Suppr超能文献

基于粒子滤波的单转向和驾驶模块自动驾驶卡车的路径跟踪算法的开发,使用单目相机。

Development of a Particle Filter-Based Path Tracking Algorithm of Autonomous Trucks with a Single Steering and Driving Module Using a Monocular Camera.

机构信息

School of ICT, Robotics & Mechanical Engineering, Hankyong National University, Anseong-si 17579, Republic of Korea.

出版信息

Sensors (Basel). 2023 Mar 31;23(7):3650. doi: 10.3390/s23073650.

Abstract

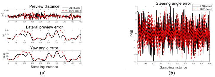
Recently, in various fields, research into the path tracking of autonomous vehicles and automated guided vehicles has been conducted to improve worker safety, convenience, and work efficiency. For path tracking of various systems applied to autonomous driving technology, it is necessary to recognize the surrounding environment, determine technology accordingly, and develop control methods. Various sensors and artificial-intelligence-based perception methods have limitations in that they must learn a large amount of data. Therefore, a particle-filter-based path tracking algorithm using a monocular camera was used for the recognition of target RGB. The path tracking errors were calculated and a linear-quadratic-regulator-based desired steering angle were derived. The autonomous trucks were steered and driven using a pulse-width-modulation-based steering and driving motor. Based on an autonomous truck with a single steering and driving module, it was verified that the path tracking could be used in three evaluation scenarios. To compare the LQR-based path tracking control performance proposed in this paper, an elliptical path tracking scenario using a conventional sliding mode control with robust control performance was performed. The results show that the RMS of the lateral preview error of the SMC was approximately 18% larger than that of the LQR-based method.

摘要

最近,在各个领域中,人们对自主车辆和自动化引导车辆的路径跟踪进行了研究,以提高工人的安全性、便利性和工作效率。对于应用于自动驾驶技术的各种系统的路径跟踪,需要识别周围环境,相应地确定技术,并开发控制方法。各种传感器和基于人工智能的感知方法都存在局限性,因为它们必须学习大量的数据。因此,使用基于单目相机的粒子滤波器路径跟踪算法对目标 RGB 进行识别。计算路径跟踪误差,并得出基于线性二次调节器的期望转向角。使用基于脉冲宽度调制的转向和驱动电机对自主卡车进行转向和驱动。基于具有单个转向和驱动模块的自主卡车,验证了在三个评估场景中可以使用路径跟踪。为了比较本文提出的基于 LQR 的路径跟踪控制性能,进行了具有鲁棒控制性能的常规滑模控制的椭圆形路径跟踪场景。结果表明,SMC 的横向预瞄误差的 RMS 比基于 LQR 的方法大约大 18%。

https://cdn.ncbi.nlm.nih.gov/pmc/blobs/1655/10099206/a350a0b96c3b/sensors-23-03650-g001.jpg

文献AI研究员

20分钟写一篇综述,助力文献阅读效率提升50倍。

立即体验

用中文搜PubMed

大模型驱动的PubMed中文搜索引擎

马上搜索

文档翻译

学术文献翻译模型,支持多种主流文档格式。

立即体验