• 文献检索
  • 文档翻译
  • 深度研究
  • 学术资讯
  • Suppr Zotero 插件Zotero 插件
  • 邀请有礼
  • 套餐&价格
  • 历史记录
应用&插件
Suppr Zotero 插件Zotero 插件浏览器插件Mac 客户端Windows 客户端微信小程序
定价
高级版会员购买积分包购买API积分包
服务
文献检索文档翻译深度研究API 文档MCP 服务
关于我们
关于 Suppr公司介绍联系我们用户协议隐私条款
关注我们

Suppr 超能文献

核心技术专利:CN118964589B侵权必究
粤ICP备2023148730 号-1Suppr @ 2026

文献检索

告别复杂PubMed语法,用中文像聊天一样搜索,搜遍4000万医学文献。AI智能推荐,让科研检索更轻松。

立即免费搜索

文件翻译

保留排版,准确专业,支持PDF/Word/PPT等文件格式,支持 12+语言互译。

免费翻译文档

深度研究

AI帮你快速写综述,25分钟生成高质量综述,智能提取关键信息,辅助科研写作。

立即免费体验

循环L-肉碱、γ-丁甜菜碱和氧化三甲胺水平与胃癌的关系

The Association of Circulating L-Carnitine, γ-Butyrobetaine and Trimethylamine N-Oxide Levels with Gastric Cancer.

作者信息

Stonāns Ilmārs, Kuzmina Jelizaveta, Poļaka Inese, Grīnberga Solveiga, Sevostjanovs Eduards, Liepiņš Edgars, Aleksandraviča Ilona, Šantare Daiga, Kiršners Arnis, Škapars Roberts, Pčolkins Andrejs, Tolmanis Ivars, Sīviņš Armands, Leja Mārcis, Dambrova Maija

机构信息

Institute of Clinical and Preventive Medicine, University of Latvia, LV-1079 Riga, Latvia.

Mass Spectrometry Group, Latvian Institute of Organic Synthesis, LV-1006 Riga, Latvia.

出版信息

Diagnostics (Basel). 2023 Apr 4;13(7):1341. doi: 10.3390/diagnostics13071341.

DOI:10.3390/diagnostics13071341
PMID:37046558
原文链接:https://pmc.ncbi.nlm.nih.gov/articles/PMC10093028/
Abstract

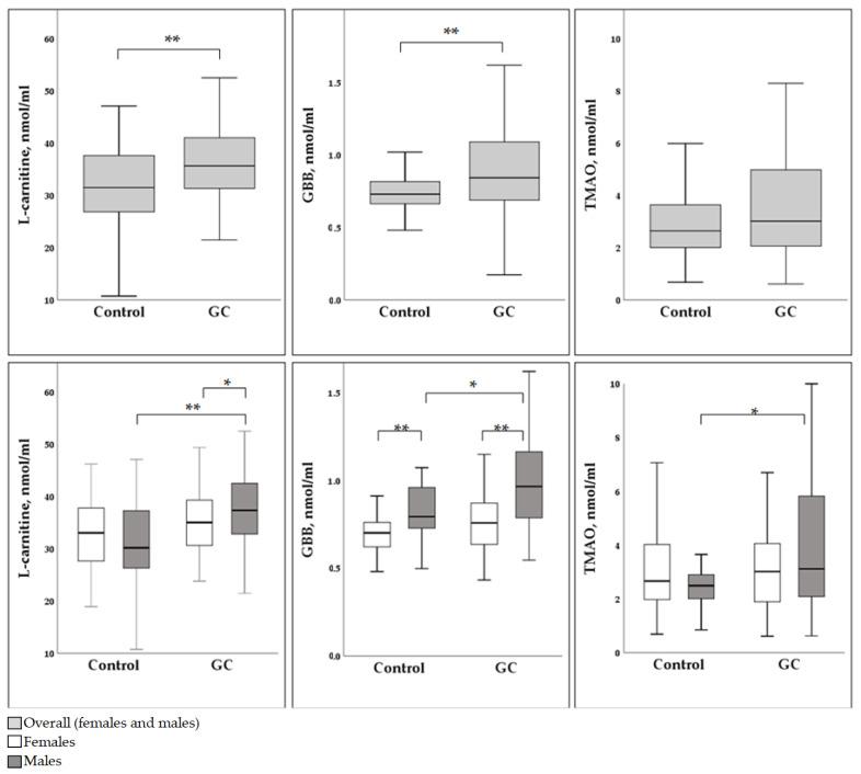
Our study aimed to evaluate the association between gastric cancer (GC) and higher concentrations of the metabolites L-carnitine, γ-butyrobetaine (GBB) and gut microbiota-mediated trimethylamine N-oxide (TMAO) in the circulation. There is evidence suggesting that higher levels of TMAO and its precursors in blood can be indicative of either a higher risk of malignancy or indeed its presence; however, GC has not been studied in this regard until now. Our study included 83 controls without high-risk stomach lesions and 105 GC cases. Blood serum L-carnitine, GBB and TMAO levels were measured by ultra-high-performance liquid chromatography-mass spectrometry (UPLC/MS/MS). Although there were no significant differences between female control and GC groups, we found a significant difference in circulating levels of metabolites between the male control group and the male GC group, with median levels of L-carnitine reaching 30.22 (25.78-37.57) nmol/mL vs. 37.38 (32.73-42.61) nmol/mL ( < 0.001), GBB-0.79 (0.73-0.97) nmol/mL vs. 0.97 (0.78-1.16) nmol/mL ( < 0.05) and TMAO-2.49 (2.00-2.97) nmol/mL vs. 3.12 (2.08-5.83) nmol/mL ( < 0.05). Thus, our study demonstrated the association between higher blood levels of L-carnitine, GBB, TMAO and GC in males, but not in females. Furthermore, correlations of any two investigated metabolites were stronger in the GC groups of both genders in comparison to the control groups. Our findings reveal the potential role of L-carnitine, GBB and TMAO in GC and suggest metabolic differences between genders. In addition, the logistic regression analysis revealed that the only significant factor in terms of predicting whether the patient belonged to the control or to the GC group was the blood level of L-carnitine in males only. Hence, carnitine might be important as a biomarker or a risk factor for GC, especially in males.

