Suppr超能文献

传染性呼吸道疾病大流行的边境管控:对 H1N1 及四种 SARS-CoV-2 毒株的建模研究。

Border Control for Infectious Respiratory Disease Pandemics: A Modelling Study for H1N1 and Four Strains of SARS-CoV-2.

机构信息

Saw Swee Hock School of Public Health, National University of Singapore 12 Science Drive 2, #10-01, Singapore 117549, Singapore.

Lee Kong Chian School of Medicine, Nanyang Technological University Experimental Medicine Building, 59 Nanyang Drive, Singapore 636921, Singapore.

出版信息

Viruses. 2023 Apr 16;15(4):978. doi: 10.3390/v15040978.

Abstract

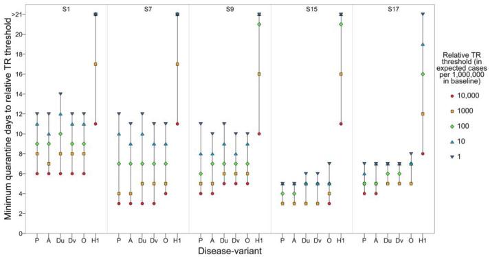
Post-pandemic economic recovery relies on border control for safe cross-border movement. Following the COVID-19 pandemic, we investigate whether effective strategies generalize across diseases and variants. For four SARS-CoV-2 variants and influenza A-H1N1, we simulated 21 strategy families of varying test types and frequencies, quantifying expected transmission risk, relative to no control, by strategy family and quarantine length. We also determined minimum quarantine lengths to suppress relative risk below given thresholds. SARS-CoV-2 variants showed similar relative risk across strategy families and quarantine lengths, with at most 2 days' between-variant difference in minimum quarantine lengths. ART-based and PCR-based strategies showed comparable effectiveness, with regular testing strategies requiring at most 9 days. For influenza A-H1N1, ART-based strategies were ineffective. Daily ART testing reduced relative risk only 9% faster than without regular testing. PCR-based strategies were moderately effective, with daily PCR (0-day delay) testing requiring 16 days for the second-most stringent threshold. Viruses with high typical viral loads and low transmission risk given low viral loads, such as SARS-CoV-2, are effectively controlled with moderate-sensitivity tests (ARTs) and modest quarantine periods. Viruses with low typical viral loads and substantial transmission risk at low viral loads, such as influenza A-H1N1, require high-sensitivity tests (PCR) and longer quarantine periods.

摘要

大流行后经济复苏依赖于边境管控以实现安全跨境流动。在 COVID-19 大流行之后,我们研究了有效的策略是否可以跨疾病和变体普遍适用。对于四种 SARS-CoV-2 变体和流感 A-H1N1,我们模拟了 21 种具有不同检测类型和频率的策略家族,通过策略家族和隔离长度来量化相对于无控制的预期传播风险。我们还确定了最小隔离长度,以将相对风险抑制在给定阈值以下。SARS-CoV-2 变体在策略家族和隔离长度上表现出相似的相对风险,变体之间的最小隔离长度最多相差 2 天。基于 ART 和基于 PCR 的策略具有相当的有效性,定期检测策略最多需要 9 天。对于流感 A-H1N1,基于 ART 的策略无效。每日 ART 检测仅将相对风险降低了 9%,而没有定期检测。基于 PCR 的策略具有中等有效性,每天进行 PCR(无延迟)检测需要 16 天才能达到第二个最严格的阈值。具有高典型病毒载量和低病毒载量下低传播风险的病毒,如 SARS-CoV-2,可以通过中等灵敏度测试(ART)和适度的隔离期得到有效控制。具有低典型病毒载量和低病毒载量下传播风险较大的病毒,如流感 A-H1N1,需要高灵敏度测试(PCR)和更长的隔离期。

https://cdn.ncbi.nlm.nih.gov/pmc/blobs/4804/10144227/828cff775462/viruses-15-00978-sch001.jpg

文献AI研究员

20分钟写一篇综述,助力文献阅读效率提升50倍。

立即体验

用中文搜PubMed

大模型驱动的PubMed中文搜索引擎

马上搜索

文档翻译

学术文献翻译模型,支持多种主流文档格式。

立即体验