• 文献检索
  • 文档翻译
  • 深度研究
  • 学术资讯
  • Suppr Zotero 插件Zotero 插件
  • 邀请有礼
  • 套餐&价格
  • 历史记录
应用&插件
Suppr Zotero 插件Zotero 插件浏览器插件Mac 客户端Windows 客户端微信小程序
定价
高级版会员购买积分包购买API积分包
服务
文献检索文档翻译深度研究API 文档MCP 服务
关于我们
关于 Suppr公司介绍联系我们用户协议隐私条款
关注我们

Suppr 超能文献

核心技术专利:CN118964589B侵权必究
粤ICP备2023148730 号-1Suppr @ 2026

文献检索

告别复杂PubMed语法,用中文像聊天一样搜索,搜遍4000万医学文献。AI智能推荐,让科研检索更轻松。

立即免费搜索

文件翻译

保留排版,准确专业,支持PDF/Word/PPT等文件格式,支持 12+语言互译。

免费翻译文档

深度研究

AI帮你快速写综述,25分钟生成高质量综述,智能提取关键信息,辅助科研写作。

立即免费体验

新型 4-噻唑烷酮衍生物与抗 HER2 抗体在人 AGS 胃癌细胞中的多靶点抗癌活性。

Multi-Targeting Anticancer Activity of a New 4-Thiazolidinone Derivative with Anti-HER2 Antibodies in Human AGS Gastric Cancer Cells.

机构信息

Department of Biotechnology, Faculty of Pharmacy, Medical University of Bialystok, 15-089 Bialystok, Poland.

Department of Biotechnology and Cell Biology, Medical College, University of Information Technology and Management in Rzeszow, Sucharskiego 2, 35-225 Rzeszow, Poland.

出版信息

Int J Mol Sci. 2023 Apr 5;24(7):6791. doi: 10.3390/ijms24076791.

DOI:10.3390/ijms24076791
PMID:37047765
原文链接:https://pmc.ncbi.nlm.nih.gov/articles/PMC10095353/
Abstract

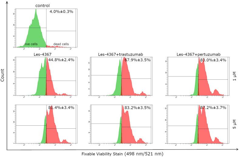
Combining chemotherapy with immunotherapy still remains a regimen in anticancer therapy. Novel 4-thiazolidinone-bearing hybrid molecules possess well-documented anticancer activity, and together with anti-HER2 antibodies, may represent a promising strategy in treating patients with gastric cancer with confirmed human epidermal growth factor receptor 2 (HER2) expression. The aim of the study was to synthesize a new 4-thiazolidinone derivative (Les-4367) and investigate its molecular mechanism of action in combination with trastuzumab or pertuzumab in human AGS gastric cancer cells. AGS cell viability and antiproliferative potential were examined. The effect of the tested combinations as well as monotherapy on apoptosis and autophagy was also determined. Metalloproteinase-2 (MMP-2), intercellular adhesion molecule 1 (ICAM-1), pro-inflammatory and anti-inflammatory cytokine concentrations were also demonstrated by the ELISA technique. We proved that pertuzumab and trastuzumab were very effective in increasing the sensitivity of AGS gastric cancer cells to novel Les-4367. The molecular mechanism of action of the tested combination is connected with the induction of apoptosis. Additionally, the anticancer activity is not associated with the autophagy process. Decreased concentrations of pro-inflammatory cytokines, MMP-2 and ICAM-1-were observed. The novel combination of drugs based on anti-HER2 antibodies with Les-4367 is a promising strategy against AGS gastric cancer cells.

摘要

将化疗与免疫疗法相结合仍然是癌症治疗的一种方案。新型含 4-噻唑烷酮的杂合分子具有良好的抗癌活性,与抗 HER2 抗体联合使用,可能是治疗 HER2 表达明确的胃癌患者的一种有前途的策略。本研究的目的是合成一种新型 4-噻唑烷酮衍生物(Les-4367),并研究其与曲妥珠单抗或帕妥珠单抗联合在人 AGS 胃癌细胞中的作用机制。检测了 AGS 细胞活力和抗增殖潜力。还测定了测试组合以及单药治疗对细胞凋亡和自噬的影响。还通过 ELISA 技术证明了金属蛋白酶-2(MMP-2)、细胞间黏附分子 1(ICAM-1)、促炎和抗炎细胞因子的浓度。我们证明了帕妥珠单抗和曲妥珠单抗非常有效地提高了 AGS 胃癌细胞对新型 Les-4367 的敏感性。测试组合的作用机制与诱导细胞凋亡有关。此外,抗癌活性与自噬过程无关。观察到促炎细胞因子、MMP-2 和 ICAM-1 的浓度降低。基于抗 HER2 抗体与 Les-4367 的新型药物联合是治疗 AGS 胃癌细胞的一种有前途的策略。

