Suppr超能文献

洞穴如何呼吸:喀斯特地下的气流模式。

How do caves breathe: The airflow patterns in karst underground.

机构信息

Karst Research Institute, ZRC SAZU, Postojna, Slovenia.

出版信息

PLoS One. 2023 Apr 3;18(4):e0283767. doi: 10.1371/journal.pone.0283767. eCollection 2023.

Abstract

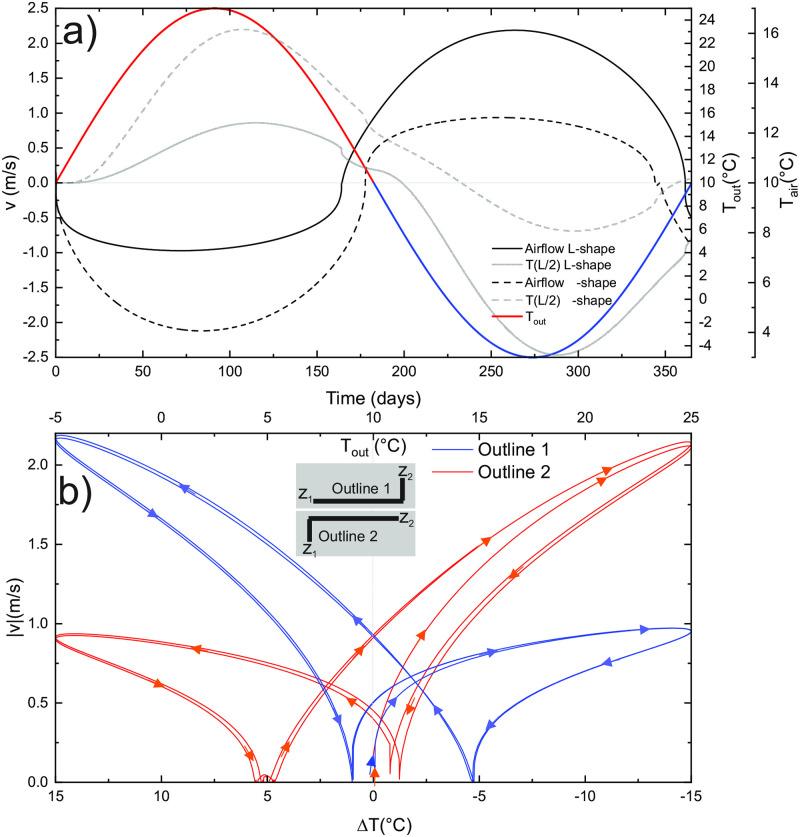
Caves and their surrounding fracture systems in the vadose zone of karst regions host a unique atmospheric environment. Understanding the airflow patterns in caves is critical to understanding the properties of the subsurface atmosphere and the chemical interactions between air, water, and rock. The most common driver of airflow in caves is the density difference between the subsurface and the outside air, known as the chimney effect. Observations show that seasonal airflow patterns in caves also depend on the geometry of passages. In this work, I present and use a numerical model of a passage embedded and thermally coupled to a rock mass to study the relationship between the airflow pattern and passage geometry. As the outside air enters the subsurface, it approaches thermal equilibrium with the rock mass along a characteristic relaxation length. This determines the temperature and density contrast between the inside and outside air, and the resulting pressure difference, which drives the airflow. In passages with non-uniform outlines and/or cross-sections, the relaxation length may depend on the flow direction, resulting in different airflow velocities in cold and warm periods for the same absolute temperature difference between the massif and the external temperature. In a passage with a V-shaped longitudinal profile, the airflow is triggered by instability which causes the feedback between the relaxation length and airflow velocity. The airflow pattern can also be altered by snow and ice. Heat transfer in the rock and the thermal inertia of the rock also change the relaxation lengths and cause hysteresis in the curve presenting the airflow velocity vs. temperature difference.

摘要

洞穴及其周围的裂隙系统构成了喀斯特地区包气带独特的大气环境。了解洞穴中的气流模式对于理解地下大气的特性以及空气、水和岩石之间的化学相互作用至关重要。洞穴中最常见的气流驱动因素是地下和外部空气之间的密度差异,即烟囱效应。观测表明,洞穴的季节性气流模式也取决于通道的几何形状。在这项工作中,我提出并使用了一个嵌入和与岩体热耦合的通道的数值模型,以研究气流模式和通道几何形状之间的关系。当外部空气进入地下时,它会沿着特征松弛长度与岩体达到热平衡。这决定了内外空气之间的温度和密度差异,以及由此产生的压力差,从而驱动气流。在具有非均匀轮廓和/或横截面积的通道中,松弛长度可能取决于流动方向,从而导致在同一岩体和外部温度之间的绝对温差下,冷暖和温暖时期的气流速度不同。在具有 V 形纵向轮廓的通道中,气流是由不稳定性触发的,这会导致松弛长度和气流速度之间的反馈。雪和冰也会改变气流模式。岩石中的热传递和岩石的热惯性也会改变松弛长度,并导致气流速度与温差关系曲线的滞后。

https://cdn.ncbi.nlm.nih.gov/pmc/blobs/261b/10069778/97184774f96b/pone.0283767.g001.jpg

文献AI研究员

20分钟写一篇综述,助力文献阅读效率提升50倍。

立即体验

用中文搜PubMed

大模型驱动的PubMed中文搜索引擎

马上搜索

文档翻译

学术文献翻译模型,支持多种主流文档格式。

立即体验