• 文献检索
  • 文档翻译
  • 深度研究
  • 学术资讯
  • Suppr Zotero 插件Zotero 插件
  • 邀请有礼
  • 套餐&价格
  • 历史记录
应用&插件
Suppr Zotero 插件Zotero 插件浏览器插件Mac 客户端Windows 客户端微信小程序
定价
高级版会员购买积分包购买API积分包
服务
文献检索文档翻译深度研究API 文档MCP 服务
关于我们
关于 Suppr公司介绍联系我们用户协议隐私条款
关注我们

Suppr 超能文献

核心技术专利:CN118964589B侵权必究
粤ICP备2023148730 号-1Suppr @ 2026

文献检索

告别复杂PubMed语法,用中文像聊天一样搜索,搜遍4000万医学文献。AI智能推荐,让科研检索更轻松。

立即免费搜索

文件翻译

保留排版,准确专业,支持PDF/Word/PPT等文件格式,支持 12+语言互译。

免费翻译文档

深度研究

AI帮你快速写综述,25分钟生成高质量综述,智能提取关键信息,辅助科研写作。

立即免费体验

基于灰质体积,使用支持向量机探索缺陷型和非缺陷型精神分裂症之间功能连接的差异。

Using support vector machine to explore the difference of function connection between deficit and non-deficit schizophrenia based on gray matter volume.

作者信息

Zhu Wenjing, Wang Zan, Yu Miao, Zhang Xiangrong, Zhang Zhijun

机构信息

Department of Neurology, School of Medicine, Affiliated Zhongda Hospital, Research Institution of Neuropsychiatry, Southeast University, Nanjing, China.

Affiliated Mental Health Center, Hangzhou Seventh People's Hospital, Zhejiang University School of Medicine, Hangzhou, Zhejiang, China.

出版信息

Front Neurosci. 2023 Mar 27;17:1132607. doi: 10.3389/fnins.2023.1132607. eCollection 2023.

DOI:10.3389/fnins.2023.1132607
PMID:37051145
原文链接:https://pmc.ncbi.nlm.nih.gov/articles/PMC10083255/
Abstract

OBJECTIVE

Schizophrenia can be divided into deficient schizophrenia (DS) and non-deficient schizophrenia (NDS) according to the presence of primary and persistent negative symptoms. So far, there are few studies that have explored the differences in functional connectivity (FC) between the different subtypes based on the region of interest (ROI) from GMV (Gray matter volume), especially since the characteristics of brain networks are still unknown. This study aimed to investigate the alterations of functional connectivity between DS and NDS based on the ROI obtained by machine learning algorithms and differential GMV. Then, the relationships between the alterations and the clinical symptoms were analyzed. In addition, the thalamic functional connection imbalance in the two groups was further explored.

METHODS

A total of 16 DS, 31 NDS, and 38 health controls (HC) underwent resting-state fMRI scans, patient group will further be evaluated by clinical scales including the Brief Psychiatric Rating Scale (BPRS), the Scale for the Assessment of Negative Symptoms (SANS), and the Scale for the Assessment of Positive Symptoms (SAPS). Based on GMV image data, a support vector machine (SVM) is used to classify DS and NDS. Brain regions with high weight in the classification were used as seed points in whole-brain FC analysis and thalamic FC imbalance analysis. Finally, partial correlation analysis explored the relationships between altered FC and clinical scale in the two subtypes.