摘要

我们的研究旨在评估胃癌(GC)与循环中代谢物L-肉碱、γ-丁甜菜碱(GBB)以及肠道微生物群介导的氧化三甲胺(TMAO)浓度升高之间的关联。有证据表明,血液中较高水平的TMAO及其前体可能表明恶性肿瘤风险较高或确实存在恶性肿瘤;然而,迄今为止尚未在这方面对胃癌进行研究。我们的研究纳入了83名无高危胃部病变的对照者和105例胃癌患者。采用超高效液相色谱-质谱联用仪(UPLC/MS/MS)测定血清L-肉碱、GBB和TMAO水平。虽然女性对照组和胃癌组之间没有显著差异,但我们发现男性对照组和男性胃癌组之间循环代谢物水平存在显著差异,L-肉碱的中位数水平分别为30.22(25.78 - 37.57)nmol/mL和37.38(32.73 - 42.61)nmol/mL(<0.001),GBB为0.79(0.73 - 0.97)nmol/mL和0.97(0.78 - 1.16)nmol/mL(<0.05),TMAO为2.49(2.00 - 2.97)nmol/mL和3.12(2.08 - 5.83)nmol/mL(<0.05)。因此,我们的研究证明了男性血液中较高水平的L-肉碱、GBB、TMAO与胃癌之间存在关联,而女性则不然。此外,与对照组相比,两种性别的胃癌组中任意两种研究代谢物之间的相关性更强。我们的研究结果揭示了L-肉碱、GBB和TMAO在胃癌中的潜在作用,并表明了性别之间的代谢差异。此外,逻辑回归分析显示,在预测患者属于对照组还是胃癌组方面,唯一显著的因素仅是男性血液中L-肉碱的水平。因此,肉碱可能作为胃癌的生物标志物或危险因素具有重要意义,尤其是在男性中。

https://cdn.ncbi.nlm.nih.gov/pmc/blobs/bc53/10093028/0928aec6c5c7/diagnostics-13-01341-g001.jpg
https://cdn.ncbi.nlm.nih.gov/pmc/blobs/bc53/10093028/0928aec6c5c7/diagnostics-13-01341-g001.jpg
https://cdn.ncbi.nlm.nih.gov/pmc/blobs/bc53/10093028/0928aec6c5c7/diagnostics-13-01341-g001.jpg

