Suppr超能文献

类胡萝卜素在氨型和鏻型离子液体中的溶解度和稳定性:溶剂性质、温度和水的影响

Solubility and Stability of Carotenoids in Ammonium- and Phosphonium-Based Ionic Liquids: Effect of Solvent Nature, Temperature and Water.

机构信息

Collage of Food Science, Guangdong Pharmaceutical University, Guangzhou 510006, China.

Collage of Food Science and Technology, Guangdong Ocean University, Zhanjiang 524091, China.

出版信息

Molecules. 2023 Apr 21;28(8):3618. doi: 10.3390/molecules28083618.

Abstract

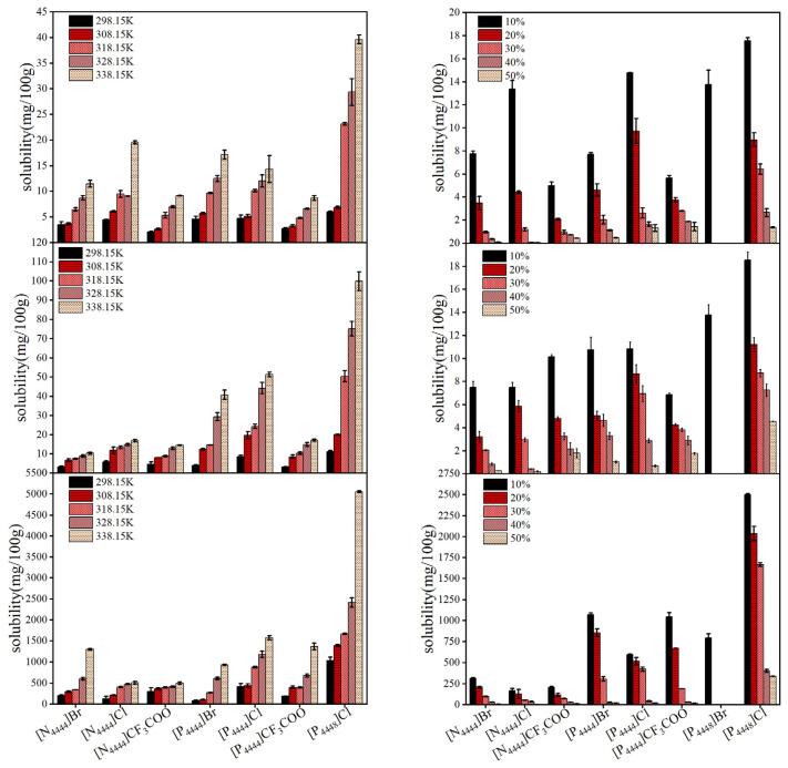
Ionic liquids (ILs) have arisen as alternatives to organic solvents and been used in natural pigment extraction in recent decades. However, the solubility and stability of carotenoids in phosphonium- and ammonium-based ILs are insufficiently explored. In this work, the physicochemical properties of the ILs, and the dissolution behavior and storage stability of three carotenoids (astaxanthin, β-carotene, and lutein) in the IL aqueous solution were investigated. The results showed that the solubility of the carotenoids in the acidic IL solution is higher than that in the alkaline IL solution, and the optimal pH is about 6. The solubility of astaxanthin (40 mg/100 g), β-carotene (105 mg/100 g), and lutein (5250 mg/100 g) was the highest in tributyloctylphosphonium chloride ([P]Cl) due to the van der Waals forces with [P] and hydrogen bonding with Cl. A high temperature was beneficial to improve the solubility, but it can reduce the storage stability. Water has no significant effect on the carotenoid stability, but a high water content decreases the carotenoid solubility. A IL water content of 10-20%, an extraction temperature of 338.15 K, and a storage temperature of less than 298.15 K are beneficial for reducing the IL viscosity, improving carotenoid solubility, and maintaining good stability. Moreover, a linear correlation was found between the color parameters and carotenoid contents. This study provides some guidance for screening suitable solvents for carotenoid extraction and storage.

摘要

离子液体 (ILs) 作为有机溶剂的替代品,近几十年来已被用于天然色素的提取。然而,磷鎓盐和铵盐基 ILs 中类胡萝卜素的溶解度和稳定性还未得到充分研究。本工作研究了 ILs 的物理化学性质,以及三种类胡萝卜素(虾青素、β-胡萝卜素和叶黄素)在 IL 水溶液中的溶解行为和储存稳定性。结果表明,类胡萝卜素在酸性 IL 溶液中的溶解度高于碱性 IL 溶液,最佳 pH 值约为 6。由于与[P]的范德华力和与 Cl 的氢键,三辛基氧膦氯化物 ([P]Cl) 中虾青素 (40 mg/100 g)、β-胡萝卜素 (105 mg/100 g) 和叶黄素 (5250 mg/100 g) 的溶解度最高。升高温度有利于提高溶解度,但会降低储存稳定性。水对类胡萝卜素稳定性没有显著影响,但高含水量会降低类胡萝卜素的溶解度。IL 含水量为 10-20%、提取温度为 338.15 K、储存温度低于 298.15 K 有利于降低 IL 粘度、提高类胡萝卜素溶解度和保持良好的稳定性。此外,颜色参数与类胡萝卜素含量之间存在线性相关性。本研究为筛选适合类胡萝卜素提取和储存的溶剂提供了一些指导。

https://cdn.ncbi.nlm.nih.gov/pmc/blobs/96f8/10143741/931a24d56fa3/molecules-28-03618-g001.jpg

文献检索

告别复杂PubMed语法,用中文像聊天一样搜索,搜遍4000万医学文献。AI智能推荐,让科研检索更轻松。

立即免费搜索

文件翻译

保留排版,准确专业,支持PDF/Word/PPT等文件格式,支持 12+语言互译。

免费翻译文档

深度研究

AI帮你快速写综述,25分钟生成高质量综述,智能提取关键信息,辅助科研写作。

立即免费体验