RESULTS

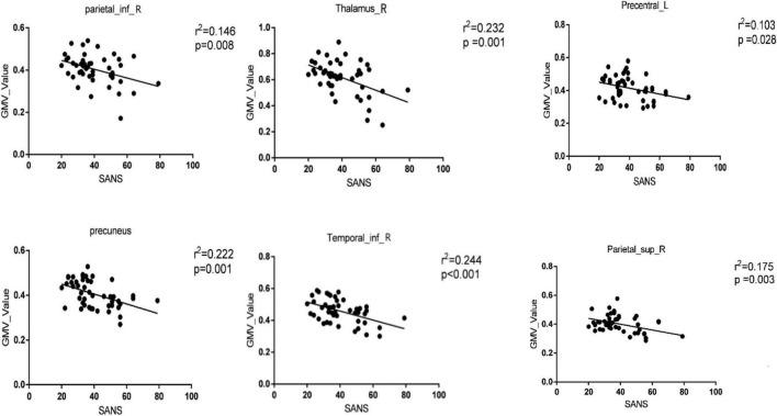
The relatively high classification accuracy is obtained based on the SVM. Compared to HC, the FC increased between the right inferior parietal lobule (IPL.R) bilateral thalamus, and lingual gyrus, and between the right inferior temporal gyrus (ITG.R) and the Salience Network (SN) in NDS. The FC between the right thalamus (THA.R) and Visual network (VN), between ITG.R and right superior occipital gyrus in the DS group was higher than that in HC. Furthermore, compared with NDS, the FC between the ITG.R and the left superior and middle frontal gyrus decreased in the DS group. The thalamic FC imbalance, which is characterized by frontotemporal-THA.R hypoconnectivity and sensory motor network (SMN)-THA.R hyperconnectivity was found in both subtypes. The FC value of THA.R and SMN was negatively correlated with the SANS score in the DS group but positively correlated with the SAPS score in the NDS group.

CONCLUSION

Using an SVM classification method and based on an ROI from GMV, we highlighted the difference in functional connectivity between DS and NDS from the local to the brain network, which provides new information for exploring the neural physiopathology of the two subtypes of schizophrenic.

摘要

目的

精神分裂症可根据原发性和持续性阴性症状的有无分为缺陷型精神分裂症(DS)和非缺陷型精神分裂症(NDS)。到目前为止,很少有研究基于来自灰质体积(GMV)的感兴趣区域(ROI)来探究不同亚型之间的功能连接(FC)差异,尤其是因为脑网络的特征仍不清楚。本研究旨在基于通过机器学习算法和差异GMV获得的ROI来研究DS和NDS之间功能连接的改变。然后,分析这些改变与临床症状之间的关系。此外,进一步探究两组中的丘脑功能连接失衡情况。

方法

共有16名DS患者、31名NDS患者和38名健康对照(HC)接受静息态功能磁共振成像扫描,患者组将进一步通过临床量表进行评估,包括简明精神病评定量表(BPRS)、阴性症状评定量表(SANS)和阳性症状评定量表(SAPS)。基于GMV图像数据,使用支持向量机(SVM)对DS和NDS进行分类。在全脑FC分析和丘脑FC失衡分析中,将分类中权重较高的脑区用作种子点。最后,偏相关分析探究了两种亚型中FC改变与临床量表之间的关系。

结果

基于SVM获得了相对较高的分类准确率。与HC相比,NDS中右侧顶下小叶(IPL.R)与双侧丘脑、舌回之间,以及右侧颞下回(ITG.R)与突显网络(SN)之间的FC增加。DS组中右侧丘脑(THA.R)与视觉网络(VN)之间,以及ITG.R与右侧枕上回之间的FC高于HC。此外,与NDS相比,DS组中ITG.R与左侧额上回和额中回之间的FC降低。在两种亚型中均发现了以额颞叶 - THA.R低连接性和感觉运动网络(SMN) - THA.R高连接性为特征的丘脑FC失衡。DS组中THA.R与SMN的FC值与SANS评分呈负相关,而在NDS组中与SAPS评分呈正相关。

