cl,其呈现出协同的阴离子诱导转变,从囊泡转变为纤维状金属水凝胶。
Soft Matter. 2023 Nov 8;19(43):8386-8402. doi: 10.1039/d3sm01006f.
利用金属离子掺杂的聚合物基底,由d族硬币金属离子与硫醇盐配体合理且位点选择性地形成配位聚合物。
RSC Adv. 2022 Jan 28;12(6):3716-3720. doi: 10.1039/d2ra00269h. eCollection 2022 Jan 24.
4
Cyclic Solid-State Multiple Phase Changes with Tuned Photoemission in a Gold Thiolate Coordination Polymer.金硫醇盐配位聚合物中具有可调光发射的循环固态多相变化
Angew Chem Int Ed Engl. 2022 Mar 28;61(14):e202117261. doi: 10.1002/anie.202117261. Epub 2022 Feb 16.
5
Controlling Syneresis of Hydrogels Using Organic Salts.利用有机盐控制水凝胶的相分离。
Angew Chem Int Ed Engl. 2022 Jan 21;61(4):e202115021. doi: 10.1002/anie.202115021. Epub 2021 Dec 7.
6
Transparent and luminescent glasses of gold thiolate coordination polymers.硫醇金配位聚合物的透明发光玻璃。
Chem Sci. 2020 Jun 9;11(26):6815-6823. doi: 10.1039/d0sc02258f. eCollection 2020 Jul 14.
7
Facile Synthesis of [Cu(SCH )] Nanowires with High Charge Mobility.具有高电荷迁移率的[Cu(SCH )]纳米线的简易合成
Chempluschem. 2014 Apr;79(4):559-563. doi: 10.1002/cplu.201300415. Epub 2014 Feb 4.
8
New Lamellar Silver Thiolate Coordination Polymers with Tunable Photoluminescence Energies by Metal Substitution.通过金属取代实现光致发光能量可调的新型层状硫醇银配位聚合物。
Inorg Chem. 2019 Jan 7;58(1):99-105. doi: 10.1021/acs.inorgchem.8b01257. Epub 2018 Dec 11.
9
Unraveling Mechanisms of Chiral Induction in Double-Helical Metallopolymers.解析双螺旋金属聚合物中手性诱导的机制
J Am Chem Soc. 2018 Aug 15;140(32):10344-10353. doi: 10.1021/jacs.8b06195. Epub 2018 Aug 1.
10
Crystal structure of a DNA duplex containing four Ag(i) ions in consecutive dinuclear Ag(i)-mediated base pairs: 4-thiothymine-2Ag(i)-4-thiothymine.包含四个银(I)离子且以连续双核银(I)介导碱基对形式存在的DNA双链体的晶体结构:4-硫代胸腺嘧啶-2银(I)-4-硫代胸腺嘧啶。
Chem Commun (Camb). 2017 Aug 22;53(86):11747-11750. doi: 10.1039/c7cc06153f.