Suppr超能文献

帕金森病轴向姿势异常的评估:自动图像分析软件

Assessment of Axial Postural Abnormalities in Parkinsonism: Automatic Picture Analysis Software.

作者信息

Artusi Carlo Alberto, Geroin Christian, Imbalzano Gabriele, Camozzi Serena, Aldegheri Stefano, Lopiano Leonardo, Tinazzi Michele, Bombieri Nicola

机构信息

Department of Neuroscience "Rita Levi Montalcini" University of Turin Turin Italy.

Neurology 2 Unit A.O.U. Città della Salute e della Scienza di Torino Torino Italy.

出版信息

Mov Disord Clin Pract. 2023 Feb 20;10(4):636-645. doi: 10.1002/mdc3.13692. eCollection 2023 Apr.

Abstract

BACKGROUND

Software-based measurements of axial postural abnormalities in Parkinson's disease (PD) are the gold standard but may be time-consuming and not always feasible in clinical practice. An automatic and reliable software to accurately obtain real-time spine flexion angles according to the recently proposed consensus-based criteria would be a useful tool for both research and clinical practice.

OBJECTIVE

We aimed to develop and validate a new software based on Deep Neural Networks to perform automatic measures of PD axial postural abnormalities.

METHODS

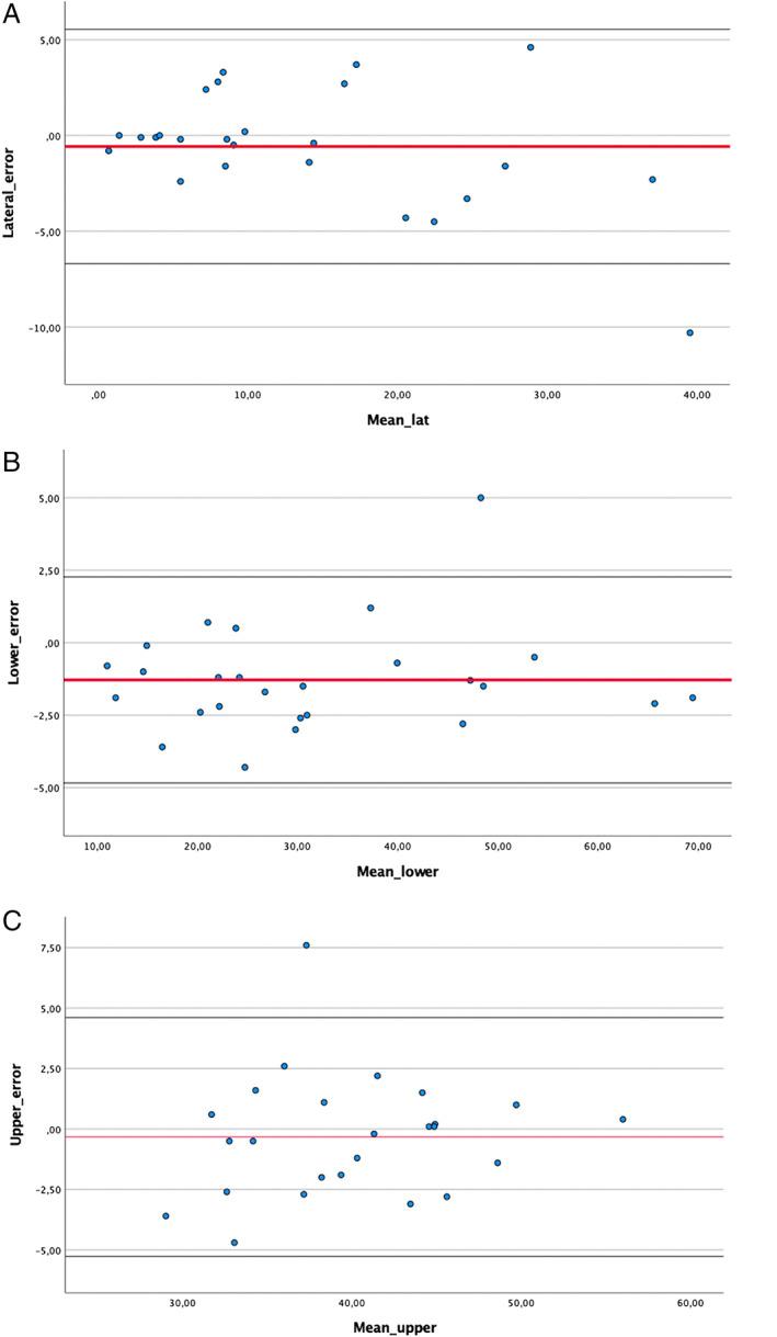
A total of 76 pictures from 55 PD patients with different degrees of anterior and lateral trunk flexion were used for the development and pilot validation of a new software called AutoPosturePD (APP); postural abnormalities were measured in lateral and posterior view using the freeware NeuroPostureApp (gold standard) and compared with the automatic measurement provided by the APP. Sensitivity and specificity for the diagnosis of camptocormia and Pisa syndrome were assessed.

