Department of Technology, Research and Breeding Institute of Pomology Holovousy Ltd., Hořice, Czech Republic.
Mendel University in Brno, Brno, Czech Republic.
PLoS One. 2023 May 4;18(5):e0285194. doi: 10.1371/journal.pone.0285194. eCollection 2023.
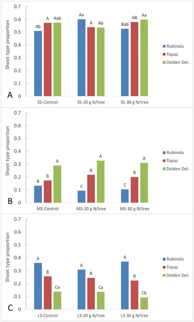
The total aboveground biomass production, nutritional status, bearing and branching behaviors of the central leader and one year old shoots of young apple trees have been analyzed. The shoots were further characterized according to the length, shoot demography, and the production of terminal and lateral flowers. All the characteristics are described in connection with nitrogen supply and cultivar. Nitrogen represents one of the major macronutrients involved in the growth and development of the fruit trees. The understanding of the effect of nitrogen supply for flower bud formation can be further improved by detailed analyses of tree architecture. While the biomass production was cultivar specific, the trees within particular cultivar were characterized by almost similar growth with respect to the nitrogen supply. Cultivar ´Rubinola´ exhibited similar branching pattern, but higher vigor than ´Topaz´. As a result of higher apical dominance, ´Rubinola´ produced higher proportion of long shoots, but a lower quality of short shoots than ´Topaz´. Consequently, cultivar ´Rubinola´ produced only few terminal flowers on short shoots and lateral flowers dominantly in the distal zone, while ´Topaz´ was characterized by intensive terminal flowering, but the lateral flowers were more abundant in the median zone. Even a lower dose of spring nitrogen improved the flower bud formation on both terminal and lateral positions extending the flowering zone on one-year-old shoots. This further changed the branching and bearing behavior of the apple trees, which particularly allows to optimize their fertilization management. However, this effect appears to be further regulated by mechanism connected with apical dominance.
对年轻苹果树的地上总生物量生产、营养状况、中心领导枝和一年生枝的结实和分枝行为进行了分析。根据长度、枝梢动态以及顶花和侧花的产生,进一步对枝条进行了特征描述。所有特征都与氮供应和品种有关。氮是参与果树生长和发育的主要大量营养素之一。通过对树体结构的详细分析,可以进一步了解氮供应对花芽形成的影响。虽然生物量的产生具有品种特异性,但在特定品种内,树木的生长几乎相似,氮供应也是如此。品种‘Rubinola’表现出相似的分枝模式,但比‘Topaz’活力更强。由于顶端优势较高,‘Rubinola’产生的长枝比例较高,但短枝的质量较低,而‘Topaz’则相反。因此,‘Rubinola’在短枝上仅产生少量顶花,而侧花主要在远端区产生,而‘Topaz’的特征是密集的顶花,但侧花在中区更丰富。即使春季氮的施用量较低,也能改善顶花和侧花的花芽形成,从而扩大一年生枝的开花区。这进一步改变了苹果树的分枝和结实行为,这特别有助于优化其施肥管理。然而,这种效果似乎进一步受到与顶端优势相关的机制的调节。