Suppr超能文献

薏苡仁水提残渣部位对2型糖尿病大鼠的降糖、抗氧化及抗炎活性

Antidiabetic, Antioxidant and Anti-Inflammatory Activities of Residual Aqueous Fraction of in Induced Type 2 Diabetic Rats.

作者信息

Okotie Helen Omasan, Anjuwon Tayo Micheal, Okonkwo Okwubenata Lilian, Ameh Danladi Amodu, James Dorcas Bolanle

机构信息

Department of Biochemistry, Ahmadu Bello University, Zaria, Nigeria.

Immunology Unit, Department of Internal Medicine, Faculty of Clinical Sciences, College of Medicine, Ahmadu Bello University Teaching Hospital, Zaria, Nigeria.

出版信息

Trop Life Sci Res. 2023 Mar;34(1):121-138. doi: 10.21315/tlsr2023.34.1.8. Epub 2023 Mar 31.

Abstract

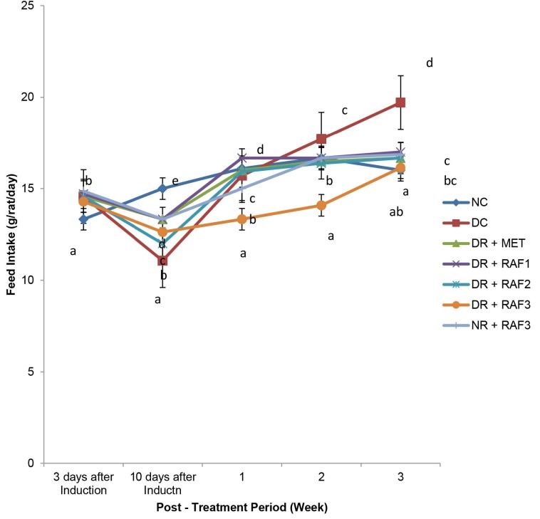
Oxidative stress and inflammation have been proven to be implicated in the pathogenesis of type 2 diabetes. Recent studies showed that had antioxidant activity. This study investigated the antidiabetic, antioxidant, and anti-inflammatory potential of the residual aqueous fraction of in type 2 diabetic-induced male rats. Sub-acute antidiabetic studies were done with varying doses (100, 200, and 400 mg/kg body weight) of residual aqueous fraction for 21 days. Blood glucose levels, serum insulin, and in vivo antioxidant and pro-inflammatory cytokines-tumour necrosis factor-α (TNF-α) and interleukin-1β (IL-1β) -were measured at the end of the treatment. When rats were given different concentrations of residual aqueous fraction, there was a significant ( < 0.05) reduction in blood glucose, malondialdehyde (MDA), IL-1β, and TNF-α levels, as well as a significant ( 0.05) increase in SOD (superoxide dismutase), catalase and insulin levels when compared to the diabetic control group. Furthermore, the 400 mg/kg body weight dosage concentration was found to be the most effective. This result suggests that the residual aqueous fraction of possesses significant antidiabetic, antioxidant and anti-inflammatory activities.

摘要

氧化应激和炎症已被证明与2型糖尿病的发病机制有关。最近的研究表明,[具体物质]具有抗氧化活性。本研究调查了[具体物质]残余水相部分对2型糖尿病诱导的雄性大鼠的抗糖尿病、抗氧化和抗炎潜力。用不同剂量(100、200和400mg/kg体重)的残余水相部分进行了21天的亚急性抗糖尿病研究。在治疗结束时测量血糖水平、血清胰岛素以及体内抗氧化和促炎细胞因子——肿瘤坏死因子-α(TNF-α)和白细胞介素-1β(IL-1β)。当给大鼠不同浓度的残余水相部分时,与糖尿病对照组相比,血糖、丙二醛(MDA)、IL-1β和TNF-α水平显著降低(P<0.05),超氧化物歧化酶(SOD)、过氧化氢酶和胰岛素水平显著升高(P<0.05)。此外,发现400mg/kg体重剂量浓度最有效。该结果表明,[具体物质]的残余水相部分具有显著的抗糖尿病、抗氧化和抗炎活性。

https://cdn.ncbi.nlm.nih.gov/pmc/blobs/3764/10093775/a8dc28f0ae5e/TLSR-34-1-121-g001.jpg

文献检索

告别复杂PubMed语法,用中文像聊天一样搜索,搜遍4000万医学文献。AI智能推荐,让科研检索更轻松。

立即免费搜索

文件翻译

保留排版,准确专业,支持PDF/Word/PPT等文件格式,支持 12+语言互译。

免费翻译文档

深度研究

AI帮你快速写综述,25分钟生成高质量综述,智能提取关键信息,辅助科研写作。

立即免费体验