• 文献检索
  • 文档翻译
  • 深度研究
  • 学术资讯
  • Suppr Zotero 插件Zotero 插件
  • 邀请有礼
  • 套餐&价格
  • 历史记录
应用&插件
Suppr Zotero 插件Zotero 插件浏览器插件Mac 客户端Windows 客户端微信小程序
定价
高级版会员购买积分包购买API积分包
服务
文献检索文档翻译深度研究API 文档MCP 服务
关于我们
关于 Suppr公司介绍联系我们用户协议隐私条款
关注我们

Suppr 超能文献

核心技术专利:CN118964589B侵权必究
粤ICP备2023148730 号-1Suppr @ 2026

文献检索

告别复杂PubMed语法,用中文像聊天一样搜索,搜遍4000万医学文献。AI智能推荐,让科研检索更轻松。

立即免费搜索

文件翻译

保留排版,准确专业,支持PDF/Word/PPT等文件格式,支持 12+语言互译。

免费翻译文档

深度研究

AI帮你快速写综述,25分钟生成高质量综述,智能提取关键信息,辅助科研写作。

立即免费体验

在老年高血压患者中,降压治疗与蒙特利尔认知评估中的视觉空间、执行功能、注意力、抽象思维、记忆及回忆得分的改善相关。

Antihypertensive therapy is associated with improved visuospatial, executive, attention, abstraction, memory, and recall scores on the montreal cognitive assessment in geriatric hypertensive patients.

作者信息

Panchawagh Suhrud, Karandikar Yogita, Pujari Shripad

机构信息

Department of Medicine, Smt. Kashibai Navale Medical College & General Hospital, Pune, India.

Department of Pharmacology, Smt. Kashibai Navale Medical College & General Hospital, Pune, India.

出版信息

Cereb Circ Cogn Behav. 2023 Apr 18;4:100165. doi: 10.1016/j.cccb.2023.100165. eCollection 2023.

DOI:10.1016/j.cccb.2023.100165
PMID:37131908
原文链接:https://pmc.ncbi.nlm.nih.gov/articles/PMC10149192/
Abstract

BACKGROUND

The prevalence of Mild Cognitive Impairment (MCI) has increased over the past few decades. However, it can potentially be reversed if detected early. Early detection of MCI using the sensitive Montreal Cognitive Assessment (MoCA) might prove to be an important cog in the wheel in identifying and slowing down this morbid pandemic in hypertensive persons.

OBJECTIVES

To study the association of antihypertensive agents on cognitive scores and prevalence of MCI using the MoCA.

MATERIALS AND METHODS

This is a single-center, controlled, observational, cross-sectional study in a tertiary care teaching hospital in India. Cognitive assessment was done using the Montreal Cognitive Assessment. Data on MoCA scores were comprehensively analyzed.

RESULTS

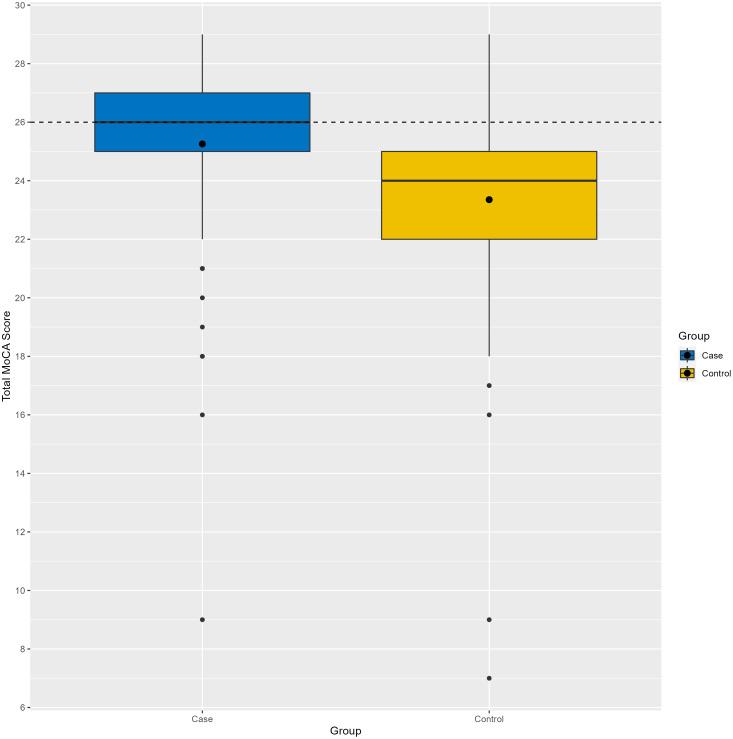
A total of  = 210 patients ( = 105 the in study and control groups) were included in the study. The median (IQR) MoCA score (out of 30 points) in patients taking antihypertensives was 26 (25 - 27), while it was 24 (22 - 25) in the control group. There was no difference in MoCA scores between patients taking lipophilic or hydrophilic antihypertensives. Similarly, there was no difference in MoCA scores between patients taking different drug regimens.

