Suppr超能文献

在整个小鼠动情周期中,血浆性腺类固醇和催乳素水平出人意料。

Unexpected Plasma Gonadal Steroid and Prolactin Levels Across the Mouse Estrous Cycle.

机构信息

Department of Physiology, Development, and Neuroscience, University of Cambridge, Cambridge CB2 3EG, UK.

ANZAC Research Institute, University of Sydney, Sydney, NSW 2139, Australia.

出版信息

Endocrinology. 2023 Apr 17;164(6). doi: 10.1210/endocr/bqad070.

Abstract

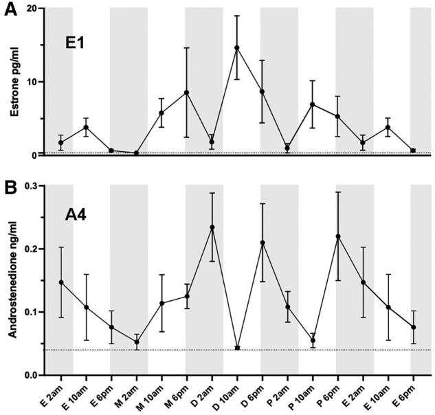
Despite the importance of the mouse in biomedical research, the levels of circulating gonadal steroids across the estrous cycle are not established with any temporal precision. Using liquid chromatography-mass spectrometry, now considered the gold standard for steroid hormone analysis, we aimed to generate a detailed profile of gonadal steroid levels across the estrous cycle of C57BL/6J mice. For reference, luteinizing hormone (LH) and prolactin concentrations were measured in the same samples by sandwich enzyme-linked immunosorbent assay. Terminal blood samples were collected at 8-hour intervals (10 Am, 6 Pm, 2 Am) throughout the 4 stages of the estrous cycle. As expected, the LH surge was detected at 6 Pm on proestrus with a mean (±SEM) concentration of 11 ± 3 ng/mL and occurred coincident with the peak in progesterone levels (22 ± 4 ng/mL). Surprisingly, estradiol concentrations peaked at 10 Am on diestrus (51 ± 8 pg/mL), with levels on proestrus 6 Pm reaching only two-thirds of this value (31 ± 5 pg/mL). We also observed a proestrus peak in prolactin concentrations (132.5 ± 17 ng/mL) that occurred earlier than expected at 2 Am. Estrone and androstenedione levels were often close to the limit of detection (LOD) and showed no consistent changes across the estrous cycle. Testosterone levels were rarely above the LOD (0.01 ng/mL). These observations provide the first detailed assessment of fluctuating gonadal steroid and reproductive hormone levels across the mouse estrous cycle and indicate that species differences exist between mice and other spontaneously ovulating species.

摘要

尽管小鼠在生物医学研究中具有重要意义,但在发情周期中,循环性腺类固醇的水平并没有以任何时间精度确定。使用液相色谱-质谱法,现在被认为是类固醇激素分析的金标准,我们旨在生成 C57BL/6J 小鼠发情周期中性腺类固醇水平的详细概况。作为参考,在相同的样品中通过夹心酶联免疫吸附测定法测量了促黄体激素 (LH) 和催乳素浓度。在发情周期的 4 个阶段中,每隔 8 小时采集一次终端血液样本(上午 10 点、下午 6 点、凌晨 2 点)。正如预期的那样,在发情前期的下午 6 点检测到 LH 激增,平均(±SEM)浓度为 11±3ng/mL,与孕酮水平的峰值同时发生(22±4ng/mL)。令人惊讶的是,雌二醇浓度在发情后期的上午 10 点达到峰值(51±8pg/mL),发情前期下午 6 点的水平仅达到此值的三分之二(31±5pg/mL)。我们还观察到发情前期催乳素浓度(132.5±17ng/mL)的峰值,其发生时间早于预期的凌晨 2 点。雌酮和雄烯二酮的水平经常接近检测限(LOD),并且在发情周期中没有一致的变化。睾酮水平很少高于 LOD(0.01ng/mL)。这些观察结果首次详细评估了发情周期中波动的性腺类固醇和生殖激素水平,并表明在小鼠和其他自然排卵物种之间存在物种差异。

https://cdn.ncbi.nlm.nih.gov/pmc/blobs/313e/10225909/ad84fc9d935d/bqad070f1.jpg

文献检索

告别复杂PubMed语法,用中文像聊天一样搜索,搜遍4000万医学文献。AI智能推荐,让科研检索更轻松。

立即免费搜索

文件翻译

保留排版,准确专业,支持PDF/Word/PPT等文件格式,支持 12+语言互译。

免费翻译文档

深度研究

AI帮你快速写综述,25分钟生成高质量综述,智能提取关键信息,辅助科研写作。

立即免费体验