https://cdn.ncbi.nlm.nih.gov/pmc/blobs/dbe9/10095353/3d7db819caf5/ijms-24-06791-g008.jpg
https://cdn.ncbi.nlm.nih.gov/pmc/blobs/dbe9/10095353/01915b2da016/ijms-24-06791-sch001.jpg
https://cdn.ncbi.nlm.nih.gov/pmc/blobs/dbe9/10095353/a76292f85f2f/ijms-24-06791-g001.jpg
https://cdn.ncbi.nlm.nih.gov/pmc/blobs/dbe9/10095353/10dcd2ecfceb/ijms-24-06791-g004.jpg
https://cdn.ncbi.nlm.nih.gov/pmc/blobs/dbe9/10095353/175cc9bae64a/ijms-24-06791-g005.jpg
https://cdn.ncbi.nlm.nih.gov/pmc/blobs/dbe9/10095353/c7f302f8d6d8/ijms-24-06791-g006.jpg
https://cdn.ncbi.nlm.nih.gov/pmc/blobs/dbe9/10095353/3d7db819caf5/ijms-24-06791-g008.jpg
https://cdn.ncbi.nlm.nih.gov/pmc/blobs/dbe9/10095353/01915b2da016/ijms-24-06791-sch001.jpg
https://cdn.ncbi.nlm.nih.gov/pmc/blobs/dbe9/10095353/a76292f85f2f/ijms-24-06791-g001.jpg
https://cdn.ncbi.nlm.nih.gov/pmc/blobs/dbe9/10095353/10dcd2ecfceb/ijms-24-06791-g004.jpg
https://cdn.ncbi.nlm.nih.gov/pmc/blobs/dbe9/10095353/175cc9bae64a/ijms-24-06791-g005.jpg
https://cdn.ncbi.nlm.nih.gov/pmc/blobs/dbe9/10095353/c7f302f8d6d8/ijms-24-06791-g006.jpg
https://cdn.ncbi.nlm.nih.gov/pmc/blobs/dbe9/10095353/3d7db819caf5/ijms-24-06791-g008.jpg