CONCLUSION

Anti-hypertensive therapy and lower blood pressure had a statistically significant positive association with visuospatial, executive, attention, abstraction, memory, and recall MoCA scores. Patients on antihypertensive therapy also had a lower prevalence of MCI. MoCA scores were similar in patients on either lipophilic or hydrophilic drugs and were similar between patients on different antihypertensive drug classes.

摘要

背景

在过去几十年中,轻度认知障碍(MCI)的患病率有所上升。然而,如果早期发现,它有可能被逆转。使用敏感的蒙特利尔认知评估量表(MoCA)早期检测MCI可能是识别和减缓高血压患者中这种病态流行的重要一环。

目的

使用MoCA研究抗高血压药物与认知评分及MCI患病率之间的关联。

材料与方法

这是一项在印度一家三级护理教学医院进行的单中心、对照、观察性横断面研究。使用蒙特利尔认知评估量表进行认知评估。对MoCA评分数据进行了全面分析。

结果

本研究共纳入210例患者(研究组和对照组各105例)。服用抗高血压药物患者的MoCA评分中位数(四分位间距)(满分30分)为26(25 - 27),而对照组为24(22 - 25)。服用亲脂性或亲水性抗高血压药物的患者之间MoCA评分无差异。同样,服用不同药物方案的患者之间MoCA评分也无差异。

结论

抗高血压治疗和较低的血压与视觉空间、执行功能、注意力、抽象思维、记忆和回忆的MoCA评分在统计学上有显著正相关。接受抗高血压治疗的患者MCI患病率也较低。服用亲脂性或亲水性药物的患者MoCA评分相似,不同抗高血压药物类别的患者之间MoCA评分也相似。

https://cdn.ncbi.nlm.nih.gov/pmc/blobs/3d29/10149192/130e04c9d5a9/gr3.jpg
https://cdn.ncbi.nlm.nih.gov/pmc/blobs/3d29/10149192/d9a67a2c2560/gr1.jpg
https://cdn.ncbi.nlm.nih.gov/pmc/blobs/3d29/10149192/1d0b0b2f9f17/gr2.jpg
https://cdn.ncbi.nlm.nih.gov/pmc/blobs/3d29/10149192/130e04c9d5a9/gr3.jpg
https://cdn.ncbi.nlm.nih.gov/pmc/blobs/3d29/10149192/d9a67a2c2560/gr1.jpg
https://cdn.ncbi.nlm.nih.gov/pmc/blobs/3d29/10149192/1d0b0b2f9f17/gr2.jpg
https://cdn.ncbi.nlm.nih.gov/pmc/blobs/3d29/10149192/130e04c9d5a9/gr3.jpg

