Suppr超能文献

重建孢子皮质肽聚糖生物合成揭示了一种催化转酰胺化的脱乙酰酶。

Reconstituting Spore Cortex Peptidoglycan Biosynthesis Reveals a Deacetylase That Catalyzes Transamidation.

机构信息

Chemistry Department, Hamilton College, 198 College Hill Road, Clinton, New York 13323, United States.

出版信息

Biochemistry. 2023 Apr 18;62(8):1342-1346. doi: 10.1021/acs.biochem.3c00100. Epub 2023 Apr 6.

Abstract

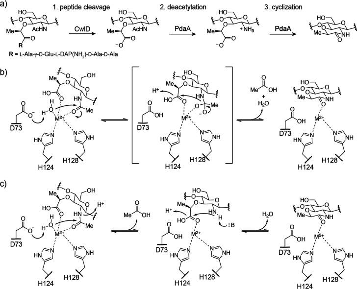
Some bacteria survive in nutrient-poor environments and resist killing by antimicrobials by forming spores. The cortex layer of the peptidoglycan cell wall that surrounds mature spores contains a unique modification, muramic-δ-lactam, that is essential for spore germination and outgrowth. Two proteins, the amidase CwlD and the deacetylase PdaA, are required for muramic-δ-lactam synthesis in cells, but their combined ability to generate muramic-δ-lactam has not been directly demonstrated. Here we report an in vitro reconstitution of cortex peptidoglycan biosynthesis, and we show that CwlD and PdaA together are sufficient for muramic-δ-lactam formation. Our method enables characterization of the individual reaction steps, and we show for the first time that PdaA has transamidase activity, catalyzing both the deacetylation of -acetylmuramic acid and cyclization of the product to form muramic-δ-lactam. This activity is unique among peptidoglycan deacetylases and is notable because it may involve the direct ligation of a carboxylic acid with a primary amine. Our reconstitution products are nearly identical to the cortex peptidoglycan found in spores, and we expect that they will be useful substrates for future studies of enzymes that act on the spore cortex.

摘要

有些细菌在营养贫瘠的环境中生存,并通过形成孢子来抵抗抗生素的杀灭。包围成熟孢子的肽聚糖细胞壁的皮质层含有一种独特的修饰物,即 muramic-δ-lactam,它对于孢子的萌发和生长至关重要。两种蛋白质,酰胺酶 CwlD 和脱乙酰酶 PdaA,在细胞中合成 muramic-δ-lactam 是必需的,但它们共同产生 muramic-δ-lactam 的能力尚未直接证明。在这里,我们报告了皮质层肽聚糖生物合成的体外重建,并且我们表明 CwlD 和 PdaA 一起足以形成 muramic-δ-lactam。我们的方法能够对各个反应步骤进行表征,并且我们首次表明 PdaA 具有转氨酰酶活性,可催化乙酰基-muramic 酸的脱乙酰化和产物的环化以形成 muramic-δ-lactam。这种活性在肽聚糖脱乙酰酶中是独特的,值得注意的是,它可能涉及羧酸与伯胺的直接连接。我们的重建产物与孢子中发现的皮质层肽聚糖几乎相同,我们预计它们将成为未来研究作用于孢子皮质层的酶的有用底物。

https://cdn.ncbi.nlm.nih.gov/pmc/blobs/19c0/10116595/ce5f35810533/bi3c00100_0001.jpg

文献AI研究员

20分钟写一篇综述,助力文献阅读效率提升50倍。

立即体验

用中文搜PubMed

大模型驱动的PubMed中文搜索引擎

马上搜索

文档翻译

学术文献翻译模型,支持多种主流文档格式。

立即体验