相似文献

1
Multi-Targeting Anticancer Activity of a New 4-Thiazolidinone Derivative with Anti-HER2 Antibodies in Human AGS Gastric Cancer Cells.新型 4-噻唑烷酮衍生物与抗 HER2 抗体在人 AGS 胃癌细胞中的多靶点抗癌活性。
Int J Mol Sci. 2023 Apr 5;24(7):6791. doi: 10.3390/ijms24076791.
2
Anti-HER2 monoclonal antibodies intensify the susceptibility of human gastric cancer cells to etoposide by promoting apoptosis, but not autophagy.抗 HER2 单克隆抗体通过促进细胞凋亡而非自噬增强人胃癌细胞对依托泊苷的敏感性。
PLoS One. 2021 Aug 26;16(8):e0255585. doi: 10.1371/journal.pone.0255585. eCollection 2021.
3
Enhanced antitumor activity of trastuzumab emtansine (T-DM1) in combination with pertuzumab in a HER2-positive gastric cancer model.曲妥珠单抗-美坦新偶联物(T-DM1)联合帕妥珠单抗在 HER2 阳性胃癌模型中的抗肿瘤活性增强。
Oncol Rep. 2013 Sep;30(3):1087-93. doi: 10.3892/or.2013.2547. Epub 2013 Jun 19.
4
Pertuzumab in combination with trastuzumab shows significantly enhanced antitumor activity in HER2-positive human gastric cancer xenograft models.帕妥珠单抗联合曲妥珠单抗在人源 HER2 阳性胃癌异种移植模型中显示出显著增强的抗肿瘤活性。
Clin Cancer Res. 2011 Aug 1;17(15):5060-70. doi: 10.1158/1078-0432.CCR-10-2927. Epub 2011 Jun 23.
5
Pertuzumab in combination with trastuzumab and chemotherapy for Chinese patients with HER2-positive metastatic gastric or gastroesophageal junction cancer: a subpopulation analysis of the JACOB trial.帕妥珠单抗联合曲妥珠单抗和化疗治疗中国 HER2 阳性转移性胃或胃食管交界腺癌患者:JACOB 试验的亚组分析。
Cancer Commun (Lond). 2019 Jun 24;39(1):38. doi: 10.1186/s40880-019-0384-6.
6
The anti-HER3 antibody in combination with trastuzumab exerts synergistic antitumor activity in HER2-positive gastric cancer.抗HER3抗体与曲妥珠单抗联合应用在HER2阳性胃癌中发挥协同抗肿瘤活性。
Cancer Lett. 2016 Sep 28;380(1):20-30. doi: 10.1016/j.canlet.2016.06.005. Epub 2016 Jun 15.
7
Targeting of the HER2/HER3 signaling axis overcomes ligand-mediated resistance to trastuzumab in HER2-positive breast cancer.针对 HER2/HER3 信号轴可克服曲妥珠单抗治疗 HER2 阳性乳腺癌的配体介导耐药性。
Cancer Med. 2019 Mar;8(3):1258-1268. doi: 10.1002/cam4.1995. Epub 2019 Jan 31.
8
Targeting Three Distinct HER2 Domains with a Recombinant Antibody Mixture Overcomes Trastuzumab Resistance.靶向 HER2 的三个不同结构域的重组抗体混合物克服曲妥珠单抗耐药性。
Mol Cancer Ther. 2015 Mar;14(3):669-80. doi: 10.1158/1535-7163.MCT-14-0697. Epub 2015 Jan 22.
9
EORTC-1203-GITCG - the "INNOVATION"-trial: Effect of chemotherapy alone versus chemotherapy plus trastuzumab, versus chemotherapy plus trastuzumab plus pertuzumab, in the perioperative treatment of HER2 positive, gastric and gastroesophageal junction adenocarcinoma on pathologic response rate: a randomized phase II-intergroup trial of the EORTC-Gastrointestinal Tract Cancer Group, Korean Cancer Study Group and Dutch Upper GI-Cancer group.EORTC-1203-GITCG - “创新”试验:曲妥珠单抗单药与曲妥珠单抗加帕妥珠单抗联合化疗在 HER2 阳性胃和胃食管交界处腺癌围手术期治疗中的疗效对比:EORTC 胃肠道肿瘤研究组、韩国癌症研究组和荷兰上消化道肿瘤组的一项随机 II 期分组试验。
BMC Cancer. 2019 May 24;19(1):494. doi: 10.1186/s12885-019-5675-4.
10
Antitumor activity of trastuzumab in combination with chemotherapy in human gastric cancer xenograft models.曲妥珠单抗联合化疗在人胃癌异种移植模型中的抗肿瘤活性。
Cancer Chemother Pharmacol. 2007 May;59(6):795-805. doi: 10.1007/s00280-006-0337-z. Epub 2006 Oct 10.

引用本文的文献

1
Composite materials containing Brønsted acid sites derived from leaves graphene oxide modification as green catalysts for the synthesis of 4-thiazolidinones.含有源自叶状氧化石墨烯修饰的布朗斯特酸位点的复合材料作为合成4-噻唑烷酮的绿色催化剂。
RSC Adv. 2025 Jul 7;15(29):23396-23413. doi: 10.1039/d5ra02881g. eCollection 2025 Jul 4.
2
5-Ene-2-arylaminothiazol-4(5)-ones Induce Apoptosis in Breast Cancer Cells.5-烯基-2-芳基氨基噻唑-4(5)-酮诱导乳腺癌细胞凋亡。
Cells. 2025 Jun 7;14(12):861. doi: 10.3390/cells14120861.
3
The Proapoptotic Action of Pyrrolidinedione-Thiazolidinone Hybrids towards Human Breast Carcinoma Cells Does Not Depend on Their Genotype.