相似文献

1
The Association of Circulating L-Carnitine, γ-Butyrobetaine and Trimethylamine N-Oxide Levels with Gastric Cancer.循环L-肉碱、γ-丁甜菜碱和氧化三甲胺水平与胃癌的关系
Diagnostics (Basel). 2023 Apr 4;13(7):1341. doi: 10.3390/diagnostics13071341.
2
Suppression of intestinal microbiota-dependent production of pro-atherogenic trimethylamine N-oxide by shifting L-carnitine microbial degradation.通过改变左旋肉碱的微生物降解来抑制肠道微生物群依赖的促动脉粥样硬化三甲胺 N-氧化物的产生。
Life Sci. 2014 Nov 11;117(2):84-92. doi: 10.1016/j.lfs.2014.09.028. Epub 2014 Oct 7.
3
Trimethylamine-N-oxide is present in human follicular fluid and is a negative predictor of embryo quality.三甲基胺 N-氧化物存在于人类卵泡液中,是胚胎质量的负预测因子。
Hum Reprod. 2020 Jan 1;35(1):81-88. doi: 10.1093/humrep/dez224.
4
Determination of trimethylamine-N-oxide in combination with L-carnitine and γ-butyrobetaine in human plasma by UPLC/MS/MS.采用超高效液相色谱/串联质谱法测定人血浆中与左旋肉碱和γ-丁酸甜菜碱结合的氧化三甲胺-N-氧化物。
Biomed Chromatogr. 2015 Nov;29(11):1670-4. doi: 10.1002/bmc.3477. Epub 2015 Apr 14.
5
APOE ε4 and Alzheimer's disease diagnosis associated differences in L-carnitine, GBB, TMAO, and acylcarnitines in blood and brain.载脂蛋白 E ε4 与阿尔茨海默病诊断相关的血脑 L-肉碱、GBB、TMAO 和酰基肉碱差异。
Curr Res Transl Med. 2023 Jan-Mar;71(1):103362. doi: 10.1016/j.retram.2022.103362. Epub 2022 Aug 11.
6
The associations between TMAO-related metabolites and blood lipids and the potential impact of rosuvastatin therapy.三甲胺氮氧化物相关代谢物与血脂的相关性及瑞舒伐他汀治疗的潜在影响。
Lipids Health Dis. 2022 Jul 21;21(1):60. doi: 10.1186/s12944-022-01673-3.
7
Association of Trimethylamine N-Oxide and Related Metabolites in Plasma and Incident Type 2 Diabetes: The Cardiovascular Health Study.血浆中三甲胺 N-氧化物及相关代谢物与 2 型糖尿病发病风险的相关性:心血管健康研究。
JAMA Netw Open. 2021 Aug 2;4(8):e2122844. doi: 10.1001/jamanetworkopen.2021.22844.
8
Association of Trimethylamine N-Oxide and Metabolites With Mortality in Older Adults.三甲胺氮氧化物及其代谢物与老年人死亡率的关系。
JAMA Netw Open. 2022 May 2;5(5):e2213242. doi: 10.1001/jamanetworkopen.2022.13242.
9
Neither Trimethylamine-N-Oxide nor Trimethyllysine Is Associated with Atherosclerosis: A Cross-Sectional Study in Older Japanese Adults.三甲胺 N-氧化物和三甲胺赖氨酸均与动脉粥样硬化无关:日本老年成年人的横断面研究。
Nutrients. 2023 Feb 2;15(3):759. doi: 10.3390/nu15030759.
10
Ruminant meat and milk contain δ-valerobetaine, another precursor of trimethylamine N-oxide (TMAO) like γ-butyrobetaine.反刍动物的肉和奶中含有 δ-正缬氨酸甜菜碱,这是另一种与 γ-丁基甜菜碱一样的三甲胺 N-氧化物(TMAO)前体。
Food Chem. 2018 Sep 15;260:193-199. doi: 10.1016/j.foodchem.2018.03.114. Epub 2018 Apr 5.

引用本文的文献

1
Serum carnitine and cancer risk: a Mendelian randomization study identifying pancreatic cancer as a modifiable metabolic target.血清肉碱与癌症风险:一项孟德尔随机化研究将胰腺癌确定为可改变的代谢靶点。
Discov Oncol. 2025 Jul 10;16(1):1300. doi: 10.1007/s12672-025-03161-3.
2
Deciphering microbial and metabolic influences in gastrointestinal diseases-unveiling their roles in gastric cancer, colorectal cancer, and inflammatory bowel disease.解读胃肠道疾病中的微生物和代谢影响——揭示它们在胃癌、结直肠癌和炎症性肠病中的作用。
J Transl Med. 2025 May 16;23(1):549. doi: 10.1186/s12967-025-06552-w.
3
Metabolomic profiling of upper GI malignancies in blood and tissue: a systematic review and meta-analysis.

