Suppr超能文献

从保加利亚黑海收获的(Desf.)Borry 中提取、结构表征和体内抗炎作用的褐藻酸盐。

Extraction, Structural Characterization, and In Vivo Anti-Inflammatory Effect of Alginate from (Desf.) Borry Harvested in the Bulgarian Black Sea.

机构信息

Department of Pharmacology, Toxicology, and Pharmacotherapy, Faculty of Pharmacy, Medical University-Plovdiv, Vasil Aprilov Str. 15A, 4002 Plovdiv, Bulgaria.

Department of Pharmacognosy and Pharmaceutical Chemistry, Faculty of Pharmacy, Medical University-Plovdiv, 4002 Plovdiv, Bulgaria.

出版信息

Mar Drugs. 2023 Apr 16;21(4):245. doi: 10.3390/md21040245.

Abstract

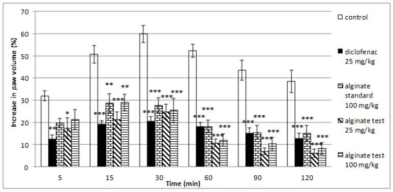
The aim of this study was to identify the chemical composition and sequential structure of alginate isolated from harvested in the Bulgarian Black Sea, as well as its effects in histamine-induced paw inflammation in rats. The serum levels of TNF-α, IL-1β, IL-6, and IL-10 in rats with systemic inflammation, and the levels of TNF-α in a model of acute peritonitis in rats were also investigated. The structural characterization of the polysaccharide was obtained by FTIR, SEC-MALS, and H NMR. The extracted alginate had an M/G ratio of 1.018, a molecular weight of 7.31 × 10 g/mol, and a polydispersity index of 1.38. alginate in doses of 25 and 100 mg/kg showed well-defined anti-inflammatory activity in the model of paw edema. A significant decrease in serum levels of IL-1β was observed only in animals treated with alginate in a dose of 25 mg/kg bw. The concentrations of TNF-α and IL-6 in serum were significantly reduced in rats treated with both doses of the polysaccharide, but no statistical significance was observed in the levels of the anti-inflammatory cytokine IL-10. A single dose of alginate did not significantly alter the levels of the pro-inflammatory cytokine TNF-α in the peritoneal fluid of rats with a model of peritonitis.

摘要

本研究旨在鉴定从保加利亚黑海收获的褐藻酸盐的化学成分和序列结构,以及其在组胺诱导的大鼠爪肿胀炎症中的作用。还研究了系统性炎症大鼠血清中 TNF-α、IL-1β、IL-6 和 IL-10 的水平,以及急性腹膜炎大鼠模型中 TNF-α 的水平。多糖的结构特征通过 FTIR、SEC-MALS 和 H NMR 获得。提取的褐藻酸盐的 M/G 比为 1.018,分子量为 7.31×10 g/mol,多分散指数为 1.38。褐藻酸盐在 25 和 100 mg/kg 剂量下显示出明确的抗炎活性,在爪肿胀模型中。仅在以 25 mg/kg bw 剂量给予褐藻酸盐的动物中观察到血清中 IL-1β水平显著降低。两种剂量的多糖均显著降低了血清中 TNF-α 和 IL-6 的浓度,但抗炎细胞因子 IL-10 的水平无统计学意义。单次褐藻酸盐剂量对腹膜炎模型大鼠腹腔液中促炎细胞因子 TNF-α的水平没有显著影响。

https://cdn.ncbi.nlm.nih.gov/pmc/blobs/c2de/10141736/e4cf5bdcaeb8/marinedrugs-21-00245-g001.jpg

文献AI研究员

20分钟写一篇综述,助力文献阅读效率提升50倍。

立即体验

用中文搜PubMed

大模型驱动的PubMed中文搜索引擎

马上搜索

文档翻译

学术文献翻译模型,支持多种主流文档格式。

立即体验