Suppr超能文献

提升戈氏凤头鹦鹉的工具创新能力:情境多样的先前经验的影响

Ratcheting up tool innovation in Goffin's cockatoos (): The effect of contextually diverse prior experience.

作者信息

Ibáñez de Aldecoa Paula, Auersperg Alice M I, Griffin Andrea S, Tebbich Sabine

机构信息

Department of Behavioural and Cognitive Biology University of Vienna Vienna Austria.

Messerli Research Institute, University of Veterinary Medicine Vienna, University of Vienna, Medical University of Vienna Vienna Austria.

出版信息

Ethology. 2023 Mar;129(3):133-145. doi: 10.1111/eth.13351. Epub 2022 Dec 19.

Abstract

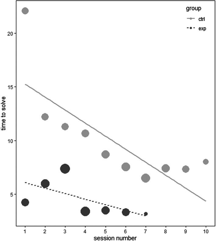
The ability to gain information from one situation, acquire new skills and/or perfect existing ones, and subsequently apply them to a new situation is a key element in behavioural flexibility and a hallmark of innovation. A flexible agent is expected to store these skills and apply them to contexts different from that in which learning occurred. Goffin's cockatoos () are highly innovative parrots renowned for their problem-solving and tool-using skills and are thus excellent candidates to study this phenomenon. We hypothesized that birds allowed to use a tool in a larger variety of contingencies would acquire a broader expertise in handling it, facilitating its transfer to new tasks. In our study, we compared the performance of two groups of captive Goffin's cockatoos ( = 13): A test group received more diverse learning and motor experiences on multiple applications of a hook-type tool, while a control group received intensive, total trial-matched, experience with a single application of the same tool. Then, both groups were tested on two novel tasks to determine whether experience with the tool in multiple contexts would facilitate performance during transfer. While both groups transferred to both novel tasks, group differences in performance were apparent, particularly in the second transfer task, where test birds achieved a higher success rate and reached criteria within fewer trials than control birds. These results provide support for the prediction that experiencing a diverse range of contingencies with a tool appears to allow birds to acquire generalizable knowledge and transferrable skills to tackle an untrained problem more efficiently. In contrast, intensive experience with the tool in a single context might have made control birds less flexible and more fixated on previously learned tool-dependent instances.

摘要

从一种情境中获取信息、学习新技能和/或完善现有技能,然后将这些技能应用于新情境的能力,是行为灵活性的关键要素,也是创新的标志。一个灵活的主体应该能够存储这些技能,并将它们应用于与学习发生情境不同的情境中。戈氏凤头鹦鹉()是极具创新性的鹦鹉,以其解决问题和使用工具的技能而闻名,因此是研究这一现象的绝佳候选对象。我们假设,允许在更多样化的情况下使用工具的鸟类,将在操作该工具方面获得更广泛的专业知识,从而便于将其应用于新任务。在我们的研究中,我们比较了两组圈养戈氏凤头鹦鹉(=13)的表现:一个测试组在多次使用钩型工具的过程中获得了更多样化的学习和运动体验,而一个对照组则在单一使用相同工具的过程中获得了密集的、完全试验匹配的体验。然后,对两组进行两项新任务测试,以确定在多种情境下使用工具的经验是否会促进转移过程中的表现。虽然两组都能转移到两项新任务上,但表现上的组间差异很明显,特别是在第二项转移任务中,测试组的鸟类比对照组的鸟类成功率更高,并且在更少的试验次数内达到了标准。这些结果支持了这样的预测:在多种情况下使用工具似乎能让鸟类获得可推广的知识和可转移的技能,从而更有效地解决未训练过的问题。相比之下,在单一情境下对工具的密集体验可能使对照组的鸟类变得不那么灵活,更专注于之前学到的依赖工具的情况。

https://cdn.ncbi.nlm.nih.gov/pmc/blobs/e679/10108129/1eda8e507e92/ETH-129-133-g002.jpg

文献AI研究员

20分钟写一篇综述,助力文献阅读效率提升50倍。

立即体验

用中文搜PubMed

大模型驱动的PubMed中文搜索引擎

马上搜索

文档翻译

学术文献翻译模型,支持多种主流文档格式。

立即体验