• 文献检索
  • 文档翻译
  • 深度研究
  • 学术资讯
  • Suppr Zotero 插件Zotero 插件
  • 邀请有礼
  • 套餐&价格
  • 历史记录
应用&插件
Suppr Zotero 插件Zotero 插件浏览器插件Mac 客户端Windows 客户端微信小程序
定价
高级版会员购买积分包购买API积分包
服务
文献检索文档翻译深度研究API 文档MCP 服务
关于我们
关于 Suppr公司介绍联系我们用户协议隐私条款
关注我们

Suppr 超能文献

核心技术专利:CN118964589B侵权必究
粤ICP备2023148730 号-1Suppr @ 2026

文献检索

告别复杂PubMed语法,用中文像聊天一样搜索,搜遍4000万医学文献。AI智能推荐,让科研检索更轻松。

立即免费搜索

文件翻译

保留排版,准确专业,支持PDF/Word/PPT等文件格式,支持 12+语言互译。

免费翻译文档

深度研究

AI帮你快速写综述,25分钟生成高质量综述,智能提取关键信息,辅助科研写作。

立即免费体验

tRF-21-U0EZY9X1B 血浆水平作为儿童阻塞性睡眠呼吸暂停低通气综合征生物标志物的潜力。

The potential of tRF-21-U0EZY9X1B plasmatic level as a biomarker of children with obstructive sleep apnea-hypopnea syndrome.

机构信息

Medical School of Ningbo University, Ningbo, Zhejiang, China.

Jingzhou Hospital Affiliated to Yangtze University, Jingzhou, Hubei, China.

出版信息

BMC Pediatr. 2023 Apr 26;23(1):197. doi: 10.1186/s12887-023-04020-2.

DOI:10.1186/s12887-023-04020-2
PMID:37101156
原文链接:https://pmc.ncbi.nlm.nih.gov/articles/PMC10134554/
Abstract

PURPOSE

We investigated changes in plasma transfer RNA related fragments (tRF) in children with obstructive sleep apnea-hypopnea syndrome (OSAHS) and the potential value as a disease marker.

METHODS

Firstly, we randomly selected five plasma samples from the case group and the control group for high-throughput RNA sequencing. Secondly, we screened one tRF with different expression between the two groups, amplified it by quantitative reverse transcription-PCR (qRT-PCR) and sequenced the amplified product. After confirming that the qRT-PCR results were consistent with the sequencing results and the sequence of the amplified product contained the original sequence of the tRF, we performed qRT-PCR on all samples. Then we analyzed the diagnostic value of the tRF and its correlation with some clinical data.

RESULTS

A total of 50 OSAHS children and 38 control children were included in this study. There were significant differences in height, serum creatinine (SCR) and total cholesterol (TC) between the two groups. The plasma expression levels of tRF-21-U0EZY9X1B (tRF-21) were significantly different between the two groups. Receiver operating characteristic curve (ROC) showed that it had valuable diagnostic index, with area under the curve (AUC) of 0.773, 86.71% and 63.16% sensitivity and specificity.

CONCLUSIONS

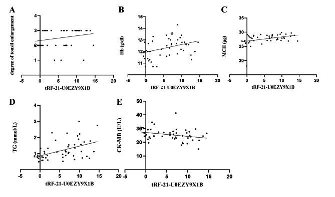
The expression levels of tRF-21 in the plasma of OSAHS children decreased significantly which were closely related to hemoglobin, mean corpuscular hemoglobin, triglyceride and creatine kinase-MB, may become novel biomarkers for the diagnosis of pediatric OSAHS.

摘要

目的

我们研究了阻塞性睡眠呼吸暂停低通气综合征(OSAHS)患儿血浆转移 RNA 相关片段(tRF)的变化及其作为疾病标志物的潜在价值。

方法

首先,我们从病例组和对照组中随机选择了五个血浆样本进行高通量 RNA 测序。其次,我们筛选出两组之间表达差异的一个 tRF,通过定量逆转录-PCR(qRT-PCR)扩增,并对扩增产物进行测序。在确认 qRT-PCR 结果与测序结果一致且扩增产物的序列包含 tRF 的原始序列后,我们对所有样本进行 qRT-PCR。然后,我们分析了 tRF 的诊断价值及其与一些临床数据的相关性。

结果

本研究共纳入 50 例 OSAHS 患儿和 38 例对照组儿童。两组间身高、血清肌酐(SCR)和总胆固醇(TC)存在显著差异。两组间 tRF-21-U0EZY9X1B(tRF-21)的血浆表达水平差异显著。受试者工作特征曲线(ROC)显示其具有有价值的诊断指标,曲线下面积(AUC)为 0.773,灵敏度和特异性分别为 86.71%和 63.16%。

