Suppr超能文献

可穿戴惯性传感器在评估和训练深层颈屈肌中的潜在应用:一项在颅颈屈伸试验中运动学和压力数据实时同步的可行性研究。

Potential Use of Wearable Inertial Sensors to Assess and Train Deep Cervical Flexors: A Feasibility Study with Real Time Synchronization of Kinematic and Pressure Data during the Craniocervical Flexion Test.

机构信息

Departamento de Fisioterapia, Facultad de Medicina, CEU San Pablo University, 28668 Madrid, Spain.

Departamento de Tecnologías de la Información, Escuela Politécnica Superior, CEU San Pablo University, 28668 Madrid, Spain.

出版信息

Sensors (Basel). 2023 Apr 12;23(8):3911. doi: 10.3390/s23083911.

Abstract

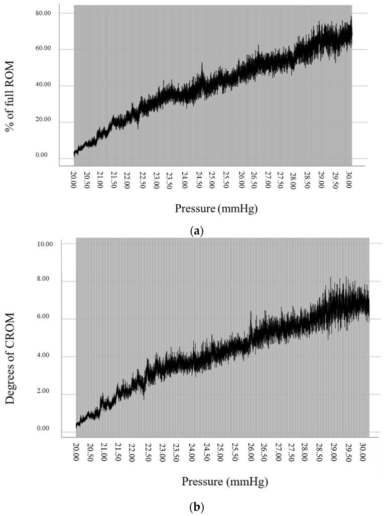
The aim of the study was to develop a novel real-time, computer-based synchronization system to continuously record pressure and craniocervical flexion ROM (range of motion) during the CCFT (craniocervical flexion test) in order to assess its feasibility for measuring and discriminating the values of ROM between different pressure levels. This was a descriptive, observational, cross-sectional, feasibility study. Participants performed a full-range craniocervical flexion and the CCFT. During the CCFT, a pressure sensor and a wireless inertial sensor simultaneously registered data of pressure and ROM. A web application was developed using HTML and NodeJS technologies. Forty-five participants successfully finished the study protocol (20 males, 25 females; 32 (11.48) years). ANOVAs showed large effect significant interactions between pressure levels and the percentage of full craniocervical flexion ROM when considering the 6 pressure reference levels of the CCFT ( < 0.001; η = 0.697), 11 pressure levels separated by 1 mmHg ( < 0.001; η = 0.683), and 21 pressure levels separated by 0.5 mmHg ( < 0.001; η = 0.671). The novel time synchronizing system seems a feasible option to provide real-time monitoring of both pressure and ROM, which could serve as reference targets to further investigate the potential use of inertial sensor technology to assess or train deep cervical flexors.

摘要

本研究旨在开发一种新的实时、基于计算机的同步系统,以连续记录压力和颅颈屈曲 ROM(运动范围)在 CCFT(颅颈屈曲测试)期间,以评估其测量和区分不同压力水平 ROM 值的可行性。这是一项描述性、观察性、横截面、可行性研究。参与者进行了全范围颅颈屈曲和 CCFT。在 CCFT 期间,压力传感器和无线惯性传感器同时记录压力和 ROM 数据。使用 HTML 和 NodeJS 技术开发了一个网络应用程序。45 名参与者成功完成了研究方案(20 名男性,25 名女性;32(11.48)岁)。方差分析显示,当考虑 CCFT 的 6 个压力参考水平(<0.001;η=0.697)、11 个间隔为 1mmHg 的压力水平(<0.001;η=0.683)和 21 个间隔为 0.5mmHg 的压力水平(<0.001;η=0.671)时,压力水平与全颅颈屈曲 ROM 的百分比之间存在显著的交互作用。新型时间同步系统似乎是提供压力和 ROM 实时监测的可行选择,这可以作为参考目标,进一步研究惯性传感器技术评估或训练深层颈屈肌的潜在用途。

https://cdn.ncbi.nlm.nih.gov/pmc/blobs/6cb2/10141233/6685500b6637/sensors-23-03911-g001.jpg

文献检索

告别复杂PubMed语法,用中文像聊天一样搜索,搜遍4000万医学文献。AI智能推荐,让科研检索更轻松。

立即免费搜索

文件翻译

保留排版,准确专业,支持PDF/Word/PPT等文件格式,支持 12+语言互译。

免费翻译文档

深度研究

AI帮你快速写综述,25分钟生成高质量综述,智能提取关键信息,辅助科研写作。

立即免费体验