RESULTS

We found an excellent agreement between the new APP and the gold standard for lateral trunk flexion (intraclass correlation coefficient [ICC] 0.960, IC95% 0.913-0.982,  < 0.001), anterior trunk flexion with thoracic fulcrum (ICC 0.929, IC95% 0.846-0.968,  < 0.001) and anterior trunk flexion with lumbar fulcrum (ICC 0.991, IC95% 0.962-0.997,  < 0.001). Sensitivity and specificity were 100% and 100% for detecting Pisa syndrome, 100% and 95.5% for camptocormia with thoracic fulcrum, 100% and 80.9% for camptocormia with lumbar fulcrum.

CONCLUSIONS

AutoPosturePD is a valid tool for spine flexion measurement in PD, accurately supporting the diagnosis of Pisa syndrome and camptocormia.

摘要

背景

基于软件测量帕金森病(PD)的轴向姿势异常是金标准,但在临床实践中可能耗时且并非总是可行。根据最近提出的基于共识的标准,开发一种能够自动、可靠地准确获取实时脊柱屈曲角度的软件,将成为研究和临床实践的有用工具。

目的

我们旨在开发并验证一种基于深度神经网络的新软件,以自动测量PD的轴向姿势异常。

方法

共使用了来自55例不同程度前屈和侧屈的PD患者的76张图片,用于开发和初步验证一种名为AutoPosturePD(APP)的新软件;使用免费软件NeuroPostureApp(金标准)在侧视图和后视图中测量姿势异常,并与APP提供的自动测量结果进行比较。评估了诊断camptocormia和 Pisa综合征的敏感性和特异性。

结果

我们发现新的APP与侧躯干屈曲的金标准之间具有极好的一致性(组内相关系数[ICC] 0.960,IC95% 0.913 - 0.982,P < 0.001),以胸椎为支点的前躯干屈曲(ICC 0.929,IC95% 0.846 - 0.968,P < 0.001)以及以腰椎为支点的前躯干屈曲(ICC 0.991,IC95% 0.962 - 0.997,P < 0.001)。检测Pisa综合征的敏感性和特异性分别为100%和100%,以胸椎为支点的camptocormia为100%和95.5%,以腰椎为支点的camptocormia为100%和80.9%。

结论

AutoPosturePD是测量PD脊柱屈曲的有效工具,能准确辅助诊断Pisa综合征和camptocormia。

https://cdn.ncbi.nlm.nih.gov/pmc/blobs/9b0d/10105105/a58836d08cd2/MDC3-10-636-g006.jpg

文献AI研究员

20分钟写一篇综述,助力文献阅读效率提升50倍。

立即体验

用中文搜PubMed

大模型驱动的PubMed中文搜索引擎

马上搜索

文档翻译

学术文献翻译模型,支持多种主流文档格式。

立即体验