本文引用的文献

1
Targeting cancer-specific metabolic pathways for developing novel cancer therapeutics.靶向癌症特异性代谢途径以开发新型癌症治疗方法。
Front Immunol. 2022 Dec 22;13:955476. doi: 10.3389/fimmu.2022.955476. eCollection 2022.
2
The Association of Serum L-Carnitine Concentrations with the Risk of Cancer in Chinese Adults with Hypertension.血清左旋肉碱浓度与中国高血压成人癌症风险的关联。
Nutrients. 2022 Nov 24;14(23):4999. doi: 10.3390/nu14234999.
3
Association between Levels of Trimethylamine N-Oxide and Cancer: A Systematic Review and Meta-Analysis.
上消化道恶性肿瘤的血液和组织代谢组学分析:系统评价和荟萃分析。
J Cancer Res Clin Oncol. 2024 Jul 1;150(7):331. doi: 10.1007/s00432-024-05857-5.
4
Distinguishing benign and malignant thyroid nodules using plasma trimethylamine N-oxide, carnitine, choline and betaine.使用血浆三甲胺 N-氧化物、肉碱、胆碱和甜菜碱鉴别甲状腺良恶性结节。
J Cancer Res Clin Oncol. 2024 Mar 20;150(3):142. doi: 10.1007/s00432-024-05666-w.
5
Contributions of the Microbiome-Derived Metabolome for Risk Assessment and Prognostication of Pancreatic Cancer.微生物组衍生代谢组学在胰腺癌风险评估和预后预测中的作用。
Clin Chem. 2024 Jan 4;70(1):102-115. doi: 10.1093/clinchem/hvad186.
三甲胺氮氧化物水平与癌症的关系:系统评价和荟萃分析。
Nutr Cancer. 2023;75(2):402-414. doi: 10.1080/01635581.2022.2129080. Epub 2022 Oct 10.
4
The microbiome-derived metabolite TMAO drives immune activation and boosts responses to immune checkpoint blockade in pancreatic cancer.微生物组衍生代谢物 TMAO 驱动免疫激活,并增强对胰腺癌免疫检查点阻断的反应。
Sci Immunol. 2022 Sep 9;7(75):eabn0704. doi: 10.1126/sciimmunol.abn0704.
5
Circulating Carnitine Levels and Breast Cancer: A Matched Retrospective Case-Control Study.循环肉碱水平与乳腺癌:一项配对回顾性病例对照研究。
Front Oncol. 2022 Jul 7;12:891619. doi: 10.3389/fonc.2022.891619. eCollection 2022.
6
The current and future incidence and mortality of gastric cancer in 185 countries, 2020-40: A population-based modelling study.2020 - 2040年185个国家胃癌的当前及未来发病率和死亡率:一项基于人群的建模研究
EClinicalMedicine. 2022 Apr 21;47:101404. doi: 10.1016/j.eclinm.2022.101404. eCollection 2022 May.
7
TMAO and Gut Microbial-Derived Metabolites TML and γBB Are Not Associated with Thrombotic Risk in Patients with Venous Thromboembolism.氧化三甲胺及肠道微生物衍生代谢物TML和γ-丁基甜菜碱与静脉血栓栓塞症患者的血栓形成风险无关。
J Clin Med. 2022 Mar 4;11(5):1425. doi: 10.3390/jcm11051425.
8
Serum carnitine as a biomarker of sarcopenia and nutritional status in preoperative gastrointestinal cancer patients.血清肉碱可作为术前胃肠道癌患者肌肉减少症和营养状况的生物标志物。
J Cachexia Sarcopenia Muscle. 2022 Feb;13(1):287-295. doi: 10.1002/jcsm.12906. Epub 2021 Dec 22.
9
Gut Metabolite Trimethylamine-N-Oxide in Atherosclerosis: From Mechanism to Therapy.肠道代谢物氧化三甲胺与动脉粥样硬化:从机制到治疗
Front Cardiovasc Med. 2021 Nov 23;8:723886. doi: 10.3389/fcvm.2021.723886. eCollection 2021.
10
Carnitine Palmitoyltransferase System: A New Target for Anti-Inflammatory and Anticancer Therapy?肉碱棕榈酰转移酶系统:抗炎和抗癌治疗的新靶点?
Front Pharmacol. 2021 Oct 26;12:760581. doi: 10.3389/fphar.2021.760581. eCollection 2021.