Laboratory of Pharmaceutical Microbiology, Ghent University, Ghent, Belgium.
Cystic Fibrosis Reference Centre, Department of Respiratory Medicine, Ghent University Hospital, Ghent, Belgium.
Front Immunol. 2023 Apr 21;14:1176044. doi: 10.3389/fimmu.2023.1176044. eCollection 2023.
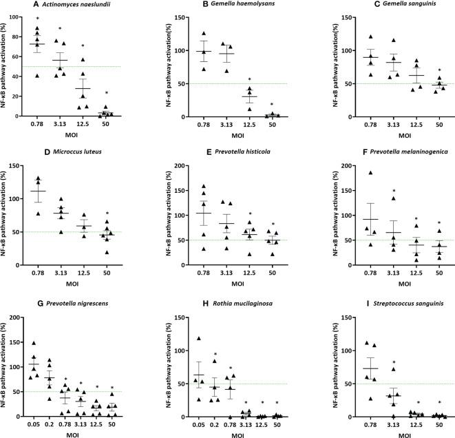
Patients with chronic lung disease suffer from persistent inflammation and are typically colonized by pro-inflammatory pathogenic bacteria. Besides these pathogens, a wide variety of commensal species is present in the lower airways but their role in inflammation is unclear. Here, we show that the lung microbiota contains several species able to inhibit activation of the pro-inflammatory NF-κB pathway and production of interleukin 8 (IL-8), triggered by lipopolysaccharide (LPS) or HO, in a physiologically relevant three-dimensional (3D) lung epithelial cell model. We demonstrate that the minimal dose needed for anti-inflammatory activity differs between species (with the lowest dose needed for ), and depends on the type of pro-inflammatory stimulus and read out. Furthermore, we evaluated synergistic activity between pairs of anti-inflammatory bacteria on the inhibition of the NF-κB pathway and IL-8 secretion. Synergistic anti-inflammatory activity was observed for 4/10 tested consortia. These findings indicate that various microbiota members can influence lung inflammation either alone or as a consortium. This information can contribute to a better understanding of the lung microbiota in chronic lung disease development and process, and could open up new avenues for treatment.
慢性肺部疾病患者会持续发生炎症,且通常会被促炎的致病性细菌定植。除了这些病原体,在下呼吸道中还存在大量的共生种,但它们在炎症中的作用尚不清楚。在这里,我们发现肺部微生物组包含多种能够抑制脂多糖(LPS)或 HO 触发的促炎 NF-κB 途径和白细胞介素 8(IL-8)产生的物种,这在生理相关的三维(3D)肺上皮细胞模型中得到了验证。我们证明了抗炎活性所需的最小剂量因物种而异(所需的最低剂量为 ),并且取决于促炎刺激物的类型和读出方式。此外,我们评估了两对抗炎细菌对 NF-κB 途径和 IL-8 分泌抑制的协同抗炎活性。在测试的 10 个协同组中,有 4 个观察到协同抗炎活性。这些发现表明,各种微生物群成员可以单独或作为一个联合体影响肺部炎症。这些信息可以帮助更好地了解慢性肺部疾病发展和进程中的肺部微生物群,并为治疗开辟新途径。