相似文献

1
Antihypertensive therapy is associated with improved visuospatial, executive, attention, abstraction, memory, and recall scores on the montreal cognitive assessment in geriatric hypertensive patients.在老年高血压患者中,降压治疗与蒙特利尔认知评估中的视觉空间、执行功能、注意力、抽象思维、记忆及回忆得分的改善相关。
Cereb Circ Cogn Behav. 2023 Apr 18;4:100165. doi: 10.1016/j.cccb.2023.100165. eCollection 2023.
2
Relationship between the Montreal Cognitive Assessment and Mini-mental State Examination for assessment of mild cognitive impairment in older adults.蒙特利尔认知评估量表与简易精神状态检查表在评估老年人轻度认知障碍中的关系。
BMC Geriatr. 2015 Sep 7;15:107. doi: 10.1186/s12877-015-0103-3.
3
Evaluation of extent and pattern of neurocognitive functions in mild and moderate traumatic brain injury patients by using Montreal Cognitive Assessment (MoCA) score as a screening tool: An observational study from India.采用蒙特利尔认知评估量表(MoCA)评分作为筛查工具评估轻度和中度创伤性脑损伤患者的神经认知功能的程度和模式:来自印度的一项观察性研究。
Asian J Psychiatr. 2019 Mar;41:60-65. doi: 10.1016/j.ajp.2018.08.007. Epub 2018 Aug 10.
4
Limitations for interpreting failure on individual subtests of the Montreal Cognitive Assessment.蒙特利尔认知评估的个别子测试失败的解释限制。
J Geriatr Psychiatry Neurol. 2013 Mar;26(1):19-28. doi: 10.1177/0891988712473802. Epub 2013 Feb 4.
5
Comparison of the Quick Mild Cognitive Impairment (Qmci) screen to the Montreal Cognitive Assessment (MoCA) in an Australian geriatrics clinic.在澳大利亚老年病诊所中,快速轻度认知障碍(Qmci)筛查与蒙特利尔认知评估(MoCA)的比较。
Int J Geriatr Psychiatry. 2017 Jun;32(6):643-649. doi: 10.1002/gps.4505. Epub 2016 Jul 18.
6
Is the Montreal Cognitive Assessment (MoCA) test better suited than the Mini-Mental State Examination (MMSE) in mild cognitive impairment (MCI) detection among people aged over 60? Meta-analysis.在60岁以上人群的轻度认知障碍(MCI)检测中,蒙特利尔认知评估量表(MoCA)测试是否比简易精神状态检查表(MMSE)更适用?荟萃分析。
Psychiatr Pol. 2016 Oct 31;50(5):1039-1052. doi: 10.12740/PP/45368.
7
Optimal cutoff scores for dementia and mild cognitive impairment of the Montreal Cognitive Assessment among elderly and oldest-old Chinese population.蒙特利尔认知评估量表在高龄及超高龄中国人群中痴呆和轻度认知障碍的最佳临界值
J Alzheimers Dis. 2015;43(4):1403-12. doi: 10.3233/JAD-141278.
8
Evaluating the relationship between education level and cognitive impairment with the Montreal Cognitive Assessment Test.通过蒙特利尔认知评估测试评估教育水平与认知障碍之间的关系。
Psychogeriatrics. 2015 Sep;15(3):186-90. doi: 10.1111/psyg.12093. Epub 2015 Jan 5.
9
A subtest analysis of the Montreal cognitive assessment (MoCA): which subtests can best discriminate between healthy controls, mild cognitive impairment and Alzheimer's disease?蒙特利尔认知评估(MoCA)的子测验分析:哪些子测验能最佳区分健康对照、轻度认知障碍和阿尔茨海默病?
Int Psychogeriatr. 2016 May;28(5):825-32. doi: 10.1017/S1041610215001982. Epub 2015 Dec 1.
10
Validation of Montreal Cognitive Assessment and Discriminant Power of Montreal Cognitive Assessment Subtests in Patients With Mild Cognitive Impairment and Alzheimer Dementia in Turkish Population.蒙特利尔认知评估量表在土耳其轻度认知障碍和阿尔茨海默病痴呆患者中的效度验证及蒙特利尔认知评估量表各子测验的鉴别力研究
J Geriatr Psychiatry Neurol. 2014 Jun;27(2):103-9. doi: 10.1177/0891988714522701. Epub 2014 Feb 26.

