Suppr超能文献

计算机辅助家庭训练对法国人工耳蜗植入者的初步评估。

Preliminary evaluation of computer-assisted home training for French cochlear implant recipients.

机构信息

University Hospital Center of Tours, FRA, Tours, France.

House Institute Foundation, Los Angeles, California, United States of America.

出版信息

PLoS One. 2023 Apr 28;18(4):e0285154. doi: 10.1371/journal.pone.0285154. eCollection 2023.

Abstract

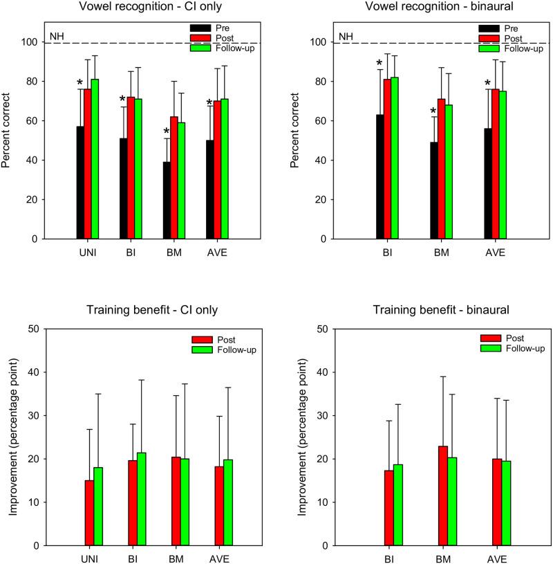
For French cochlear implant (CI) recipients, in-person clinical auditory rehabilitation is typically provided during the first few years post-implantation. However, this is often inconvenient, it requires substantial time resources and can be problematic when appointments are unavailable. In response, we developed a computer-based home training software ("French AngelSound™") for French CI recipients. We recently conducted a pilot study to evaluate the newly developed French AngelSound™ in 15 CI recipients (5 unilateral, 5 bilateral, 5 bimodal). Outcome measures included phoneme recognition in quiet and sentence recognition in noise. Unilateral CI users were tested with the CI alone. Bilateral CI users were tested with each CI ear alone to determine the poorer ear to be trained, as well as with both ears (binaural performance). Bimodal CI users were tested with the CI ear alone, and with the contralateral hearing aid (binaural performance). Participants trained at home over a one-month period (10 hours total). Phonemic contrast training was used; the level of difficulty ranged from phoneme discrimination in quiet to phoneme identification in multi-talker babble. Unilateral and bimodal CI users trained with the CI alone; bilateral CI users trained with the poorer ear alone. Outcomes were measured before training (pre-training), immediately after training was completed (post-training), and one month after training was stopped (follow-up). For all participants, post-training CI-only vowel and consonant recognition scores significantly improved after phoneme training with the CI ear alone. For bilateral and bimodal CI users, binaural vowel and consonant recognition scores also significantly improved after training with a single CI ear. Follow-up measures showed that training benefits were largely retained. These preliminary data suggest that the phonemic contrast training in French AngelSound™ may significantly benefit French CI recipients and may complement clinical auditory rehabilitation, especially when in-person visits are not possible.

摘要

对于法国人工耳蜗(CI)植入者,植入后的最初几年通常会提供面对面的临床听觉康复。然而,这种方式往往不太方便,需要大量的时间资源,而且当预约不可用时可能会出现问题。为了应对这一问题,我们为法国 CI 植入者开发了一种基于计算机的家庭训练软件(“French AngelSound™”)。我们最近对 15 名 CI 接受者(5 名单侧,5 名双侧,5 名双耳)进行了一项试点研究,以评估新开发的 French AngelSound™。单侧 CI 用户仅使用 CI 进行测试。双侧 CI 用户分别使用每只 CI 耳朵进行测试,以确定需要接受训练的较差耳朵,以及双耳(双耳性能)进行测试。双耳 CI 用户仅使用 CI 耳朵进行测试,并使用对侧助听器(双耳性能)进行测试。参与者在家中进行了为期一个月(共 10 小时)的训练。使用了语音对比训练;难度级别从安静环境下的语音辨别到多说话者噪声中的语音识别。单侧和双耳 CI 用户仅使用 CI 进行训练;双侧 CI 用户仅使用较差的耳朵进行训练。在训练前(预训练)、训练完成后立即(后训练)和停止训练一个月后(随访)测量结果。对于所有参与者,仅使用 CI 进行的训练后 CI 元音和辅音识别得分在使用 CI 耳朵进行语音训练后显著提高。对于双侧和双耳 CI 用户,在使用单个 CI 耳朵进行训练后,双元音和辅音识别得分也显著提高。随访测量结果表明,训练的益处在很大程度上得到了保留。这些初步数据表明,French AngelSound™中的语音对比训练可能会使法国 CI 接受者显著受益,并可能补充临床听觉康复,特别是在无法进行面对面访问时。

https://cdn.ncbi.nlm.nih.gov/pmc/blobs/992b/10146517/bcaf11f573db/pone.0285154.g001.jpg

文献AI研究员

20分钟写一篇综述,助力文献阅读效率提升50倍。

立即体验

用中文搜PubMed

大模型驱动的PubMed中文搜索引擎

马上搜索

文档翻译

学术文献翻译模型,支持多种主流文档格式。

立即体验