结论

使用SVM分类方法并基于GMV的ROI,我们从局部到脑网络突出了DS和NDS之间功能连接的差异,这为探索精神分裂症两种亚型的神经生理病理学提供了新信息。

https://cdn.ncbi.nlm.nih.gov/pmc/blobs/b1c0/10083255/d98c1548c8de/fnins-17-1132607-g005.jpg
https://cdn.ncbi.nlm.nih.gov/pmc/blobs/b1c0/10083255/a3b69a5a4303/fnins-17-1132607-g001.jpg
https://cdn.ncbi.nlm.nih.gov/pmc/blobs/b1c0/10083255/0d72cfe8fdee/fnins-17-1132607-g002.jpg
https://cdn.ncbi.nlm.nih.gov/pmc/blobs/b1c0/10083255/4d9f04a2a2a7/fnins-17-1132607-g003.jpg
https://cdn.ncbi.nlm.nih.gov/pmc/blobs/b1c0/10083255/b8a35680ff32/fnins-17-1132607-g004.jpg
https://cdn.ncbi.nlm.nih.gov/pmc/blobs/b1c0/10083255/d98c1548c8de/fnins-17-1132607-g005.jpg
https://cdn.ncbi.nlm.nih.gov/pmc/blobs/b1c0/10083255/a3b69a5a4303/fnins-17-1132607-g001.jpg
https://cdn.ncbi.nlm.nih.gov/pmc/blobs/b1c0/10083255/0d72cfe8fdee/fnins-17-1132607-g002.jpg
https://cdn.ncbi.nlm.nih.gov/pmc/blobs/b1c0/10083255/4d9f04a2a2a7/fnins-17-1132607-g003.jpg
https://cdn.ncbi.nlm.nih.gov/pmc/blobs/b1c0/10083255/b8a35680ff32/fnins-17-1132607-g004.jpg
https://cdn.ncbi.nlm.nih.gov/pmc/blobs/b1c0/10083255/d98c1548c8de/fnins-17-1132607-g005.jpg

相似文献

1
Using support vector machine to explore the difference of function connection between deficit and non-deficit schizophrenia based on gray matter volume.基于灰质体积,使用支持向量机探索缺陷型和非缺陷型精神分裂症之间功能连接的差异。
Front Neurosci. 2023 Mar 27;17:1132607. doi: 10.3389/fnins.2023.1132607. eCollection 2023.
2
Convergence and Divergence of Brain Network Dysfunction in Deficit and Non-deficit Schizophrenia.精神分裂症中缺陷型和非缺陷型的脑网络功能障碍的会聚和发散。
Schizophr Bull. 2017 Oct 21;43(6):1315-1328. doi: 10.1093/schbul/sbx014.
3
Altered Functional Connectivity of the Nucleus Accumbens Network Between Deficit and Non-deficit Schizophrenia.缺陷型与非缺陷型精神分裂症之间伏隔核网络功能连接的改变
Front Psychiatry. 2021 Sep 30;12:704631. doi: 10.3389/fpsyt.2021.704631. eCollection 2021.
4
Altered Patterns of the Fractional Amplitude of Low-Frequency Fluctuation and Functional Connectivity Between Deficit and Non-Deficit Schizophrenia.缺损型与非缺损型精神分裂症低频振幅及功能连接分数模式的改变
Front Psychiatry. 2019 Sep 13;10:680. doi: 10.3389/fpsyt.2019.00680. eCollection 2019.
5
Aberrant large-scale brain modules in deficit and non-deficit schizophrenia.精神分裂症患者的大脑模块存在异常的大规模异常。
Prog Neuropsychopharmacol Biol Psychiatry. 2022 Mar 8;113:110461. doi: 10.1016/j.pnpbp.2021.110461. Epub 2021 Oct 21.
6
Polygenic effects on brain functional endophenotype for deficit and non-deficit schizophrenia.多基因对缺陷型和非缺陷型精神分裂症脑功能内表型的影响。
Schizophrenia (Heidelb). 2024 Feb 16;10(1):18. doi: 10.1038/s41537-024-00432-w.
7
Altered resting-state functional connectivity of the right precuneus and cognition between depressed and non-depressed schizophrenia.抑郁和非抑郁精神分裂症患者右侧顶下小叶静息态功能连接和认知的改变。
Psychiatry Res Neuroimaging. 2021 Nov 30;317:111387. doi: 10.1016/j.pscychresns.2021.111387. Epub 2021 Sep 6.
8
Convergent and divergent genes expression profiles associated with brain-wide functional connectome dysfunction in deficit and non-deficit schizophrenia.与缺陷型和非缺陷型精神分裂症全脑功能连接障碍相关的趋同和发散基因表达谱。
Transl Psychiatry. 2024 Feb 27;14(1):124. doi: 10.1038/s41398-024-02827-w.
9
Convergent and divergent altered patterns of default mode network in deficit and non-deficit schizophrenia.精神分裂症患者的默认模式网络的会聚和发散改变模式:缺陷型与非缺陷型。
Prog Neuropsychopharmacol Biol Psychiatry. 2019 Mar 8;89:427-434. doi: 10.1016/j.pnpbp.2018.10.012. Epub 2018 Oct 24.
10
Alterations of brain activity in patients with alcohol use disorder: a resting-state fMRI study.酒精使用障碍患者脑活动的改变:一项静息态 fMRI 研究。
BMC Psychiatry. 2023 Nov 30;23(1):894. doi: 10.1186/s12888-023-05361-z.