引用本文的文献

1
Multiple chronic conditions and polypharmacy in cognitively unimpaired older adults are associated with subsequent cognitive decline: results from the national alzheimer's coordinating center data.认知未受损的老年人中的多种慢性病和多重用药与随后的认知衰退相关:来自国家阿尔茨海默病协调中心数据的结果
Arch Gerontol Geriatr. 2025 Jul;134:105846. doi: 10.1016/j.archger.2025.105846. Epub 2025 Apr 3.
2
The PLANS model predicts recurrent strokes in patients with minor ischemic strokes.PLANS模型可预测轻度缺血性中风患者的复发性中风。
Sci Rep. 2025 Mar 17;15(1):9187. doi: 10.1038/s41598-025-93741-8.
3
Association between physical activity and cognitive function in a multi-ethnic Asian older adult population.

本文引用的文献

1
A Comparison of Operational Definitions for Mild Cognitive Impairment.轻度认知障碍操作性定义的比较。
J Alzheimers Dis. 2022;88(4):1663-1678. doi: 10.3233/JAD-215548.
2
Impact of Antihypertensive Drug Class on Outcomes in SPRINT.SPRINT 研究中降压药种类对结局的影响。
Hypertension. 2022 May;79(5):1112-1121. doi: 10.1161/HYPERTENSIONAHA.121.18369. Epub 2022 Mar 9.
3
Worldwide trends in hypertension prevalence and progress in treatment and control from 1990 to 2019: a pooled analysis of 1201 population-representative studies with 104 million participants.
多民族亚洲老年人群体中身体活动与认知功能之间的关联。
Sci Rep. 2025 Feb 28;15(1):7249. doi: 10.1038/s41598-025-92074-w.
全球高血压患病率趋势及 1990 至 2019 年治疗和控制进展情况:1040 万参与者、1201 项人群代表性研究的汇总分析
Lancet. 2021 Sep 11;398(10304):957-980. doi: 10.1016/S0140-6736(21)01330-1. Epub 2021 Aug 24.
4
Blood-Brain Barrier Crossing Renin-Angiotensin Drugs and Cognition in the Elderly: A Meta-Analysis.血脑屏障穿越肾素-血管紧张素药物与老年人认知:一项荟萃分析。
Hypertension. 2021 Sep;78(3):629-643. doi: 10.1161/HYPERTENSIONAHA.121.17049. Epub 2021 Jun 21.
5
Antihypertensive Medication Classes and the Risk of Dementia: A Systematic Review and Network Meta-Analysis.抗高血压药物类别与痴呆风险:系统评价和网络荟萃分析。
J Am Med Dir Assoc. 2021 Jul;22(7):1386-1395.e15. doi: 10.1016/j.jamda.2020.12.019. Epub 2021 Jan 16.
6
Prevalence and incidence of cognitive impairment in an elder Portuguese population (65-85 years old).葡萄牙老年人群(65-85 岁)认知障碍的患病率和发生率。
BMC Geriatr. 2020 Nov 16;20(1):470. doi: 10.1186/s12877-020-01863-7.
7
Effects of intensive versus standard blood pressure control on domain-specific cognitive function: a substudy of the SPRINT randomised controlled trial.强化与标准血压控制对特定领域认知功能的影响:SPRINT 随机对照试验的子研究。
Lancet Neurol. 2020 Nov;19(11):899-907. doi: 10.1016/S1474-4422(20)30319-7.
8
Prevalence of mild cognitive impairment is higher in hypertensive population: a cross-sectional study in less developed northwest China.高血压人群中轻度认知障碍的患病率更高:中国西北欠发达地区的一项横断面研究
Medicine (Baltimore). 2020 May;99(19):e19891. doi: 10.1097/MD.0000000000019891.
9
Prevalence of Mild Cognitive Impairment in Rural Thai Older People, Associated Risk Factors and their Cognitive Characteristics.泰国农村老年人轻度认知障碍的患病率、相关危险因素及其认知特征
Dement Geriatr Cogn Dis Extra. 2020 Mar 26;10(1):38-45. doi: 10.1159/000506279. eCollection 2020 Jan-Apr.
10
Effects of Blood Pressure on Cognitive Performance: A Systematic Review.血压对认知功能的影响:一项系统综述。
J Clin Med. 2019 Dec 22;9(1):34. doi: 10.3390/jcm9010034.