Suppr超能文献

红花籽粒产量的基因组预测与选择响应

Genomic prediction and selection response for grain yield in safflower.

作者信息

Zhao Huanhuan, Lin Zibei, Khansefid Majid, Tibbits Josquin F, Hayden Matthew J

机构信息

School of Applied Systems Biology, La Trobe University, Bundoora, VIC, Australia.

Agriculture Victoria, AgriBio, Centre for AgriBioscience, Bundoora, VIC, Australia.

出版信息

Front Genet. 2023 Mar 27;14:1129433. doi: 10.3389/fgene.2023.1129433. eCollection 2023.

Abstract

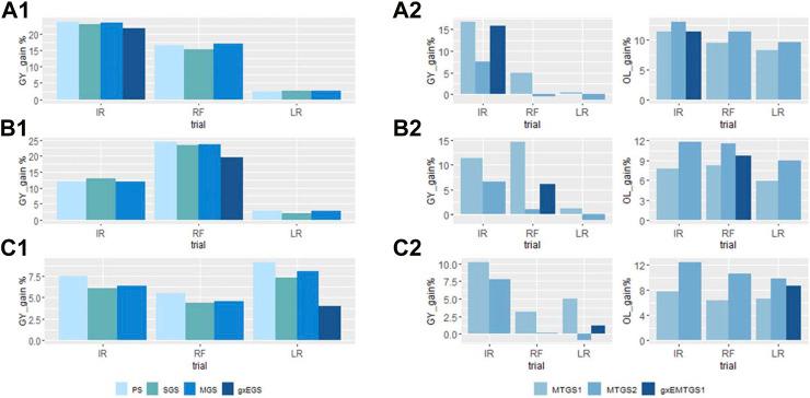
In plant breeding programs, multiple traits are recorded in each trial, and the traits are often correlated. Correlated traits can be incorporated into genomic selection models, especially for traits with low heritability, to improve prediction accuracy. In this study, we investigated the genetic correlation between important agronomic traits in safflower. We observed the moderate genetic correlations between grain yield (GY) and plant height (PH, 0.272-0.531), and low correlations between grain yield and days to flowering (DF, -0.157-0.201). A 4%-20% prediction accuracy improvement for grain yield was achieved when plant height was included in both training and validation sets with multivariate models. We further explored the selection responses for grain yield by selecting the top 20% of lines based on different selection indices. Selection responses for grain yield varied across sites. Simultaneous selection for grain yield and seed oil content (OL) showed positive gains across all sites with equal weights for both grain yield and oil content. Combining g×E interaction into genomic selection (GS) led to more balanced selection responses across sites. In conclusion, genomic selection is a valuable breeding tool for breeding high grain yield, oil content, and highly adaptable safflower varieties.

摘要

在植物育种计划中,每次试验都会记录多个性状,且这些性状往往相互关联。相关性状可纳入基因组选择模型,特别是对于遗传力较低的性状,以提高预测准确性。在本研究中,我们调查了红花重要农艺性状之间的遗传相关性。我们观察到籽粒产量(GY)与株高(PH,0.272 - 0.531)之间存在中等程度的遗传相关性,而籽粒产量与开花天数(DF,-0.157 - 0.201)之间的相关性较低。当在多变量模型的训练集和验证集中都纳入株高时,籽粒产量的预测准确性提高了4% - 20%。我们进一步通过基于不同选择指数选择前20%的品系来探索籽粒产量的选择响应。籽粒产量的选择响应因地点而异。对籽粒产量和种子含油率(OL)进行同步选择,在所有地点对籽粒产量和含油率赋予相等权重时均显示出正向增益。将基因型与环境互作纳入基因组选择(GS)可使各地点的选择响应更加平衡。总之,基因组选择是培育高产籽粒、高含油率且适应性强的红花品种的一种有价值的育种工具。

https://cdn.ncbi.nlm.nih.gov/pmc/blobs/a24e/10083426/8872b7f29f9d/fgene-14-1129433-g001.jpg

文献AI研究员

20分钟写一篇综述,助力文献阅读效率提升50倍。

立即体验

用中文搜PubMed

大模型驱动的PubMed中文搜索引擎

马上搜索

文档翻译

学术文献翻译模型,支持多种主流文档格式。

立即体验