结论

OSAHS 患儿血浆中 tRF-21 的表达水平显著降低,与血红蛋白、平均红细胞血红蛋白、甘油三酯和肌酸激酶同工酶-MB 密切相关,可能成为小儿 OSAHS 诊断的新型生物标志物。

https://cdn.ncbi.nlm.nih.gov/pmc/blobs/5b90/10134554/1721ef830dae/12887_2023_4020_Fig5_HTML.jpg
https://cdn.ncbi.nlm.nih.gov/pmc/blobs/5b90/10134554/9be8709febdc/12887_2023_4020_Fig1_HTML.jpg
https://cdn.ncbi.nlm.nih.gov/pmc/blobs/5b90/10134554/a7c31ec1666e/12887_2023_4020_Fig2_HTML.jpg
https://cdn.ncbi.nlm.nih.gov/pmc/blobs/5b90/10134554/2adb2ca652e6/12887_2023_4020_Fig3_HTML.jpg
https://cdn.ncbi.nlm.nih.gov/pmc/blobs/5b90/10134554/5704a148f24d/12887_2023_4020_Fig4_HTML.jpg
https://cdn.ncbi.nlm.nih.gov/pmc/blobs/5b90/10134554/1721ef830dae/12887_2023_4020_Fig5_HTML.jpg
https://cdn.ncbi.nlm.nih.gov/pmc/blobs/5b90/10134554/9be8709febdc/12887_2023_4020_Fig1_HTML.jpg
https://cdn.ncbi.nlm.nih.gov/pmc/blobs/5b90/10134554/a7c31ec1666e/12887_2023_4020_Fig2_HTML.jpg
https://cdn.ncbi.nlm.nih.gov/pmc/blobs/5b90/10134554/2adb2ca652e6/12887_2023_4020_Fig3_HTML.jpg
https://cdn.ncbi.nlm.nih.gov/pmc/blobs/5b90/10134554/5704a148f24d/12887_2023_4020_Fig4_HTML.jpg
https://cdn.ncbi.nlm.nih.gov/pmc/blobs/5b90/10134554/1721ef830dae/12887_2023_4020_Fig5_HTML.jpg

相似文献

1
The potential of tRF-21-U0EZY9X1B plasmatic level as a biomarker of children with obstructive sleep apnea-hypopnea syndrome.tRF-21-U0EZY9X1B 血浆水平作为儿童阻塞性睡眠呼吸暂停低通气综合征生物标志物的潜力。
BMC Pediatr. 2023 Apr 26;23(1):197. doi: 10.1186/s12887-023-04020-2.
2
Plasma tRF-16-79MP9PD and tRF-28-OB1690PQR304 as potential biomarkers for 4- to 7-year-old children with obstructive sleep apnea-hypopnea syndrome.血浆tRF-16-79MP9PD和tRF-28-OB1690PQR304作为4至7岁阻塞性睡眠呼吸暂停低通气综合征儿童的潜在生物标志物。
Front Pediatr. 2023 May 30;11:1141348. doi: 10.3389/fped.2023.1141348. eCollection 2023.
3
Plasma expression of HIF-1α as novel biomarker for the diagnosis of obstructive sleep apnea-hypopnea syndrome.缺氧诱导因子-1α 的血浆表达作为阻塞性睡眠呼吸暂停低通气综合征诊断的新型生物标志物。
J Clin Lab Anal. 2020 Dec;34(12):e23545. doi: 10.1002/jcla.23545. Epub 2020 Sep 8.
4
Gut microbiota dysbiosis in 4- to 6-year-old children with obstructive sleep apnea-hypopnea syndrome.4至6岁阻塞性睡眠呼吸暂停低通气综合征患儿的肠道微生物群失调
Pediatr Pulmonol. 2022 Sep;57(9):2012-2022. doi: 10.1002/ppul.25967. Epub 2022 Jun 2.
5
[Evaluation on the accuracy of obese indexes in predicting obstructive sleep apnea-hypopnea syndrome in male adults].[肥胖指标预测成年男性阻塞性睡眠呼吸暂停低通气综合征准确性的评估]
Zhonghua Liu Xing Bing Xue Za Zhi. 2007 Oct;28(10):1021-5.
6
[Validation of NoSAS Score and Obstructive Sleep Apnea Hypopnea Syndrome Screening Model for Female Snorers in Females with Obstructive Sleep Apnea].[女性阻塞性睡眠呼吸暂停患者中女性打鼾者的NoSAS评分及阻塞性睡眠呼吸暂停低通气综合征筛查模型的验证]
Zhongguo Yi Xue Ke Xue Yuan Xue Bao. 2019 Dec 30;41(6):825-831. doi: 10.3881/j.issn.1000-503X.11131.
7
Value of pulse oximetry watch for diagnosing pediatric obstructive sleep apnea/hypopnea syndrome.脉搏血氧饱和度监测手表对诊断小儿阻塞性睡眠呼吸暂停/低通气综合征的价值。
Acta Otolaryngol. 2018 Feb;138(2):175-179. doi: 10.1080/00016489.2017.1384569. Epub 2017 Oct 9.
8
Advances in non-coding RNA as a biomarker for obstructive sleep apnoea hypoventilation syndrome.非编码 RNA 作为阻塞性睡眠呼吸暂停低通气综合征生物标志物的研究进展。
Sleep Breath. 2024 Oct;28(5):1899-1908. doi: 10.1007/s11325-024-03109-x. Epub 2024 Jul 17.
9
Serum adropin level is associated with endothelial dysfunction in patients with obstructive sleep apnea and hypopnea syndrome.血清阿立新水平与阻塞性睡眠呼吸暂停低通气综合征患者的血管内皮功能障碍有关。
Sleep Breath. 2021 Mar;25(1):117-123. doi: 10.1007/s11325-020-02072-7. Epub 2020 Apr 6.
10
Clinical application of MRI-respiratory gating technology in the evaluation of children with obstructive sleep apnea hypopnea syndrome.MRI呼吸门控技术在儿童阻塞性睡眠呼吸暂停低通气综合征评估中的临床应用
Medicine (Baltimore). 2018 Jan;97(4):e9680. doi: 10.1097/MD.0000000000009680.