本文引用的文献

1
4-Thiazolidinone-Bearing Hybrid Molecules in Anticancer Drug Design.含 4-噻唑烷酮的杂合分子在抗癌药物设计中的应用。
Int J Mol Sci. 2022 Oct 28;23(21):13135. doi: 10.3390/ijms232113135.
2
Expression of ICAM-1 in Blood Vascular Endothelium and Tissues in Human Premalignant Lesion and Gastric/Hepatocellular Carcinomas.人癌前病变及胃癌/肝癌组织血管内皮细胞 ICAM-1 的表达。
Korean J Gastroenterol. 2022 Apr 25;79(4):170-176. doi: 10.4166/kjg.2022.008.
3
2-{5-[(,2)-2-Chloro-3-(4-nitrophenyl)-2-propenylidene]-4-oxo-2-thioxothiazolidin-3-yl}-3-methylbutanoic Acid as a Potential Anti-Breast Cancer Molecule.
吡咯烷二酮-噻唑烷酮杂化物对人乳腺癌细胞的促凋亡作用不依赖于其基因型。
Cancers (Basel). 2024 Aug 22;16(16):2924. doi: 10.3390/cancers16162924.
4
Role of Ciminalum-4-thiazolidinone Hybrids in Molecular NF-κB Dependent Pathways.Ciminalum-4-噻唑烷酮杂合体在分子 NF-κB 依赖途径中的作用。
Int J Mol Sci. 2024 Jul 3;25(13):7329. doi: 10.3390/ijms25137329.
2-{5-[(,2)-2-氯-3-(4-硝基苯基)-2-丙烯基]-4-氧代-2-噻唑烷-3-基}-3-甲基丁酸作为一种有潜力的抗乳腺癌分子。
Int J Mol Sci. 2022 Apr 7;23(8):4091. doi: 10.3390/ijms23084091.
4
Anti-HER2 monoclonal antibodies intensify the susceptibility of human gastric cancer cells to etoposide by promoting apoptosis, but not autophagy.抗 HER2 单克隆抗体通过促进细胞凋亡而非自噬增强人胃癌细胞对依托泊苷的敏感性。
PLoS One. 2021 Aug 26;16(8):e0255585. doi: 10.1371/journal.pone.0255585. eCollection 2021.
5
Autophagy Modulators in Cancer Therapy.自噬调节剂在癌症治疗中的作用。
Int J Mol Sci. 2021 May 28;22(11):5804. doi: 10.3390/ijms22115804.
6
FV-429 induces autophagy blockage and lysosome-dependent cell death of T-cell malignancies via lysosomal dysregulation.FV-429 通过溶酶体失调诱导 T 细胞恶性肿瘤的自噬阻断和溶酶体依赖性细胞死亡。
Cell Death Dis. 2021 Jan 13;12(1):80. doi: 10.1038/s41419-021-03394-4.
7
First-line pembrolizumab/placebo plus trastuzumab and chemotherapy in HER2-positive advanced gastric cancer: KEYNOTE-811.一线帕博利珠单抗/安慰剂联合曲妥珠单抗和化疗治疗 HER2 阳性晚期胃癌:KEYNOTE-811 研究。
Future Oncol. 2021 Feb;17(5):491-501. doi: 10.2217/fon-2020-0737. Epub 2020 Nov 10.
8
Targeted Therapies in Advanced Gastric Cancer.晚期胃癌的靶向治疗。
Curr Treat Options Oncol. 2020 Jul 28;21(9):70. doi: 10.1007/s11864-020-00774-4.
9
The Effect of Novel 7-methyl-5-phenyl-pyrazolo[4,3-]tetrazolo[4,5-][1,2,4]triazine Sulfonamide Derivatives on Apoptosis and Autophagy in DLD-1 and HT-29 Colon Cancer Cells.新型 7-甲基-5-苯基-吡唑并[4,3-d]四嗪-4,5-二胺磺酰胺衍生物对 DLD-1 和 HT-29 结肠癌细胞凋亡和自噬的影响。
Int J Mol Sci. 2020 Jul 23;21(15):5221. doi: 10.3390/ijms21155221.
10
Monoclonal anti‑MUC1 antibody with novel octahydropyrazino[2,1‑a:5,4‑a']diisoquinoline derivative as a potential multi‑targeted strategy in MCF‑7 breast cancer cells.具有新型八氢吡嗪并[2,1-a:5,4-a']二异喹啉衍生物的单克隆抗MUC1抗体作为MCF-7乳腺癌细胞潜在的多靶点策略
Oncol Rep. 2019 Oct;42(4):1391-1403. doi: 10.3892/or.2019.7256. Epub 2019 Aug 2.