引用本文的文献

1
Impact of schizophrenia-associated risk genes on brain functional networks and executive deficits: a study of individuals with schizophrenia and genetic high risk.精神分裂症相关风险基因对脑功能网络及执行功能缺陷的影响:一项针对精神分裂症患者及遗传高危个体的研究
Psychol Med. 2025 Aug 20;55:e240. doi: 10.1017/S0033291725101177.

本文引用的文献

1
Psychopathology and Integrity of the Superior Longitudinal Fasciculus in Deficit and Nondeficit Schizophrenia.缺陷型和非缺陷型精神分裂症患者的精神病理学与上纵束完整性
Brain Sci. 2022 Feb 14;12(2):267. doi: 10.3390/brainsci12020267.
2
Aberrant large-scale brain modules in deficit and non-deficit schizophrenia.精神分裂症患者的大脑模块存在异常的大规模异常。
Prog Neuropsychopharmacol Biol Psychiatry. 2022 Mar 8;113:110461. doi: 10.1016/j.pnpbp.2021.110461. Epub 2021 Oct 21.
3
The interaction of lipids and inflammatory markers predict negative symptom severity in patients with schizophrenia.
脂质与炎症标志物的相互作用可预测精神分裂症患者的阴性症状严重程度。
NPJ Schizophr. 2021 Oct 20;7(1):50. doi: 10.1038/s41537-021-00179-8.
4
Altered Functional Connectivity of the Nucleus Accumbens Network Between Deficit and Non-deficit Schizophrenia.缺陷型与非缺陷型精神分裂症之间伏隔核网络功能连接的改变
Front Psychiatry. 2021 Sep 30;12:704631. doi: 10.3389/fpsyt.2021.704631. eCollection 2021.
5
Classification of First-Episode Schizophrenia, Chronic Schizophrenia and Healthy Control Based on Brain Network of Mismatch Negativity by Graph Neural Network.基于图神经网络的错配负波脑网络对首发精神分裂症、慢性精神分裂症和健康对照的分类。
IEEE Trans Neural Syst Rehabil Eng. 2021;29:1784-1794. doi: 10.1109/TNSRE.2021.3105669. Epub 2021 Sep 10.
6
Imbalance Between Prefronto-Thalamic and Sensorimotor-Thalamic Circuitries Associated with Working Memory Deficit in Schizophrenia.与精神分裂症工作记忆缺陷相关的前额叶-丘脑和感觉运动-丘脑回路的失衡。
Schizophr Bull. 2022 Jan 21;48(1):251-261. doi: 10.1093/schbul/sbab086.
7
Functional Connectivity During Visuospatial Processing in Schizophrenia: A Classification Study Using Lasso Regression.精神分裂症视觉空间加工过程中的功能连接性:一项使用套索回归的分类研究。
Neuropsychiatr Dis Treat. 2021 Apr 14;17:1077-1087. doi: 10.2147/NDT.S304434. eCollection 2021.
8
Multi-dimensional predictions of psychotic symptoms via machine learning.基于机器学习的精神病症状多维预测。
Hum Brain Mapp. 2020 Dec 15;41(18):5151-5163. doi: 10.1002/hbm.25181. Epub 2020 Sep 1.
9
Lowered Antioxidant Defenses and Increased Oxidative Toxicity Are Hallmarks of Deficit Schizophrenia: a Nomothetic Network Psychiatry Approach.降低的抗氧化防御和增加的氧化毒性是缺陷型精神分裂症的标志:一种形态网络精神病学方法。
Mol Neurobiol. 2020 Nov;57(11):4578-4597. doi: 10.1007/s12035-020-02047-5. Epub 2020 Aug 5.
10
Integrating machining learning and multimodal neuroimaging to detect schizophrenia at the level of the individual.将机器学习和多模态神经影像学相结合,以个体水平检测精神分裂症。
Hum Brain Mapp. 2020 Apr 1;41(5):1119-1135. doi: 10.1002/hbm.24863. Epub 2019 Nov 18.