引用本文的文献

1
Diagnostic potential of biomarkers in the assessment of pediatric obstructive sleep apnea-A systematic review and meta- analysis.生物标志物在儿童阻塞性睡眠呼吸暂停评估中的诊断潜力——一项系统评价和荟萃分析
Eur Arch Otorhinolaryngol. 2025 May 1. doi: 10.1007/s00405-025-09424-7.

本文引用的文献

1
Obstructive Sleep Apnea: A Look towards Micro-RNAs as Biomarkers of the Future.阻塞性睡眠呼吸暂停:展望将微小RNA作为未来的生物标志物
Biology (Basel). 2022 Dec 30;12(1):66. doi: 10.3390/biology12010066.
2
RNA-sequencing reveals the expression profiles of tsRNAs and their potential carcinogenic role in cholangiocarcinoma.RNA 测序揭示了 tsRNAs 的表达谱及其在胆管癌中的潜在致癌作用。
J Clin Lab Anal. 2022 Oct;36(10):e24694. doi: 10.1002/jcla.24694. Epub 2022 Sep 13.
3
A tRNA-derived fragment of ginseng protects heart against ischemia/reperfusion injury via targeting the lncRNA MIAT/VEGFA pathway.
人参来源的一种tRNA衍生片段通过靶向长链非编码RNA MIAT/血管内皮生长因子A(VEGFA)途径保护心脏免受缺血/再灌注损伤。
Mol Ther Nucleic Acids. 2022 Aug 13;29:672-688. doi: 10.1016/j.omtn.2022.08.014. eCollection 2022 Sep 13.
4
Plasma tRNA-derived small RNAs signature as a predictive and prognostic biomarker in lung adenocarcinoma.血浆中源自转运RNA的小RNA特征作为肺腺癌的预测和预后生物标志物
Cancer Cell Int. 2022 Feb 3;22(1):59. doi: 10.1186/s12935-022-02481-6.
5
Obstructive Sleep Apnea in Underweight Children.体重不足儿童的阻塞性睡眠呼吸暂停
Otolaryngol Head Neck Surg. 2022 Sep;167(3):566-572. doi: 10.1177/01945998211058722. Epub 2021 Nov 16.
6
Inflammatory cytokine-regulated tRNA-derived fragment tRF-21 suppresses pancreatic ductal adenocarcinoma progression.炎症细胞因子调节的 tRNA 衍生片段 tRF-21 抑制胰腺导管腺癌的进展。
J Clin Invest. 2021 Nov 15;131(22). doi: 10.1172/JCI148130.
7
Obstructive sleep apnea and metabolic disorders in morbidly obese adolescents.肥胖青少年阻塞性睡眠呼吸暂停与代谢紊乱。
Pediatr Pulmonol. 2021 Dec;56(12):3983-3990. doi: 10.1002/ppul.25652. Epub 2021 Sep 9.
8
The potential of miR-499 plasmatic level as a biomarker of obstructive sleep apnea syndrome.miR-499血浆水平作为阻塞性睡眠呼吸暂停综合征生物标志物的潜力。
Biomark Med. 2021 Aug;15(12):1011-1019. doi: 10.2217/bmm-2020-0826. Epub 2021 Jul 22.
9
Metabolic alterations and systemic inflammation in overweight/obese children with obstructive sleep apnea.超重/肥胖合并阻塞性睡眠呼吸暂停患儿的代谢改变和全身炎症反应。
PLoS One. 2021 Jun 4;16(6):e0252353. doi: 10.1371/journal.pone.0252353. eCollection 2021.
10
Childhood Obesity and Respiratory Diseases: Which Link?儿童肥胖与呼吸系统疾病:有何关联?
Children (Basel). 2021 Feb 25;8(3):177. doi: 10.3390/children8030177.