Suppr超能文献

采用脑电图和心率变异性研究嗅觉刺激的心理状态。

Study on the Psychological States of Olfactory Stimuli Using Electroencephalography and Heart Rate Variability.

机构信息

College of Engineering, Shibaura Institute of Technology, Tokyo 135-8548, Japan.

Research & Development Division, S.T. Corporation, Tokyo 161-0033, Japan.

出版信息

Sensors (Basel). 2023 Apr 16;23(8):4026. doi: 10.3390/s23084026.

Abstract

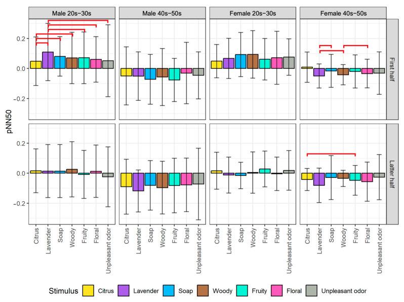
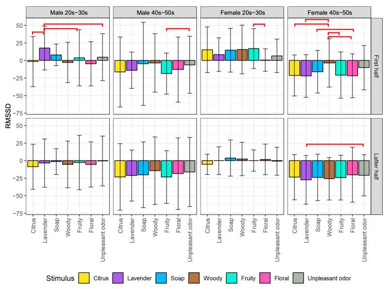
In the modern information society, people are constantly exposed to stress due to complex work environments and various interpersonal relationships. Aromatherapy is attracting attention as one of the methods for relieving stress using aroma. A method to quantitatively evaluate such an effect is necessary to clarify the effect of aroma on the human psychological state. In this study, we propose a method of using two biological indexes, electroencephalogram (EEG) and heart rate variability (HRV), to evaluate human psychological states during the inhalation of aroma. The purpose is to investigate the relationship between biological indexes and the psychological effect of aromas. First, we conducted an aroma presentation experiment using seven different olfactory stimuli while collecting data from EEG and pulse sensors. Next, we extracted the EEG and HRV indexes from the experimental data and analyzed them with respect to the olfactory stimuli. Our study found that olfactory stimuli have a strong effect on psychological states during aroma stimuli and that the human response to olfactory stimuli is immediate but gradually adapts to a more neutral state. The EEG and HRV indexes showed significant differences between aromas and unpleasant odors especially for male participants in their 20-30s, while the delta wave and RMSSD indexes showed potential for generalizing the method to evaluate psychological states influenced by olfactory stimuli across genders and generations. The results suggest the possibility of using EEG and HRV indexes to evaluate psychological states toward olfactory stimuli such as aroma. In addition, we visualized the psychological states affected by the olfactory stimuli on an emotion map, suggesting an appropriate range of EEG frequency bands for evaluating psychological states applied to the olfactory stimuli. The novelty of this research lies in our proposed method to provide a more detailed picture of the psychological responses to olfactory stimuli using the integration of biological indexes and emotion map, which contributes to the areas such as marketing and product design by providing insights into the emotional responses of consumers to different olfactory products.

摘要

在现代信息社会中,由于复杂的工作环境和各种人际关系,人们不断面临压力。芳香疗法作为一种利用香气缓解压力的方法,正受到关注。为了明确香气对人体心理状态的影响,有必要建立一种定量评估其效果的方法。在这项研究中,我们提出了一种使用脑电图(EEG)和心率变异性(HRV)这两种生物指标来评估人类在吸入香气时心理状态的方法。目的是研究生物指标与香气心理效应之间的关系。首先,我们进行了一项使用七种不同嗅觉刺激物的香气呈现实验,同时从脑电图和脉搏传感器收集数据。然后,我们从实验数据中提取 EEG 和 HRV 指标,并对其进行分析,以了解嗅觉刺激物的影响。我们的研究发现,嗅觉刺激物对香气刺激时的心理状态有很强的影响,人体对嗅觉刺激的反应是即时的,但会逐渐适应到更中性的状态。EEG 和 HRV 指标在不同的香气和不愉快的气味之间表现出显著的差异,特别是对于 20-30 岁的男性参与者,而 delta 波和 RMSSD 指标表现出了将该方法推广到评估受嗅觉刺激影响的心理状态的潜力,跨越性别和代际。研究结果表明,使用 EEG 和 HRV 指标评估对香气等嗅觉刺激的心理状态是可能的。此外,我们在情绪图谱上可视化了受嗅觉刺激影响的心理状态,这表明了评估应用于嗅觉刺激的心理状态的适当 EEG 频带范围。这项研究的新颖之处在于,我们提出了一种方法,通过整合生物指标和情绪图谱,更详细地描绘了对嗅觉刺激的心理反应,这为营销和产品设计等领域提供了消费者对不同嗅觉产品的情感反应的见解。

https://cdn.ncbi.nlm.nih.gov/pmc/blobs/7934/10143627/984dce96b5c3/sensors-23-04026-g0A1.jpg

文献检索

告别复杂PubMed语法,用中文像聊天一样搜索,搜遍4000万医学文献。AI智能推荐,让科研检索更轻松。

立即免费搜索

文件翻译

保留排版,准确专业,支持PDF/Word/PPT等文件格式,支持 12+语言互译。

免费翻译文档

深度研究

AI帮你快速写综述,25分钟生成高质量综述,智能提取关键信息,辅助科研写作。

立即免费体验